Abstract
We present a procedure for the synthesis and purification of p-phenylenediamine-based carbon dots that can be used for the recognition of Fe(III) ions. Carbon dots have an approximately spherical shape with an average size of 10 nm and are composed of a carbonaceous core surrounded by functional groups attached to it, both of which are responsible for their dual fluorescence properties. The emission bands have a different behavior, with a blue band dependent and a red emission independent of the excitation wavelength, respectively. Red emission is appropriate for the detection of ions and other molecules in biological environments because this high wavelength prevents the occurrence of processes such as resonance energy transfer and internal filter effects. In particular, the presence of Fe(III) ions produces an important quenching phenomenon that can be applied to the fabrication of a sensor. The platform is very sensitive, with a detection limit of 0.85 µM, which is within the lowest values reported for this ion, and a high selectivity that is believed to be due to the formation of a specific complex in the ground state through specific interactions of Fe (III) ions with pyridinic and amino groups on the surface of the nanomaterials.
1. Introduction
Carbon dots (CDs) represent a distinctive entity within the wider family of carbon structures [1] that is particularly interesting due to their favorable characteristics, including low toxicity, ease of manufacture, optical stability, and impressive fluorescence properties [2,3,4,5] and, thus, they have been employed in a variety of applications that include the use in catalysis [6,7], drug carriers [8], biological imaging probes [9,10] and biosensors [11,12,13]. The unique optical characteristics and diverse fluorescent emission spectra of CDs have been the subject of extensive investigation due to the considerable and heterogenous diversity of this class of particles.
CDs were discovered in 2004 while Scrivens and co-workers were purifying carbon nanotubes [14]. Since then, numerous precursor materials and synthesis methods have been employed to produce them [15,16,17]. The synthetic routes of these particles can be classified into two families, and they can be prepared from a variety of carbon-based materials, including graphite powder and carbon black, among other carbon resources. These materials are subjected to aggressive chemicals, including the use of strong oxidizing acids or physical treatments such as laser ablation. Such procedures are included within the top-down approaches, which typically result in the formation of particles with blue emission properties [18]. In contrast to this, the bottom-up procedures allow the production of particles with emissions from different spectral regions [19]. Bottom-up methods are based on the use of small molecules that react under hydro/solvo-thermal or microwave techniques to produce CDs. One of the main drawbacks associated with bottom-up synthesis is the considerable polydispersity and the presence of impurities in the samples, thus creating the need for thorough post-synthesis treatments [20]. Therefore, there are many research groups working on the elucidation and regulation of CD formation processes and their characterization. Despite relatively straightforward synthesis procedures, the purification methods of CDs are still challenging. These purification methods can become significantly complex and inefficient, leading to misinterpretations regarding the emission mechanism and its associated characteristics [21]. Many literature reports emphasize the importance of this step in the production of CDs and also provide many examples where the purification strategies employed are insufficient [22], as well as the techniques employed to ascertain the identity of the nanomaterials [23].
The present work deals with the preparation of CDs using the bottom-up procedure employing p-phenylenediamine (pPD) as a molecular precursor and toluene as a solvent by means of a solvothermal methodology [24,25,26]. Following the pioneering work of Jiang and col. [27], the use of pPD and its isomers, such as ortho- and meta-phenylenediamine, has been the subject of many reports that either use only one of these molecules as starting materials or are mixed with a wide variety of different compounds. The main object of these works is the obtention of CDs with emissions in different spectral regions, in particular in the green, orange, and red [28]. These procedures include the use of silica column chromatography or dialysis as purification methods to obtain clean CDs with red emissions (rCDs), although we have found that a simpler, cheap, and effective procedure such as repetitive washing in water is able to remove raw reagents and small by-products leaving a clean sample of rCDs [29,30].
The studies of rCDs are also complicated by the significant difficulties associated with the elucidation of the origin of their luminescence. This is largely due to the vast number of synthetic routes and starting compounds, which has resulted in a considerable degree of variability in the produced particles. In this context, two main tendencies have been established. On the one hand, the emission properties are linked to the band gaps, which are known to vary according to either the degree of conjugation or the number of heteroatoms present in the structure. Thus, the higher the degree of conjugation and the number of heteroatoms present, the smaller the band gap and the lower the energy required to overcome it, which results in redshifts in the emissions of the particles. On the other hand, other researchers indicate that the red fluorescence is attributable to small oligomers that are anchored to the carbonaceous nucleus, which typically emits in the blue/green region and, together with the emission of the surface groups at lower energies, can show dual emission as a common phenomenon in these types of particles [31,32,33].
Taking advantage of the high performance of the fluorescence spectroscopy technique that enables the achievement of significant results in the limits of detection, sensitivity, and selectivity, CDs have been used from the beginning as materials for sensor platforms [34,35,36,37,38]. In consideration of the numerous potential applications of CDs, sensors are particularly noteworthy due to their efficacy in inhibiting fluorescence by the various mechanisms of quenching. In this context, CDs have the potential to interact with metal ions through the surface groups, thereby functioning as good selective fluorescent sensors [39].
Fe ions are among the most important metallic ions, given their abundance in the Earth’s crust and involvement in numerous vital physiological processes; elevated concentrations of iron in the body can be causative of adverse effects, such as cancer, Alzheimer’s, or Parkinson’s disease [40,41]. Several works have addressed the use of CDs to detect Fe(III) ions with different approaches and efficacies [42,43,44,45,46,47,48,49,50,51,52]. Thus, the object of this study is the development of a selective sensor for the detection of Fe(III) ions in aqueous solutions through the use of rCDs synthesized from pPD in toluene and to take advantage of its quenching phenomenon. The characterization of the rCDs is first presented, and the mechanism of quenching used for Fe(III) detection is described and discussed, obtaining appropriate detection and quantification limits for Fe(III) as well as high selectivity in the presence of interferents.
2. Materials and Methods
2.1. Chemicals
p-Phenylenediamine (pPD) and the rest of the compounds used in analytical detection were purchased from Sigma-Aldrich and used without further pre-treatment. Toluene, ethanol, and other solvents used were of analytical grade. All aqueous solutions were prepared using 18.2 MΩ deionized water by the Millipore system.
2.2. Instruments
Transmission electronic microscopy (TEM) images were obtained with a high-resolution Talos F200i instrument operating at 200 KV and analyzed using Image Pro Plus software (Ver. 4.5) (Servicio de Apoyo a la Investigación (SCAI) University of Córdoba). Samples were prepared onto formvar-coated Cu grids (400 mesh, Electron Microscopy Sciences, Hatfield, PA, USA). The samples were dropped-cast on the grids, depositing a small amount of rCD ethanol solution, and dried at room temperature.
Scanning electronic microscopy (SEM), X-ray diffraction (XRD), and X-ray photoelectron spectroscopy (XPS) measurements were made using rCD powder. These measurements were acquired using a JEOL JMS 6300 SEM microscope (JEOL, Tokyo, Japan), a Bruker D8 Discover A25 powder XRD (Bruker, Billerica, MA, USA) in the 2θ scale ranging from 5 to 90° with CuKα radiation (λ = 1.5406 Å), and a Thermo Scientific K-Alpha XPS instrument (Thermo Scientific, Waltham, MA, USA), scaled with the C1s bond energy of random carbon (284.6 eV), respectively.
The absorption spectra were recorded using a Jasco V-670 UV-visible spectrometer (Jasco, Easton, MD, USA) in the range between 200 and 800 nm (fixed 1 nm bandwidth) using a quartz cell of 1 cm path length. For the fluorescence measurements, two different instruments were used. Steady-state fluorescence spectra were collected using a fluorescence spectrofluorometer Perkin-Elmer LS50B (Perkin-Elmer, Shelton, CT, USA) with a Xe Lamp (20 kW) and Monk–Gillieson monochromator, which enables the scanning of wavelengths within the 200–900 nm range. Time-resolved fluorescence spectra were recorded with an Edinburgh FLS980P spectrofluorometer (Edinburgh, Livingston, UK) using a photomultiplier R2658P as a detector. The mode of operation was based on time-correlated single photon counting (TCSPC), using a 406.4 nm picosecond pulsed diode laser as an excitation source with a pulse width of 100 ns. Infrared spectra were recorded with an FT-IR Alpha instrument from Bruker in the attenuated total reflectance mode.
2.3. Synthesis of Red Emission Carbon Dots (rCDs)
rCDs were prepared according to the described synthesis [24,25,26] with variations in the purification method (Scheme 1). Briefly, 400 mg of pPD was dissolved in 40 mL of toluene. The solution was stirred at room temperature, and once a transparent solution was obtained, it was transferred into a 100 mL Teflon-lined stainless autoclave for a 5 h reaction at 200 °C in an electric oven. After that, the sealed autoclave cooled down overnight to room temperature. The crude solution was collected by centrifugation at 12,500 rpm for 25 min, and the supernatant (toluene) was discarded. Ethanol was added to entirely dissolve the solid product obtaining the crude CDs. The purification method to obtain the rCDs was conducted by washing the crude solution several times with ultrapure water. To dissolve in water, the samples were subjected to ultrasound, and after that, a centrifugation cycle allowed the precipitation of a solid that was separated from the supernatant and was discarded (the supernatant mainly contained unreacted pPD, as evidenced by UV-visible spectroscopy; see below). Two washing cycles were sufficient as the repetitive rounds rendered clean water as supernatant. The purified rCDs were collected by dissolving them ethanol and/or drying them in a rotary evaporator to store for further applications.
Scheme 1.
Illustration for the synthesis and purification of rCDs.
3. Results
3.1. Characterization of rCDs
The purified rCDs were characterized by TEM and SEM with the aim of confirming the nanometric nature and how they crystallize in a solid state. The TEM images (Figure 1a) do show the nanometric size with an average particle size of 10 nm as can be observed in the particle size histogram curve shown in Figure S1. The inset image presents a zoom of the particle to better observe the atomic structure and its Fourier analysis, respectively. It can be observed that the carbon structures exhibit different lattice spaces of roughly 0.21 nm and 0.31 nm, which are related to the facets (100) and (002). In accordance with the information mentioned above, a hexagonal pattern was observed, indicating the facet (100) of the graphene lattice fringes, while an orthorhombic graphite structure was associated with the (002) plane [53,54].

Figure 1.
Morphological and structural characterization of the purified rCD. (a) TEM image (insets: zoom and Fourier analysis in this area). (b) SEM image (scale bar: 1 μm) (the white box indicates the layered structure); (c) FTIR spectrum; and (d) XRD powder diffractogram of the solid sample of rCDs.
To obtain a more detailed understanding of the structure that assumes the rCDs upon the drying process, SEM images were taken. In Figure 1b, we can see the different sizes of these crystals, which mostly show a layered structure typical of graphite [55,56]. EDX analysis indicates the presence of C, N, and O in the sample with atomic percentages of 77.9, 16.5, and 5.6, respectively.
It is known that CDs are not only pure carbon structures but contain a wide variety of functional groups, which are ultimately responsible for the specific optical and chemical properties. The FT-IR analysis of the rCDs (Figure 1c) reveals the presence of typical bands of amine and hydroxyl groups in the well-resolved band observed in the region of 3500–2700 cm−1 that should also contain hydrogen bonds. Also, in this high wavenumber region, the stretching of C–H appears in small peaks at 2900/2850 cm−1. Nitrogen functional groups can be distinguished through different vibrations, such as 1630 cm−1 (C=N), 1450 cm−1 (C–N), the torsion of the N–H bond at 1260 cm−1, and that of C–N at 810 cm−1. At 1510 cm−1, the typical signals of conjugated aromatic systems (C=C) appear, indicating that the particles retain fragments of the conjugated structure of the precursor.
In accordance with the XRD pattern of carbon nanoparticles, a broad band, typical of an amorphous structure, with maxima at approximately 24° and 44° were observed (Figure 1d) that correspond to the (002) plane of graphitic carbon and (100) crystal planes, determining the longitudinal dimension of the structural elements (powder diffraction file No. 65.6212) [56,57,58]. Furthermore, the pattern displays a number of distinct narrow peaks superimposed upon the broad band. These peaks are associated with large-sized crystals, as predicted by the Scherrer equation, with a full width at half maximum (FWHM) of 0.1–0.3°. As evidenced by the SEM images, the particles can form ordered crystals.
XPS analysis can be used to determine the percentage of each element and the types of bonds that make up the rCDs. The survey spectrum (Figure 2a) shows the presence of three main signals, indicating the presence of C (285 eV), N (399 eV), and O (532 eV) in relative amounts of 77.20, 15.80, and 7.00%, respectively, which is in good agreement with the analysis of EDX. Although the synthesis of these rCDs used non-oxygenated precursors, oxygen was present in a small proportion of the sample. The signal can be mainly assigned to O bound to C [33], which can be formed by the oxidation of surface groups or simply by the adsorption of some oxidized carbonaceous impurities during the purification procedure and sample management after the synthesis. The high-resolution spectra for C (Figure 2b) show four different signals associated with C–C/C=C (284.45 eV), C–N (285.38 eV), C–O (286.43 eV), and C=O/C=N (287.85 eV) bonds [56]. We found that the contribution of the peaks corresponding to C bound to O approximately accounted for those included in the O peak. The high-resolution spectrum of N (Figure 2c) can be deconvoluted into four distinct signals, indicating the presence of pyridinic-type bonds N–C=N (397.57 eV), nitrogen from amino groups (398.59 eV), pyrrole-type bonds N–C–N, (399.54 eV) and finally, graphitic N (400.73 eV) [56,59], which are the amine and pyrrole bands of higher ratios. Thus, the presence of pyrrole groups has been related to the redshift in emissions, which indicates that the rCDs obtained should have red fluorescence.
Figure 2.
XPS spectrum of rCDs. Survey (a) and deconvolution of C1s (b) and N1s (c) bands.
3.2. Optical Properties of the rCDs
Some of the most controversial aspects of CDs are the origin and/or the factors inducing fluorescence and its effective purification after synthesis. In this study, we used an easy, cheap, and effective way to purify the particles, as described in the experimental section, based on several washes with water. In fact, other authors [24,25,26] have carried out this procedure that employs pPD as a precursor and toluene as a solvent and have used different purification protocols, either silica column chromatography or exhaustive dialysis. We have also tried these methodologies and have found that washing with water results in a good result, together with the greener aspect of avoiding the organic solvents used in chromatography.
Figure 3a shows the UV-visible spectra of rCDs dispersed in ethanol before and after two rounds of washing with water. The most relevant differences appear in the UV region, where the absorbance of the bands at 243 and 307 nm due to pPD [60] shows an important decrease. The absorption spectrum of purified rCDs reveals three significative bands that are in agreement with previous reports and can be attributed to the π-π* transition of the aromatic (C=C, C=N) groups (283 nm), the defect states n-π* (330 nm) and the broad band in the visible region centered at 477 nm that is usually referred compared to the low-energy transition of the surface groups [61].
Figure 3.
Absorption and photoluminescent spectra of rCDs. (a) UV-visible spectra before and after the purification process. (b) Excitation spectrum by emission at 450 (blue) and 600 nm (green) superposed with UV-visible spectra (red) (The arrow to the left indicates the absorbance axis and to the right the intensity axis to be considered for each spectrum). (c) Emission spectra at different excitation wavelengths. Inset: normalized spectra obtained by excitation from 350 to 450 nm; only the spectral region of 370 to 530 nm is shown for clarity. The emission spectra were acquired at incremental values of 10 nm of excitation wavelengths. All the spectra have been recorded in ethanol solutions.
The fluorescence emission of these purified rCDs clearly exhibits two well-distinguished emission bands in the blue and red regions, respectively (Figure 3b,c). An examination of the excitation dependence on these two signals shows that they behave in different ways. On the one hand, the emission band produced in the blue region with maxima within the 400–500 nm range (obtained by excitation at 350–450 nm) is wavelength-dependent (see normalized spectra in Figure 3c, inset). The excitation spectrum obtained by emissions at 450 nm indicates that the origin of this emission is the bands assigned to the aromatic (C=C, C=N) groups, that is, the carbonaceous nucleus of the rCDs. The literature widely explains that the blue emission of CDs is associated with structural defects in the carbon core due to the presence of heteroatoms and/or holes in the conjugated structure. These defects are irregular and create distinct islands in the said conjugated structure so that different energetic states are created in the π-π* transition, causing a shift in the emission band [24,57]. On the other hand, the emission band in the red region (at around 600 nm) remains constant over the whole excitation wavelength range (Figure 3c), and from the excitation spectrum that shows a structured band coinciding with the 477 nm absorption, it can be said that it originates from the surface groups. This behavior brings to mind typical molecular fluorescence, and this evidence suggests that the carbon core is surrounded by small oligomers that are anchored to the surface [32,33]. This fact can be demonstrated by the behavior of this emission in the presence of different solvents while taking into account the fact that the emission of rCDs originating from intrinsic and defect states are not influenced by solvents, whereas the emissions of molecular states are highly sensitive to the surrounding environments [53]. In view of the above, the steady-state and time-resolved fluorescence of rCDs in different solvents has been subjected to examination, as shown in Figure S2. As can be observed, the emission maximum changes as a function of solvent polarity from 520 nm in toluene to 605 nm in water. In parallel, the lifetimes change from 7.61 in DMSO to 1.43 ns in water (Table S1).
3.3. Fluorescent Detection of Fe(III) in Aqueous Solution
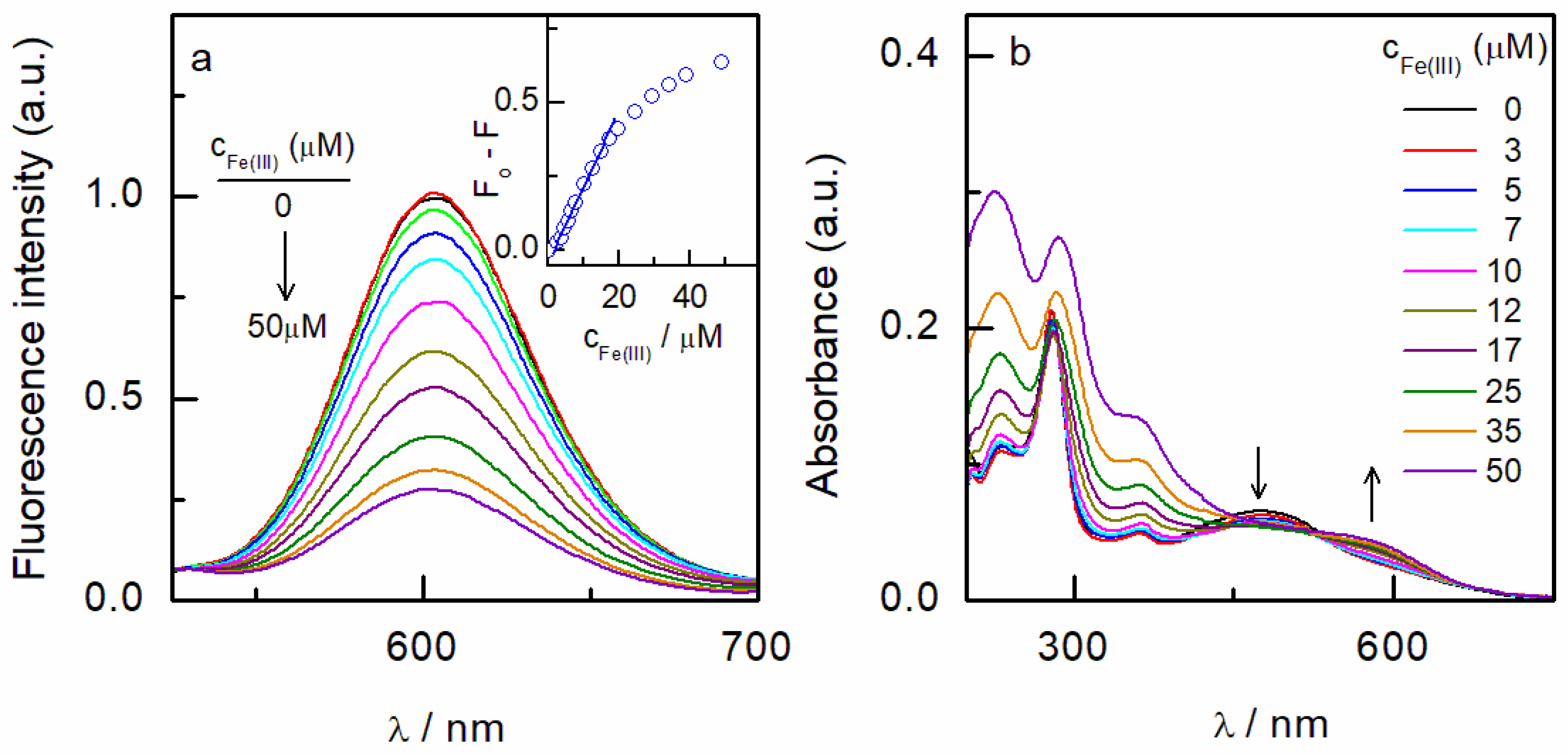
We have found so far that the prepared rCDs are composed of a carbon core and molecular groups attached to their surface and that these molecular groups should be the most responsible for red emissions, although the N doping of these carbon nanostructures can also contribute to it. Following other reports dealing with the sensitive ability of CDs to detect ions [42,43,44,45,46,47,48,49,50,51,52], we have tried to see if the rCDs prepared in this work are sensitive to the presence of Fe(III) ions. In fact, the addition of Fe(III) ions to the rCDs aqueous solutions leads to the strong quenching of the red emission band (Figure 4a).
Figure 4.
Effects of the addition of Fe(III) ions to the rCDs solution. (a) Fluorescence spectra. Inset: emission intensity loss upon the addition of different amounts of Fe(III) ions. (b) Absorption spectra taken for the same solutions after the addition of the quencher.
As most of the media where Fe(III) ions can exist that are interesting to detect are aqueous solutions, we analyzed the quenching behavior of rCDs in this medium. Therefore, we changed the ethanol solution in which the spectra in Figure 3 were taken to the aqueous medium. The experiments were carried out in neutral solutions, and to be sure that the emission intensity of the rCDs under these conditions was appropriate, a study of the variation in the emissions as a function of pH was performed. As can be seen in Figure S3, the emission intensity at 605 nm reaches a maximum in the interval of 6 < pH < 10. These data have been fitted to a sigmoidal curve to determine an apparent pK for the rCDs of 4.5. This value should correspond to the ionization of either pyridinic N or amino groups attached to aromatic or graphitic rings on the nanoparticle surface [62]. Thus, under the conditions of the experiment made at pH 7, the ionizable groups must be unprotonated, leaving a N atom rich in free electrons that would be able to interact with positive charges, such as those of the Fe(III) ions.
Figure 4a displays the sequential decrease in fluorescence upon the addition of Fe(III) ions. The emission intensity at 600 nm was monitored for the Fe(III) ion concentrations of 0 to 50 µM, reaching a signal loss of 73% for the initial intensity. These data, analyzed as the incremental loss of intensity (Fo − F), where Fo and F are the fluorescence intensity in the absence and presence of the different concentrations of Fe(III) ions, respectively, follow a linear relationship up to approximately 15 µM, as can be observed in the inset of Figure 4a, which obeys relation (1).
From this relation, the limits of detection (LOD) and quantification (LOQ) can be determined. These parameters are calculated using the relationships LOD = 3 d/k and LOQ = 10 d/k, where d and k represent the standard deviation of the fluorescence intensity and the slope of the fitting curves, respectively. The values of LOD of 0.85 µM and LOQ of 2.82 µM, together with the sensitivity of the method determined through the slope of the linear range in the curve, yield a value of 1.81 µM−1, which points to the good performance of the rCDs as a sensor for Fe(III) ion detection. These results show a good response in comparison with the sensors recently reported in the literature for the detection of Fe(III) with CDs of a different nature, as can be seen in Table S2 of the Supplementary Materials [63,64,65,66,67,68,69,70,71].
To ascertain if this sensory ability is accompanied by selectivity, a study of the behavior of the emission at 600 nm in the presence of different ions has been performed. Figure 5a shows the ratio of fluorescence intensity obtained after the addition of other ions to the rCD solution and Figure 5b to the rCD solution in the presence of Fe(III) ions. As can be observed, the analyzed ions (Fe2+, SO42− Ca2+, Cl−, Mg2+, CH3COO−, Na+, HCO3−, K+, F−, Co2+, NO3−, Cu2+, Ni2+, Mn2+, Zn2+, Cr3+, Al3+), which were tested by adding 50 μM of each ion to the rCD solution under the same conditions as the Fe(III) experiment do not show any quenching effect. Moreover, the addition of these ions to the already quenched system, that is, the rCDs-Fe(III) system, has no noticeable effect on the detection capacity of the developed rCDs (Figure 5b), demonstrating that only Fe(III) is capable of reducing fluorescence.
Figure 5.
Selectivity of rCDs for Fe(III) ions (a) over other ions; (b) the mixture of Fe(III) ions with other ions.
3.4. Detection Mechanism of rCDs Towards Fe(III) Ions
To obtain more insight into the mechanism through which Fe(III) ions are detected by the rCDs with this high selectivity, we carried out further analysis of the obtained data. The process of fluorescence quenching in fluorophores can involve different mechanisms, such as an internal filter effect (IFE), static- or binding-related quenching and dynamic quenching, fluorescence energy transfer (FRET) and photoinduced electron transfer (PET) [72,73,74]. IFE is a phenomenon that occurs when the absorption bands of the absorber in the reaction system overlap with the excitation or emission spectra of the fluorophore, leading to fluorescence quenching. In the present experimental conditions, the excitation wavelength used to obtain the emission spectra was 500 nm, a value where Fe(III) has low absorption (Figure S4), and the low concentration of rCDs used in these experiments also has very low absorption in that region, as can be seen in Figure 4b (lower than 0.06 absorbance units). Thus, the IFE phenomenon is totally discarded for being responsible for this quenching effect. To analyze if the system obeys the static or dynamic quenching mechanism, the data should accomplish the Stern–Volmer equation:
where F0 and F represent the fluorescence intensities observed in the absence and presence of a quencher, respectively; the term kq is the bimolecular quenching constant, τo is the lifetime of the fluorophore in the absence of a quencher, Q represents the concentration of the quencher, and KSV is the Stern–Volmer constant. Figure 6 plots the data according to Equation (2), showing a good linear correlation. The obtention of a linear plot suggests a single type of quenching process, either static or dynamic. From the slope, a value of KSV of 5.7 × 104 M−1 is obtained. The lifetime of rCDs in aqueous solutions is 1.43 ns; then, a kq = KSV/τo = 4 × 1013 M−1s−1 is obtained. As the value of the diffusion-controlled quenching rate constant is the order of 1010 M−1s−1, the much higher value obtained could discard the occurrence of a dynamic phenomenon.
Figure 6.
Stern–Volmer representation of the data plotted in Figure 4a.
To support this hypothesis, the lifetimes of the samples after adding different Fe(III) ion concentrations were also measured, and the result is that they kept constant through the entire concentration range. Moreover, as can be observed in Figure 4b, the absorption spectra change in the presence of the quencher showed a dependence on the Fe(III) ions concentration. The UV-visible spectrum of the rCDs presents a broad and intense band at around 500 nm that is shifted to longer wavelengths (~600 nm) in parallel with a decrease at 500 nm upon adding Fe(III) ions up to the final concentration of 50 μM. In Figure S4, the spectrum of 50 μM Fe(III) ions, together with those of the rCDs and the sum of the two later, are shown to be comparable with the experimental spectrum of the final solution. This is a clear demonstration of the formation of a complex in the ground state between the Fe(III) ions and the surface groups of the rCDs. Thus, taking all these results together, the observed phenomenon is static quenching that should come about through the formation of a complex between the Fe(III) ions and specific sites on the rCD surface. In fact, the existence of unprotonated pyridinic and amino groups (as commented above) on the rCD surface could allow for the interaction of positive ions, with these electron-rich groups giving place to stable complexes. In fact, the coordination of Fe(III) with N heterocyclic groups in proteins such as cytochrome c and hemoglobin [75,76] has been demonstrated to be very specific and dependent on the environment, which is in agreement with its important role in biological systems.
4. Conclusions
A simple, sensitive, and selective nanostructured sensor based on a rCD platform has been developed for the detection of Fe(III) ions. CDs with dual emissions in the blue and red regions were synthesized by the bottom-up strategy using pPD as a precursor and toluene as a solvent, purified by repetitive washing with water. This simple purification method has some advantages over the classical column chromatographic and dialysis methodologies, such as saving time and avoiding the use of different organic solvents. The distinctive characteristics of these rCDs, particularly their dual emissions, were subjected to comprehensive characterization, demonstrating a strong red emission that is likely attributable to surface-bound fluorescent groups.
Iron has been selected as a case study, given the importance of its detection in different biologic media. The high selectivity observed by these rCDs towards Fe(III) ions has been checked by studying the red fluorescence band, which, due to the long wavelength value, does not overlap with the absorption of Fe(III) ions, avoiding the existence of IFE. Thus, the detection of these ions was made through the produced quenching phenomenon, which has been characterized as a form of static quenching due to the formation of a ground state complex, probably due to the interactions of the Fe(III) ions with the pyridinic and amino groups on the rCDs surface. These stable and chemically specific complexes should be responsible for the low competitive limit of detection of 0.85 µM and the high selectivity against other interfering ions. Therefore, the developed nanostructured sensor can be a simple potential alternative to classical methods for iron detection in real biological samples.
Supplementary Materials
The following supporting information can be downloaded at https://www.mdpi.com/article/10.3390/chemosensors12110226/s1. Figure S1: Influence of the solvent dielectric constant on the (left) emission band and (right) fluorescence lifetime of rCDs; Figure S2: Fluorescence intensity of the rCDs in aqueous solutions at different pHs by excitation at 510 nm; Figure S3: UV-visible spectra of the different components in the final solution of the quenching of rCDs by Fe(III) ions. Figure S4: UV-visible spectra of the different components in the final solution of the quenching of rCDs by Fe(III) ions. Table S1: Influence of the solvent dielectric constant on the emission band and fluorescence lifetime of rCDs. Table S2: Comparison of analytical performances of the red CDs for Fe(III) sensing compared to formerly reported Fe(III) sensors.
Author Contributions
Conceptualization, Á.F.-M., R.D.C. and T.P.; methodology, Á.F.-M.; validation, Á.F.-M., R.D.C. and T.P.; formal analysis, Á.F.-M. and M.C.; data curation, Á.F.-M., R.D.C. and T.P.; writing—original draft preparation, Á.F.-M., R.D.C. and T.P.; writing—review and editing, Á.F.-M., R.D.C., M.B. and T.P.; visualization, Á.F.-M., G.S.-O., R.M., M.B., R.D.C. and T.P.; supervision, M.C., R.D.C. and T.P.; project administration, T.P.; funding acquisition, T.P. All authors have read and agreed to the published version of the manuscript.
Funding
This research was funded by the Ministerio de Ciencia e Innovación (Project RED2022-134120-T Network of Excellence Electrochemical Sensors and Biosensors).
Institutional Review Board Statement
Not applicable.
Informed Consent Statement
Not applicable.
Data Availability Statement
Data will be made available on request.
Acknowledgments
We thank the Ministerio de Ciencia e Innovación (Project RED2022-134120-T Network of Excellence Electrochemical Sensors and Biosensors), Junta de Andalucía, and Universidad de Cordoba for their financial support of this work. Á.F.-M. acknowledges Ministerio de Universidades (FPU 17/02616); R.D.C. acknowledges Consejería de Universidades, Junta de Andalucía (POSDOC_21_00033) and Programa FEDER Andalucía 2021–2027, Consejería de Universidad, Investigación e Innovación de la Junta de Andalucía (PP2F_L1_09).
Conflicts of Interest
The authors declare no conflicts of interest.
References
- Ghaffarkhah, A.; Hosseini, E.; Kamkar, M.; Sehat, A.A.; Dordanihaghighi, S.; Allahbakhsh, A.; van der Kuur, C.; Arjmand, M. Synthesis, Applications, and Prospects of Graphene Quantum Dots: A Comprehensive Review. Small 2022, 18, 2102683. [Google Scholar] [CrossRef]
- Delgado, J.L.; Herranz, M.A.; Martin, N. The nano-forms of carbon. J. Mater. Chem. 2008, 18, 1417–1426. [Google Scholar] [CrossRef]
- Baker, S.N.; Baker, G.A. Luminescent Carbon Nanodots: Emergent Nanolights. Angew. Chem. Int. Ed. 2010, 49, 6726–6744. [Google Scholar] [CrossRef] [PubMed]
- Bourlinos, A.; Stassinopoulos, A.; Anglos, D.; Zboril, R.; Georgakilas, V.; Giannelis, E. Photoluminescent carbogenic dots. Chem. Mater. 2008, 20, 4539–4541. [Google Scholar] [CrossRef]
- Krysmann, M.; Kelarakis, A.; Dallas, P.; Giannelis, E. Formation Mechanism of Carbogenic Nanoparticles with Dual Photoluminescence Emission. J. Am. Chem. Soc. 2012, 134, 747–750. [Google Scholar] [CrossRef]
- Zhang, P.; Wei, J.; Chen, X.; Xiong, H. Heteroatom-doped carbon dots based catalysts for oxygen reduction reactions. J. Colloid Interface Sci. 2019, 537, 716–724. [Google Scholar] [CrossRef]
- Manjupriya, R.; Roopan, S. Carbon dots-based catalyst for various organic transformations. J. Mater. Sci. 2021, 56, 17369–17410. [Google Scholar] [CrossRef]
- Zeng, Q.; Shao, D.; He, X.; Ren, Z.; Ji, W.; Shan, C.; Qu, S.; Li, J.; Chen, L.; Li, Q. Carbon dots as a trackable drug delivery carrier for localized cancer therapy in vivo. J. Mater. Chem. B 2016, 4, 5119–5126. [Google Scholar] [CrossRef]
- Sun, S.; Zhang, L.; Jiang, K.; Wu, A.G.; Lin, H.W. Toward High-Efficient Red Emissive Carbon Dots: Facile Preparation, Unique Properties, and Applications as Multifunctional Theranostic Agents. Chem. Mater. 2016, 28, 8659–8668. [Google Scholar] [CrossRef]
- Zhang, H.; Wang, G.; Zhang, Z.; Lei, J.; Liu, T.; Xing, G.; Deng, C.; Tang, Z.; Qu, S. One step synthesis of efficient red emissive carbon dots and their bovine serum albumin composites with enhanced multi-photon fluorescence for in vivo bioimaging. Light Sci. Appl. 2022, 11, 113. [Google Scholar] [CrossRef]
- Liu, J.; Li, R.; Yang, B. Carbon Dots: A New Type of Carbon-Based Nanomaterial with Wide Applications. ACS Cent. Sci. 2020, 6, 2179–2195. [Google Scholar] [CrossRef] [PubMed]
- Lesani, P.; Singh, G.; Viray, C.; Ramaswamy, Y.; Zhu, D.; Kingshott, P.; Lu, Z.; Zreiqat, H. Two-Photon Dual-Emissive Carbon Dot-Based Probe: Deep-Tissue Imaging and Ultrasensitive Sensing of Intracellular Ferric Ions. ACS Appl. Mater. Interfaces 2020, 12, 18395–18406. [Google Scholar] [CrossRef] [PubMed]
- Song, Y.; Zhu, S.; Xiang, S.; Zhao, X.; Zhang, J.; Zhang, H.; Fu, Y.; Yang, B. Investigation into the fluorescence quenching behaviors and applications of carbon dots. Nanoscale 2014, 6, 4676–4682. [Google Scholar] [CrossRef] [PubMed]
- Xu, X.Y.; Ray, R.; Gu, Y.L.; Ploehn, H.J.; Gearheart, L.; Raker, K.; Scrivens, W.A. Electrophoretic analysis and purification of fluorescent single-walled carbon nanotube fragments. J. Am. Chem. Soc. 2004, 126, 12736–12737. [Google Scholar] [CrossRef]
- Xia, C.; Zhu, S.; Feng, T.; Yang, M.; Yang, B. Evolution and Synthesis of Carbon Dots: From Carbon Dots to Carbonized Polymer Dots. Adv. Sci. 2019, 6, 1901316. [Google Scholar] [CrossRef]
- He, C.; Xu, P.; Zhang, X.; Long, W. The synthetic strategies, photoluminescence mechanisms and promising applications of carbon dots: Current state and future perspective. Carbon 2022, 186, 91–127. [Google Scholar] [CrossRef]
- Cui, L.; Ren, X.; Sun, M.T.; Liu, H.Y.; Xia, L.X. Carbon Dots: Synthesis, Properties and Applications. Nanomaterials 2021, 11, 3419. [Google Scholar] [CrossRef]
- Zhu, S.J.; Song, Y.B.; Zhao, X.H.; Shao, J.R.; Zhang, J.H.; Yang, B. The photoluminescence mechanism in carbon dots (graphene quantum dots, carbon nanodots, and polymer dots): Current state and future perspective. Nano Res. 2015, 8, 355–381. [Google Scholar] [CrossRef]
- Shi, X.; Meng, H.; Sun, Y.; Qu, L.; Lin, Y.; Li, Z.; Du, D. Far-Red to Near-Infrared Carbon Dots: Preparation and Applications in Biotechnology. Small 2019, 15, 1901507. [Google Scholar] [CrossRef]
- Hinterberger, V.; Damm, C.; Haines, P.; Guldi, D.; Peukert, W. Purification and structural elucidation of carbon dots by column chromatography. Nanoscale 2019, 11, 8464–8474. [Google Scholar] [CrossRef]
- Xiong, Y.; Schneider, J.; Ushakova, E.V.; Rogach, A.L. Influence of molecular fluorophores on the research field of chemically synthesized carbon dots. Nano Today 2018, 23, 124–139. [Google Scholar] [CrossRef]
- Essner, J.; Kist, J.; Polo-Parada, L.; Baker, G. Artifacts and Errors Associated with the Ubiquitous Presence of Fluorescent Impurities in Carbon Nanodots. Chem. Mater. 2018, 30, 1878–1887. [Google Scholar] [CrossRef]
- Bartolomei, B.; Bogo, A.; Amato, F.; Ragazzon, G.; Prato, M. Nuclear Magnetic Resonance Reveals Molecular Species in Carbon Nanodot Samples Disclosing Flaws. Angew. Chem. Int. Ed. 2022, 61, e202200038. [Google Scholar] [CrossRef]
- Zhang, T.; Zhu, J.; Zhai, Y.; Wang, H.; Bai, X.; Dong, B.; Wang, H.; Song, H. A novel mechanism for red emission carbon dots: Hydrogen bond dominated molecular states emission. Nanoscale 2017, 9, 13042–13051. [Google Scholar] [CrossRef]
- Wang, B.; Liu, X.; Duan, W.; Dai, S.; Lu, H. Visual and ratiometric fluorescent determination of Al3+ by a red-emission carbon dot-quercetin system. Microchem. J. 2020, 156, 104807. [Google Scholar] [CrossRef]
- Wang, B.; Liang, Z.; Tan, H.; Duan, W.; Luo, M. Red-emission carbon dots-quercetin systems as ratiometric fluorescent nanoprobes towards Zn2+ and adenosine triphosphate. Microchim. Acta 2020, 187, 345. [Google Scholar] [CrossRef]
- Jiang, K.; Sun, S.; Zhang, L.; Lu, Y.; Wu, A.; Cai, C.; Lin, H. Red, Green, and Blue Luminescence by Carbon Dots: Full-Color Emission Tuning and Multicolor Cellular Imaging. Angew. Chem. Int. Ed. 2015, 54, 5360–5363. [Google Scholar] [CrossRef]
- Li, T.; Dong, Y.; Bateer, B.; Wang, W.; Li, Z. The preparation, optical properties and applications of carbon dots derived from phenylenediamine. Microchem. J. 2023, 185, 108299. [Google Scholar] [CrossRef]
- Yan, F.; Li, J.; Zhao, X.; Gong, X. Unveiling Unconventional Luminescence Behavior of Multicolor Carbon Dots Derived from Phenylenediamine. J. Phys. Chem. Lett. 2023, 14, 5975–5984. [Google Scholar] [CrossRef]
- La Ferla, B.; Vercelli, B. Red-Emitting Carbon Quantum Dots for Biomedical Applications: Synthesis and Purification Issues of the Hydrothermal Approach. Nanomaterials 2023, 13, 1635. [Google Scholar] [CrossRef]
- Soni, N.; Singh, S.; Sharma, S.; Batra, G.; Kaushik, K.; Rao, C.; Verma, N.C.; Mondal, B.; Yadav, A.; Nandi, C.K. Absorption and emission of light in red emissive carbon nanodots. Chem. Sci. 2021, 12, 3615–3626. [Google Scholar] [CrossRef] [PubMed]
- Ramírez-Barroso, S.; Jacobo-Martín, A.; Navarro-Baena, I.; Hernández, J.J.; Navio, C.; Rodríguez, I.; Wannemacher, R. On the nature of solvothermally synthesized carbon nanodots. J. Mater. Chem. C 2021, 9, 16935–16944. [Google Scholar] [CrossRef]
- Bai, J.L.; Yuan, G.J.; Zhu, Y.Q.; Huang, Z.J.; Zhang, L.; Wang, X.Y.; Wu, S.; Ren, L.L. Study on the Origin of Fluorescence by Using Dual-Emission Carbon Dots. J. Phys. Chem. C 2021, 125, 18543–18551. [Google Scholar] [CrossRef]
- He, X.; Kaneko, T.; Luo, H.; Cong, H.; Nakajima, H.; Zeng, H. A simple and efficient approach to sensitize the fluorescence detection to microwell plate. Sens. Actuators B Chem. 2021, 343, 130070. [Google Scholar] [CrossRef]
- Song, S.; Zhang, Y.; Yang, Y.; Wang, C.; Zhou, Y.; Zhang, C.; Zhao, Y.; Yang, M.; Lin, Q. Ratiometric fluorescence detection of trace water in organic solvents based on aggregation-induced emission enhanced Cu nanoclusters. Analyst 2018, 143, 3068–3074. [Google Scholar] [CrossRef]
- Rasheed, T. Carbon dots as potential greener and sustainable fluorescent nanomaterials in service of pollutants sensing. Trends Analyt. Chem. 2023, 158, 116841. [Google Scholar] [CrossRef]
- Behi, M.; Gholami, L.; Naficy, S.; Palomba, S.; Dehghani, F. Carbon dots: A novel platform for biomedical applications. Nanoscale Adv. 2022, 4, 353–376. [Google Scholar] [CrossRef]
- Hu, J.; Sun, Y.; Aryee, A.A.; Qu, L.; Zhang, K.; Li, Z. Mechanisms for carbon dots-based chemosensing, biosensing, and bioimaging: A review. Anal. Chim. Acta 2022, 1209, 338885. [Google Scholar] [CrossRef]
- Zu, F.; Yan, F.; Bai, Z.; Xu, J.; Wang, Y.; Huang, Y.; Zhou, X. The quenching of the fluorescence of carbon dots: A review on mechanisms and applications. Microchim. Acta 2017, 184, 1899–1914. [Google Scholar] [CrossRef]
- Duce, J.; Wong, B.; Durham, H.; Devedjian, J.; Smith, D.; Devos, D. Post translational changes to α-synuclein control iron and dopamine trafficking; a concept for neuron vulnerability in Parkinson’s disease. Mol. Neurodegener. 2017, 12, 45. [Google Scholar] [CrossRef]
- Spotorno, N.; Acosta-Cabronero, J.; Stomrud, E.; Lampinen, B.; Strandberg, O.; van Westen, D.; Hansson, O. Relationship between cortical iron and tau aggregation in Alzheimer’s disease. Brain 2020, 143, 1341–1349. [Google Scholar] [CrossRef] [PubMed]
- Xu, Q.; Zhao, J.; Liu, Y.; Pu, P.; Wang, X.; Chen, Y.; Gao, C.; Chen, J.; Zhou, H. Enhancing the luminescence of carbon dots by doping nitrogen element and its application in the detection of Fe(III). J. Mater. Sci. 2015, 50, 2571–2576. [Google Scholar] [CrossRef]
- Song, L.; Cui, Y.; Zhang, C.; Hu, Z.; Liu, X. Microwave-assisted facile synthesis of yellow fluorescent carbon dots from o-phenylenediamine for cell imaging and sensitive detection of Fe3+ and H2O2. RSC Adv. 2016, 6, 17704–17712. [Google Scholar] [CrossRef]
- Iqbal, A.; Tian, Y.; Wang, X.; Gong, D.; Guo, Y.; Iqbal, K.; Wang, Z.; Liu, W.; Qin, W. Carbon dots prepared by solid state method via citric acid and 1,10-phenanthroline for selective and sensing detection of Fe2+ and Fe3+. Sens. Actuators B Chem. 2016, 237, 408–415. [Google Scholar] [CrossRef]
- Tan, C.; Su, X.; Zhou, C.; Wang, B.; Zhan, Q.; He, S. Acid-assisted hydrothermal synthesis of red fluorescent carbon dots for sensitive detection of Fe(iii). RSC Adv. 2017, 7, 40952–40956. [Google Scholar] [CrossRef]
- Sun, Y.; Wang, X.; Wang, C.; Tong, D.; Wu, Q.; Jiang, K.; Jiang, Y.; Wang, C.; Yang, M. Red emitting and highly stable carbon dots with dual response to pH values and ferric ions. Microchim. Acta 2018, 185, 83. [Google Scholar] [CrossRef]
- Chen, X.; Bai, J.; Ma, Y.; Yuan, G.; Mei, J.; Zhang, L.; Ren, L. Multifunctional sensing applications of biocompatible N-doped carbon dots as pH and Fe3+ sensors. Microchem. J. 2019, 149, 103981. [Google Scholar] [CrossRef]
- Pu, J.; Liu, C.; Wang, B.; Liu, P.; Jin, Y.; Chen, J. Orange red-emitting carbon dots for enhanced colorimetric detection of Fe3+. Analyst 2021, 146, 1032–1039. [Google Scholar] [CrossRef]
- Yan, R.; Guo, Z.; Chen, X.; Tang, L.; Wang, M.; Miao, P. Red-emissive carbon nanodots for highly sensitive ferric(iii) ion sensing and intracellular imaging. Analyst 2021, 146, 6450–6454. [Google Scholar] [CrossRef]
- Cai, H.; Xu, H.; Chu, H.; Li, J.; Zhang, D. Fabrication of multi-functional carbon dots based on “one stone, three birds” strategy and their applications for the dual-mode Fe3+ detection, effective promotion on cell proliferation and treatment on ferric toxicosis in vitro. J. Mater. Chem. B 2021, 9, 767–782. [Google Scholar] [CrossRef]
- Zhang, X.-Y.; Li, Y.; Wang, Y.-Y.; Liu, X.-Y.; Jiang, F.-L.; Liu, Y.; Jiang, P. Nitrogen and sulfur co-doped carbon dots with bright fluorescence for intracellular detection of iron ion and thiol. J. Colloid Interf. Sci. 2022, 611, 255–264. [Google Scholar] [CrossRef] [PubMed]
- Pu, Z.; Wang, Q.; Li, K.; Fan, W.; Li, M. Synthesis of diethylenetriamine-modified carbon quantum dots for dual sensing Fe3+ and Co2+ and its application. Opt. Mater. 2023, 146, 114598. [Google Scholar] [CrossRef]
- Habiba, K.; Makarov, V.I.; Avalos, J.; Guinel, M.J.F.; Weiner, B.R.; Morell, G. Luminescent graphene quantum dots fabricated by pulsed laser synthesis. Carbon 2013, 64, 341–350. [Google Scholar] [CrossRef] [PubMed]
- Lee, J.-K.; Kim, J.-G.; Hembram, K.P.S.S.; Kim, Y.-I.; Min, B.-K.; Park, Y.; Lee, J.-K.; Moon, D.J.; Lee, W.; Lee, S.-G.; et al. The Nature of Metastable AA’ Graphite: Low Dimensional Nano- and Single-Crystalline Forms. Sci. Rep. 2016, 6, 39624. [Google Scholar] [CrossRef]
- Saadat, N.; Dhakal, H.N.; Tjong, J.; Jaffer, S.; Yang, W.; Sain, M. Recent advances and future perspectives of carbon materials for fuel cell. Renew. Sustain. Energy Rev. 2021, 138, 110535. [Google Scholar] [CrossRef]
- Xian, Y.M.; Li, K. Hydrothermal Synthesis of High-Yield Red Fluorescent Carbon Dots with Ultra-Narrow Emission by Controlled O/N Elements. Adv. Mater. 2022, 34, 2201031. [Google Scholar] [CrossRef]
- Nidhisha, V.; Gopal, R.; Anjali, C.; Amrutha, T.; Arunima, K.; Praveen, V.; Kizhakayil, R. p-Phenylenediamine-derived carbon nanodots for probing solvent interactions. Nanoscale Adv. 2024, 6, 1535–1547. [Google Scholar] [CrossRef]
- Popova, A.N. Crystallographic analysis of graphite by X-Ray diffraction. Coke Chem. 2017, 60, 361–365. [Google Scholar] [CrossRef]
- Ayiania, M.; Smith, M.; Hensley, A.J.R.; Scudiero, L.; McEwen, J.S.; Garcia-Perez, M. Deconvoluting the XPS spectra for nitrogen-doped chars: An analysis from first principles. Carbon 2020, 162, 528–544. [Google Scholar] [CrossRef]
- Fernandez-Merino, Á.; del Caño, R.; Chávez, M.; Sánchez-Obrero, G.; Madueño, R.; Blázquez, M.; Pineda, T. p-Phenylenediamine electrochemical oxidation revisited: An insight into the mechanism and kinetics in acid medium. J. Electroanal. Chem. 2024, 969, 118547. [Google Scholar] [CrossRef]
- Xia, J.; Chen, S.; Zou, G.Y.; Yu, Y.L.; Wang, J.H. Synthesis of highly stable red-emissive carbon polymer dots by modulated polymerization: From the mechanism to application in intracellular pH imaging. Nanoscale 2018, 10, 22484–22492. [Google Scholar] [CrossRef] [PubMed]
- Williams, R. Williams R: pKa Data Compiled. 2022. Available online: https://organicchemistrydata.org/hansreich/resources/pka/pka_data/pka-compilation-williams.pdf (accessed on 20 August 2024).
- Shen, Y.; Wu, H.; Wu, W.; Zhou, L.; Dai, Z.; Dong, S. A facile hydrothermal method to synthesize fluorescent carbon dots for detecting iron. Mater Express. 2020, 10, 1135–1140. [Google Scholar] [CrossRef]
- Gupta, D.; Desai, M.; Malek, N.; Kailasa, S. Fluorescence detection of Fe(III) ion using ultra-small fluorescent carbon dots derived from pineapple (Ananas comosus): Development of miniaturized analytical method. J. Mol. Struct. 2020, 1216, 128343. [Google Scholar] [CrossRef]
- Pang, S.; Liu, S. Dual-emission carbon dots for ratiometric detection of Fe(III) ions and acid phosphatase. Anal. Chim. Acta 2020, 1105, 155–161. [Google Scholar] [CrossRef]
- Zheng, X.; Ren, S.; Wang, L.; Gai, Q.; Dong, Q.; Liu, W. Controllable functionalization of carbon dots as fluorescent sensors for independent Cr(VI), Fe(III) and Cu(II) ions detection. J. Photochem. Photobiol. A Chem. 2021, 417, 113359. [Google Scholar] [CrossRef]
- Anusuyadevi, K.; Bose, A.; Velmathi, S. Single Step Solid State Synthesis of Carbon Nanoparticles for Instantaneous Detection of Fe (III) in Water Samples. J. Fluoresc. 2023, 34, 2219–2227. [Google Scholar] [CrossRef]
- Wu, H.; Pang, L.-F.; Fu, M.-J.; Guo, X.-F.; Wang, H. Boron and nitrogen codoped carbon dots as fluorescence sensor for Fe(III) with improved selectivity. J. Pharm. Biomed. Anal. 2020, 180, 113052. [Google Scholar] [CrossRef]
- Zhang, X.; Shang, Y. N-Doped Red Emission Carbon Dots and Detection of Fe(III). J. Struct. Chem. 2022, 63, 460–469. [Google Scholar] [CrossRef]
- Huan, P. Multicolor nitrogen-doped carbon quantum dots and its application in the detection of Fe(III) ion. Luminescence 2024, 39, e4852. [Google Scholar] [CrossRef]
- Feng, M.; Wang, Y.; He, B.; Chen, X.; Sun, J. Chitin-Based Carbon Dots with Tunable Photoluminescence for Fe(III) Detection. ACS Appl. Nano Mater. 2022, 5, 7502–7511. [Google Scholar] [CrossRef]
- Lakowicz, J. Principles of Fluorescence Spectroscopy; Springer: New York, NY, USA, 2006. [Google Scholar] [CrossRef]
- Li, S.; Zhang, Z. Recent advances in the construction and analytical applications of carbon dots-based optical nanoassembly. Talanta 2021, 223, 121691. [Google Scholar] [CrossRef] [PubMed]
- Sun, X.; Lei, Y. Fluorescent carbon dots and their sensing applications. Trends Anal. Chem. 2017, 89, 163–180. [Google Scholar] [CrossRef]
- Pineda, T.; Sevilla, J.M.; Roman, A.J.; Blazquez, M. Electrochemical evidence on the molten globule conformation of cytochrome c. Biochim. Biophys. Acta-Protein Struct. Mol. Enzymol. 1997, 1343, 227–234. [Google Scholar] [CrossRef] [PubMed]
- del Cano, R.; Mateus, L.; Sanchez-Obrero, G.; Sevilla, J.M.; Madueno, R.; Blazquez, M.; Pineda, T. Hemoglobin becomes electroactive upon interaction with surface-protected Au nanoparticles. Talanta 2018, 176, 667–673. [Google Scholar] [CrossRef]
Disclaimer/Publisher’s Note: The statements, opinions and data contained in all publications are solely those of the individual author(s) and contributor(s) and not of MDPI and/or the editor(s). MDPI and/or the editor(s) disclaim responsibility for any injury to people or property resulting from any ideas, methods, instructions or products referred to in the content. |
© 2024 by the authors. Licensee MDPI, Basel, Switzerland. This article is an open access article distributed under the terms and conditions of the Creative Commons Attribution (CC BY) license (https://creativecommons.org/licenses/by/4.0/).