Determination of Dipyridamole Using a MIP-Modified Disposable Pencil Graphite Electrode
Abstract
1. Introduction
2. Materials and Methods
2.1. Reagents and Solutions
2.2. Instrumentation
2.3. Procedures
3. Results
3.1. Electropolymerization of Caffeic Acid in the Presence of Dipyridamole
3.2. Optimization of the Experimental Conditions for the Electrochemical MIP Preparation
3.2.1. Optimization of the Electropolymerization Conditions
- The influence of the monomer and template concentration
- The influence of the number of voltammetric potential cycles
- The influence of the scan rate
3.2.2. Optimization of the Conditions for Template Removal
3.3. Electrode Surface Characterization
3.4. Voltammetric Analysis of DIP at MIP_PGE
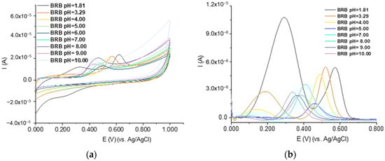
3.4.1. The Influence of the Supporting Electrolyte pH on DIP Voltammetric Behavior at MIP_PGE
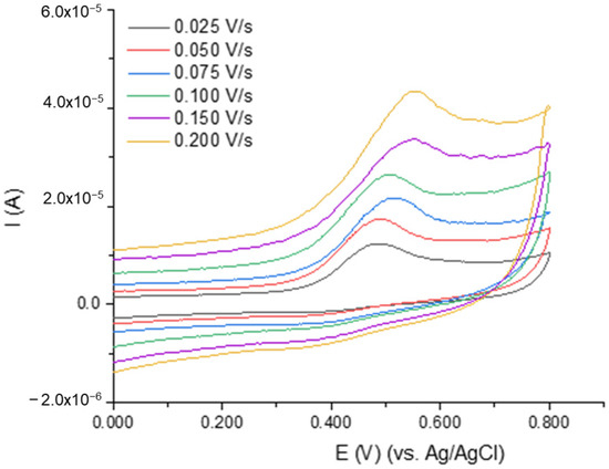
3.4.2. The Effect of the Potential Scan Rate on DIP Voltammetric Behavior at MIP_PGE
3.4.3. The Effect of DIP Concentration on Its Voltammetric Response at MIP_PGE
3.4.4. Limits of Detection and Quantification
3.4.5. Repeatability
3.4.6. Interferences
3.4.7. Analytical Application of the Developed MIP-PGE for DIP Determination
4. Conclusions
Supplementary Materials
Author Contributions
Funding
Institutional Review Board Statement
Informed Consent Statement
Data Availability Statement
Acknowledgments
Conflicts of Interest
References
- Lee, S.-D.; Huang, W.-C.; Peng, N.-J.; Hu, C. Dipyridamole-Induced Adverse Effects in Myocardial Perfusion Scans: Dynamic Evaluation. IJC Heart Vasc. 2016, 14, 14–19. [Google Scholar] [CrossRef] [PubMed]
- Allahham, M.; Lerman, A.; Atar, D.; Birnbaum, Y. Why Not Dipyridamole: A Review of Current Guidelines and Re-Evaluation of Utility in the Modern Era. Cardiovasc. Drugs Ther. 2022, 36, 525–532. [Google Scholar] [CrossRef] [PubMed]
- Li, C. Electrochemical Determination of Dipyridamole at a Carbon Paste Electrode Using Cetyltrimethyl Ammonium Bromide as Enhancing Element. Colloids Surf. B Biointerfaces 2007, 55, 77–83. [Google Scholar] [CrossRef] [PubMed]
- Liu, X.; Li, Z.; Liu, S.; Sun, J.; Chen, Z.; Jiang, M.; Zhang, Q.; Wei, Y.; Wang, X.; Huang, Y.-Y.; et al. Potential Therapeutic Effects of Dipyridamole in the Severely Ill Patients with COVID-19. Acta Pharm. Sin. B 2020, 10, 1205–1215. [Google Scholar] [CrossRef]
- De Toledo, R.A.; Castilho, M.; Mazo, L.H. Determination of Dipyridamole in Pharmaceutical Preparations Using Square Wave Voltammetry. J. Pharm. Biomed. Anal. 2005, 36, 1113–1117. [Google Scholar] [CrossRef]
- Prakash, K.; Kalakuntla, R.R.; Sama, J.R. Rapid and Simultaneous Determination of Aspirin and Dipyridamole in Pharmaceutical Formulations by Reversed-Phase High Performance Liquid Chromatography (RP-HPLC) Method. Afr. J. Pharm. Pharmacol. 2011, 5, 244–251. [Google Scholar] [CrossRef]
- Mallavarapu, R.; Katari, N.K.; Dongala, T.; Rekulapally, V.K.; Marisetti, V.M.; Vyas, G. A Validated Stability-Indicating Reversed-Phase-HPLC Method for Dipyridamole in the Presence of Degradation Products and its Process-Delated Impurities in Pharmaceutical Dosage Forms. Biomed. Chromatogr. 2022, 36, e5247. [Google Scholar] [CrossRef]
- Rajput, A.P.; Sonanis, M.C. Development and Validation of a Rapid RP-UPLC Method for the Determination of Aspirin and Dipyridamole in Combined Capsule Formulation. J. Appl. Pharm. Sci. 2011, 3, 156–160. [Google Scholar]
- Hammud, H.H.; El Yazbi, F.A.; Mahrous, M.E.; Sonji, G.M.; Sonji, N.M. Stability-Indicating Spectrofluorimetric and RP-HPLC Methods for the Determination of Aspirin and Dipyridamole in Their Combination. Open Spectrosc. J. 2008, 2, 19–28. [Google Scholar] [CrossRef]
- Menaka, T.; Kuber, R. UPLC-Q-TOF-MS method development and validation for simultaneous analysis of dipyridamole and its related impurities. J. Appl. Pharm. Sci. 2023, 13, 201–211. [Google Scholar] [CrossRef]
- Barghash, S.; Abd El-Razeq, S.; El -Awady, M.; Belal, F. Validated Spectrophotometric Method for Analysis of Dipyridamole and Lamivudine Using Eosin Y. Azhar IJPSM 2021, 1, 73–82. [Google Scholar] [CrossRef]
- Sushama, R.A.; Jayesh, P.T.; Vijay, A.B. Development and Validation of Simple and Rapid UV Spectroscopic Method for Estimation of Dipyridamole in Tablet Dosage Form. IOSR J. Appl. Chem. 2021, 14, 14–22. [Google Scholar] [CrossRef]
- Serebruany, V.; Pokov, I.; Hanley, D. Spectrofluorimetric Assessment of Plasma Dipyridamole Stability: Sample Storage for Multicenter Clinical Trials? Thromb. Res. 2008, 123, 184–186. [Google Scholar] [CrossRef]
- Wang, L.; Tang, Y. Determination of Dipyridamole using TCPO–H2O2 Chemiluminescence in the Presence of Silver Nanoparticles. Luminescence 2011, 26, 703–709. [Google Scholar] [CrossRef]
- Fahelelbom, K.M.S.; El-Shabrawy, Y. Simultaneous Determination of Dipyridamole and Acetylsalicylic Acid in Pharmaceuticals and Biological Fluids by Synchronous and First Derivative Synchronous Fluorimetry. J. Pharm. Sci. Res. 2019, 11, 2949–2955. [Google Scholar]
- Ankitha, M.; Shabana, N.; Rasheed, P.A. A Novel ReS2–Nb2CTx Composite as a Sensing Platform for Ultrasensitive and Selective Electrochemical Detection of Dipyramidole from Human Serum. Graphene 2D Mater. 2022, 8, 27–37. [Google Scholar] [CrossRef]
- Afkhami, A.; Moosavi, R.; Madrakian, T. Maghemite-Nanoparticles Enhanced Effects in Electrochemical Determination of Dipyridamole Utilizing Simultaneous Statistical Based Experimental Design Optimization. J. Electrochem. Soc. 2013, 160, H775–H781. [Google Scholar] [CrossRef]
- Salandari-Jolge, N.; Ensafi, A.A.; Rezaei, B. Metal–Organic Framework Derived Metal Oxide/Reduced Graphene Oxide Nanocomposite, a New Tool for the Determination of Dipyridamole. N. J. Chem. 2021, 45, 2781–2790. [Google Scholar] [CrossRef]
- Sarakhman, O.; Pysarevska, S.; Dubenska, L.; Stanković, D.M.; Otřísal, P.; Planková, A.; Kianičková, K.; Švorc, Ľ. Voltammetric Protocol for Reliable Determination of a Platelet Aggregation Inhibitor Dipyridamole on a Bare Miniaturized Boron-Doped Diamond Electrochemical Sensor. J. Electrochem. Soc. 2019, 166, B219–B226. [Google Scholar] [CrossRef]
- Preda, D.; David, I.G.; Popa, D.E.; Buleandra, M.; Radu, G.L. Recent Trends in the Development of Carbon-Based Electrodes Modified with Molecularly Imprinted Polymers for Antibiotic Electroanalysis. Chemosensors 2022, 10, 243. [Google Scholar] [CrossRef]
- Liu, X.; Zhong, J.; Rao, H.; Lu, Z.; Ge, H.; Chen, B.; Zou, P.; Wang, X.; He, H.; Zeng, X. Electrochemical Dipyridamole Sensor Based on Molecularly Imprinted Polymer on Electrode Modified with Fe3O4@Au/Amine-Multi-Walled Carbon Nanotubes. J. Solid State Electrochem. 2017, 21, 3071–3082. [Google Scholar] [CrossRef]
- Javanbakht, M.; Fathollahi, F.; Divsar, F.; Ganjali, M.R.; Norouzi, P. A Selective and Sensitive Voltammetric Sensor Based on Molecularly Imprinted Polymer for the Determination of Dipyridamole in Pharmaceuticals and Biological Fluids. Sens. Actuators B Chem. 2013, 182, 362–367. [Google Scholar] [CrossRef]
- David, I.G.; Litescu, S.C.; Popa, D.E.; Buleandra, M.; Iordache, L.; Albu, C.; Alecu, A.; Penu, R.L. Voltammetric Analysis of Naringenin at a Disposable Pencil Graphite Electrode—Application to Polyphenol Content Determination in Citrus Juice. Anal. Methods 2018, 10, 5763–5772. [Google Scholar] [CrossRef]
- Nian, B.L.; Ren, W.; Hong, Q.L. Caffeic Acid-Modified Glassy Carbon Electrode for the Simultaneous Determination of Epinephrine and Dopamine. Electroanalysis 2007, 19, 1496–1502. [Google Scholar] [CrossRef]
- Lee, P.T.; Ward, K.R.; Tschulik, K.; Chapman, G.; Compton, R.G. Electrochemical Detection of Glutathione Using a Poly(Caffeic Acid) Nanocarbon Composite Modified Electrode. Electroanalysis 2014, 26, 366–373. [Google Scholar] [CrossRef]
- Rohanifar, A.; Devasurendra, A.M.; Young, J.A.; Kirchhoff, J.R. Determination of L-DOPA at an Optimized Poly(Caffeic Acid) Modified Glassy Carbon Electrode. Anal. Methods 2016, 8, 7891–7897. [Google Scholar] [CrossRef]
- Li, R.; Zhai, T.; Zhao, L.; Zhang, N.; He, M.; Tan, L. Preparation of Poly(caffeic acid)-CoP Nanoparticle Film on Electrode Surface and Sensitive Voltammetric Detection of Acetaminophen. Colloids Surf. A Physicochem. Eng. Asp. 2021, 627, 127173. [Google Scholar] [CrossRef]
- Konopka, S.J.; McDuffie, B. Diffusion Coefficients of Ferri- and Ferrocyanide Ions in Aqueous Media, Using Twin-Electrode Thin-Layer Electrochemistry. Anal. Chem. 1970, 42, 1741–1746. [Google Scholar] [CrossRef]
- Ziyatdinova, G.; Guss, E.; Yakupova, E. Electrochemical Sensors Based on the Electropolymerized Natural Phenolic Antioxidants and Their Analytical Application. Sensors 2021, 21, 8385. [Google Scholar] [CrossRef]
- David, I.G.; Iordache, L.; Popa, D.E.; Buleandra, M.; David, V.; Iorgulescu, E.E. Novel Voltammetric Investigation of Dipyridamole at a Disposable Pencil Graphite Electrode. Turk J. Chem. 2019, 43, 1109–1122. [Google Scholar] [CrossRef]
- Miller, J.N.; Miller, J.C. Statistics and Chemometrics for Analytical Chemistry, 6th ed.; Pearson: London, UK, 2010; ISBN 978-0-273-73042-2. [Google Scholar]
- Ghoneim, M.M.; Tawfik, A.; Radi, A. Assay of Dipyridamole in Human Serum Using Cathodic Adsorptive Square-Wave Stripping Voltammetry. Anal. Bioanal. Chem. 2002, 374, 289–293. [Google Scholar] [CrossRef] [PubMed]
- Wang, Z.; Zhang, H.; Zhou, S. Determination of Trace Amounts of Dipyridamole by Stripping Voltammetry Using a Nafion Modified Electrode. Talanta 1997, 44, 621–626. [Google Scholar] [CrossRef] [PubMed]
- Yari, A.; Shams, A. Fabrication of a Renewable Syringe Carbon Paste Electrode with a Motor Rotary Blade and Using for Voltammetric Measurement of Dipyridamole. J. Iran Chem. Soc. 2018, 15, 1861–1869. [Google Scholar] [CrossRef]
- AOAC International. Guidelines for Standard Method Performance Requirements. Available online: https://www.aoac.org/wp-content/uploads/2019/08/app_f.pdf (accessed on 25 May 2023).
- Dresse, A.; Chevolet, C.; Delapierre, D.; Masset, H.; Weisenberger, H.; Bozler, G.; Heinzel, G. Pharmacokinetics of Oral Dipyridamole (Persantine®) and Its Effect on Platelet Adenosine Uptake in Man. Eur. J. Clin. Pharmacol. 1982, 23, 229–234. [Google Scholar] [CrossRef] [PubMed]











| Dependence | Regression Equation |
|---|---|
| Ip = f(v) | Ip = 7.053 × 10−5 × v + 3.692 (R2 = 0.9629) |
| Ip = f(v1/2) | Ip = 4.411× 10−5 × v1/2 − 2.534 × 10−6 (R2 = 0.996) |
| log Ip = f(log v) | log Ip = 0.606 × log v − 4.338 (R2 = 0.988) |
| Electrode | Technique | Linear Range (mol/L) | LOD (mol/L) | Sample | Ref |
|---|---|---|---|---|---|
| HMDE | SWV | 8.92 × 10−9–4.99 × 10−6 | 3.96 × 10−8 | Human serum | [32] |
| HMDE | SWV | 1.29 × 10−7–7.01 × 10−7 | 1.88 × 10−6 | Tablets | [5] |
| CPE | DPV | 5.94 × 10−5–2.38 × 10−2 | 1.98 × 10−5 | Tablets | [3] |
| Nafion-GCE | ASV | 1.00 × 10−9–8.00 × 10−8 | 8.00 × 10−11 | Human serum | [33] |
| NiCo2O4/NiO@MOF-5/rGO/GCE | DPV | 2.00 × 10−8–5.50 × 10−4 | 2.80 × 10−9 | Free-drug plasma, urine | [18] |
| BDDE | DPV | 1.00 × 10−5–5.00 × 10−6 | 4.00 × 10−10 | Pharmaceuticals, human urine | [19] |
| SCPE | SWV | 8.00 × 10−8–3.00 × 10−5 | 2.00 × 10−8 | Pharmaceuticals | [34] |
| PGE | DPV | 5.00 × 10−7–2.50 × 10−4 | 1.21 × 10−7 | Tablets | [30] |
| MIP modified MGCE | DPV | 9.91 × 10−10–3.76 × 10−6 | 5.95 × 10−11 | Human serum | [21] |
| MIP modified CPE | DPV | 1.98 × 10−9–2.18 × 10−7 | 9.90 × 10−10 | Tablets, human serum | [22] |
| MIP_PGE | DPV AdS-DPV | 1.00 × 10−7–1.00 × 10−5 1.00 × 10−8–5.00 × 10−7 | 2.04 × 10−8 8.67 × 10−9 | Tablets | This work |
| Technique | DPV | AdS-DPV | ||||
|---|---|---|---|---|---|---|
| DIP concentration (mol/L) | 1.00 × 10−7 | 1.00 × 10−6 | 1.00 × 10−5 | 1.00 × 10−8 | 7.50 × 10−8 | 5.00 × 10−7 |
| RSD % | 9.98 | 4.82 | 4.50 | 5.93 | 5.52 | 2.44 |
| Tablet Content Claimed by the Producer (mg) | 25.00 |
|---|---|
| Tablet content found by DPV at MIP_PGE (mg) ± SD * | 26.25 ± 0.25 |
| RSD (%) | 1.95 |
| Recovery, R ± SD (%) | 105.16 ± 0.02 |
Disclaimer/Publisher’s Note: The statements, opinions and data contained in all publications are solely those of the individual author(s) and contributor(s) and not of MDPI and/or the editor(s). MDPI and/or the editor(s) disclaim responsibility for any injury to people or property resulting from any ideas, methods, instructions or products referred to in the content. |
© 2023 by the authors. Licensee MDPI, Basel, Switzerland. This article is an open access article distributed under the terms and conditions of the Creative Commons Attribution (CC BY) license (https://creativecommons.org/licenses/by/4.0/).
Share and Cite
Preda, D.; Jinga, M.L.; David, I.G.; Radu, G.L. Determination of Dipyridamole Using a MIP-Modified Disposable Pencil Graphite Electrode. Chemosensors 2023, 11, 400. https://doi.org/10.3390/chemosensors11070400
Preda D, Jinga ML, David IG, Radu GL. Determination of Dipyridamole Using a MIP-Modified Disposable Pencil Graphite Electrode. Chemosensors. 2023; 11(7):400. https://doi.org/10.3390/chemosensors11070400
Chicago/Turabian StylePreda, Daniel, Maria Lorena Jinga, Iulia Gabriela David, and Gabriel Lucian Radu. 2023. "Determination of Dipyridamole Using a MIP-Modified Disposable Pencil Graphite Electrode" Chemosensors 11, no. 7: 400. https://doi.org/10.3390/chemosensors11070400
APA StylePreda, D., Jinga, M. L., David, I. G., & Radu, G. L. (2023). Determination of Dipyridamole Using a MIP-Modified Disposable Pencil Graphite Electrode. Chemosensors, 11(7), 400. https://doi.org/10.3390/chemosensors11070400

