A Sensitive and Selective Non-Enzymatic Dopamine Sensor Based on Nanostructured Co3O4–Fe2O3 Heterojunctions
Abstract
1. Introduction
2. Materials and Methods
2.1. Materials
2.2. Synthesis of Co3O4:Fe2O3 Nanocomposites
2.3. Characterization Methods
2.4. Electrode Fabrication
2.5. Electrochemical Tests
3. Results and Discussion
3.1. Structural and Morphological Characterization
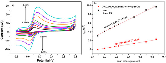
3.2. Electrochemical Characterization of Modified SPCE
3.3. Electroanalytical Dopamine Determination
3.4. Interference Tests
4. Conclusions
Supplementary Materials
Author Contributions
Funding
Institutional Review Board Statement
Informed Consent Statement
Data Availability Statement
Conflicts of Interest
References
- Moujalled, D.; Strasser, A.; Liddell, J.R. Molecular Mechanisms of Cell Death in Neurological Diseases. Cell Death Differ. 2021, 28, 2029–2044. [Google Scholar] [CrossRef] [PubMed]
- Pan, X.; Kaminga, A.C.; Wen, S.W.; Wu, X.; Acheampong, K.; Liu, A. Dopamine and Dopamine Receptors in Alzheimer’s Disease: A Systematic Review and Network Meta-Analysis. Front. Aging Neurosci. 2019, 11, 175. [Google Scholar] [CrossRef] [PubMed]
- Grant, C.E.; Flis, A.L.; Ryan, B.M. Understanding the Role of Dopamine in Cancer: Past, Present and Future. Carcinogenesis 2022, 43, 517–527. [Google Scholar] [CrossRef] [PubMed]
- Lakard, S.; Pavel, I.-A.; Lakard, B. Electrochemical Biosensing of Dopamine Neurotransmitter: A Review. Biosensors 2021, 11, 179. [Google Scholar] [CrossRef]
- Grieshaber, D.; MacKenzie, R.; Vörös, J.; Reimhult, E. Electrochemical Biosensors—Sensor Principles and Architectures. Sensors 2008, 8, 1400–1458. [Google Scholar] [CrossRef]
- Sargazi, S.; Fatima, I.; Hassan Kiani, M.; Mohammadzadeh, V.; Arshad, R.; Bilal, M.; Rahdar, A.; Díez-Pascual, A.M.; Behzadmehr, R. Fluorescent-Based Nanosensors for Selective Detection of a Wide Range of Biological Macromolecules: A Comprehensive Review. Int. J. Biol. Macromol. 2022, 206, 115–147. [Google Scholar] [CrossRef]
- Taheri, R.A.; Eskandari, K.; Negahdary, M. An Electrochemical Dopamine Aptasensor Using the Modified Au Electrode with Spindle-Shaped Gold Nanostructure. Microchem. J. 2018, 143, 243–251. [Google Scholar] [CrossRef]
- Varmira, K.; Mohammadi, G.; Mahmoudi, M.; Khodarahmi, R.; Rashidi, K.; Hedayati, M.; Goicoechea, H.C.; Jalalvand, A.R. Fabrication of a Novel Enzymatic Electrochemical Biosensor for Determination of Tyrosine in Some Food Samples. Talanta 2018, 183, 1–10. [Google Scholar] [CrossRef]
- Ferlazzo, A.; Espro, C.; Iannazzo, D.; Neri, G. Determination of Phenylalanine by a Novel Enzymatic PHD/SPE Biosensor. IEEE Trans. Instrum. Meas. 2023, 72, 9508308. [Google Scholar] [CrossRef]
- Abid, K.; Zribi, R.; Maalej, R.; Foti, A.; Khaskhoussi, A.; Gucciardi, P.G.; Neri, G. Electrochemical and Sensing Properties of AuNps-2D-MoS2/SPCE for Folic Acid Determination. FlatChem 2022, 36, 100433. [Google Scholar] [CrossRef]
- Okpara, E.C.; Nde, S.C.; Fayemi, O.E.; Ebenso, E.E. Electrochemical Characterization and Detection of Lead in Water Using SPCE Modified with BiONPs/PANI. Nanomaterials 2021, 11, 1294. [Google Scholar] [CrossRef]
- Neri, G. First Fifty Years of Chemoresistive Gas Sensors. Chemosensors 2015, 3, 1. [Google Scholar] [CrossRef]
- Fazio, E.; Spadaro, S.; Corsaro, C.; Neri, G.; Leonardi, S.G.; Neri, F.; Lavanya, N.; Sekar, C.; Donato, N.; Neri, G. Metal-Oxide Based Nanomaterials: Synthesis, Characterization and Their Applications in Electrical and Electrochemical Sensors. Sensors 2021, 21, 2494. [Google Scholar] [CrossRef] [PubMed]
- Liu, L.; Wang, Y.; Liu, Y.; Wang, S.; Li, T.; Feng, S.; Qin, S.; Zhang, T. Heteronanostructural Metal Oxide-Based Gas Microsensors. Microsyst. Nanoeng. 2022, 8, 85. [Google Scholar] [CrossRef] [PubMed]
- Kumarage, G.W.C.; Comini, E. Low-Dimensional Nanostructures Based on Cobalt Oxide (Co3O4) in Chemical-Gas Sensing. Chemosensors 2021, 9, 197. [Google Scholar] [CrossRef]
- Sun, C.; Huang, H.; Wang, J.; Liu, W.; Yang, Z.; Yu, X.-F. Applications of Electrochemical Biosensors Based on 2D Materials and Their Hybrid Composites in Hematological Malignancies Diagnosis. Technol. Cancer Res. Treat. 2022, 21, 15330338221142996. [Google Scholar] [CrossRef]
- Agnihotri, A.S.; Varghese, A.; Nidhin, M. Transition Metal Oxides in Electrochemical and Bio Sensing: A State-of-Art Review. Appl. Surf. Sci. Adv. 2021, 4, 100072. [Google Scholar] [CrossRef]
- Zhou, Z.; Liu, X.; Chan, H. Synthesis of Fe3O4 Nanoparticles from Emulsions. J. Mater. Chem. 2001, 11, 1704–1709. [Google Scholar] [CrossRef]
- Wu, W.; Wu, Z.; Yu, T.; Jiang, C.; Kim, W.-S. Recent Progress on Magnetic Iron Oxide Nanoparticles: Synthesis, Surface Functional Strategies and Biomedical Applications. Sci. Technol. Adv. Mater. 2015, 16, 023501. [Google Scholar] [CrossRef]
- Choi, H.K.; Lee, M.-J.; Lee, S.N.; Kim, T.-H.; Oh, B.-K. Noble Metal Nanomaterial-Based Biosensors for Electrochemical and Optical Detection of Viruses Causing Respiratory Illnesses. Front. Chem. 2021, 9, 672739. [Google Scholar] [CrossRef]
- Chen, W.; Yi, P.; Zhang, Y.; Zhang, L.; Deng, Z.; Zhang, Z. Composites of Aminodextran-Coated Fe3O4 Nanoparticles and Graphene Oxide for Cellular Magnetic Resonance Imaging. ACS Appl. Mater. Interfaces 2011, 3, 4085–4091. [Google Scholar] [CrossRef]
- Izadiyan, Z.; Shameli, K.; Miyake, M.; Hara, H.; Mohamad, S.E.B.; Kalantari, K.; Taib, S.H.M.; Rasouli, E. Cytotoxicity Assay of Plant-Mediated Synthesized Iron Oxide Nanoparticles Using Juglans Regia Green Husk Extract. Arab. J. Chem. 2020, 13, 2011–2023. [Google Scholar] [CrossRef]
- Qin, H.; Wang, C.M.; Dong, Q.Q.; Zhang, L.; Zhang, X.; Ma, Z.Y.; Han, Q.R. Preparation and Characterization of Magnetic Fe3O4–Chitosan Nanoparticles Loaded with Isoniazid. J. Magn. Magn. Mater. 2015, 381, 120–126. [Google Scholar] [CrossRef]
- Bhushan, M.; Kumar, Y.; Periyasamy, L.; Viswanath, A.K. Antibacterial Applications of α-Fe2O3/Co3O4 Nanocomposites and Study of Their Structural, Optical, Magnetic and Cytotoxic Characteristics. Appl. Nanosci. 2018, 8, 137–153. [Google Scholar] [CrossRef]
- Basavegowda, N.; Mishra, K.; Rok Lee, Y. Synthesis, Characterization, and Catalytic Applications of Hematite (α-Fe2O3) Nanoparticles as Reusable Nanocatalyst. Adv. Nat. Sci. Nanosci. Nanotechnol. 2017, 8, 025017. Available online: https://iopscience.iop.org/article/10.1088/2043-6254/aa6885 (accessed on 29 June 2023). [CrossRef]
- Lu, J.-F.; Tsai, C.-J. Hydrothermal Phase Transformation of Hematite to Magnetite. Nanoscale Res. Lett. 2014, 9, 230. [Google Scholar] [CrossRef]
- Li, J.; Lu, G.; Wu, G.; Mao, D.; Guo, Y.; Wang, Y.; Guo, Y. The Role of Iron Oxide in the Highly Effective Fe-Modified Co3O4 Catalyst for Low-Temperature CO Oxidation. RSC Adv. 2013, 3, 12409–12416. [Google Scholar] [CrossRef]
- Farhadi, S.; Javanmard, M.; Nadri, G. Characterization of Cobalt Oxide Nanoparticles Prepared by the Thermal Decomposition. Acta Chim. Slov. 2016, 63, 335–343. [Google Scholar] [CrossRef]
- Choya, A.; de Rivas, B.; Gutiérrez-Ortiz, J.I.; González-Velasco, J.R.; López-Fonseca, R. Synthesis, Characterization and Kinetic Behavior of Supported Cobalt Catalysts for Oxidative after-Treatment of Methane Lean Mixtures. Materials 2019, 12, 3174. [Google Scholar] [CrossRef]
- Laschuk, N.; Easton, E.; Zenkina, O. Reducing the Resistance for the Use of Electrochemical Impedance Spectroscopy Analysis in Materials Chemistry. RSC Adv. 2021, 11, 27925–27936. [Google Scholar] [CrossRef]
- Liang, J.-J.; Zhao, M.-G.; Ding, L.-J.; Fan, S.-S.; Chen, S.-G. Fabrication of the ZnO/NiO p–n Junction Foam for the Enhanced Sensing Performance. Chin. Chem. Lett. 2017, 28, 670–674. [Google Scholar] [CrossRef]
- Xu, K.; Gao, J.; Chen, P.; Zhan, C.; Yang, Y.; Wang, Z.; Yang, Y.; Yang, L.; Yuan, C. Interface Engineering of Fe2O3@Co3O4 Nanocubes for Enhanced Triethylamine Sensing Performance. Ind. Eng. Chem. Res. 2022, 61, 8057–8068. [Google Scholar] [CrossRef]
- Xu, K.; Zhao, W.; Yu, X.; Duan, S.; Zeng, W. MOF-derived Co3O4/Fe2O3 p-n hollow cubes for improved acetone sensing characteristics. Phys. E Low Dimens. Syst. Nanostruct. 2020, 118, 113869. [Google Scholar] [CrossRef]
- Yue, H.Y.; Wu, P.F.; Huang, S.; Gao, X.; Song, S.S.; Wang, W.Q.; Zhang, H.J.; Guo, X.R. Electrochemical Determination of Dopamine in the Presence of Uric Acid Using WS2 Nanospheres-Carbon Nanofibers. J. Electroanal. Chem. 2019, 833, 427–432. [Google Scholar] [CrossRef]
- Mahesh, K.P.O.; Shown, I.; Chen, L.-C.; Chen, K.-H.; Tai, Y. Flexible Sensor for Dopamine Detection Fabricated by the Direct Growth of α-Fe2O3 Nanoparticles on Carbon Cloth. Appl. Surf. Sci. 2018, 427, 387–395. [Google Scholar] [CrossRef]
- Yang, Y.; Zhu, C.; Zhang, Y.; Xie, Y.; Lv, L.; Chen, W.; He, Y.; Hu, Z. Construction of Co3O4/Fe2O3 nanosheets on nickel foam as efficient electrocatalyst for the oxygen evolution reaction. J. Phys. Chem. Solids 2021, 148, 109680. [Google Scholar] [CrossRef]
- Cai, L.; Hou, B.; Shang, Y.; Xu, L.; Zhou, B.; Jiang, X.; Jiang, X. Synthesis of Fe3O4/Graphene Oxide/Pristine Graphene Ternary Composite and Fabrication Electrochemical Sensor to Detect Dopamine and Hydrogen Peroxide. Chem. Phys. Lett. 2019, 736, 136797. [Google Scholar] [CrossRef]
- Oğuz, M.; Aykaç, A.; Sen, M. Highly Sensitive and Selective Electrochemical Detection of Dopamine and Uric Acid Using Sea Urchin-like Tungsten Oxide Nanostructure Modified SPCE. ChemRxiv 2020, 3, 2011–2023. [Google Scholar] [CrossRef]
- Peik-See, T.; Pandikumar, A.; Nay-Ming, H.; Hong-Ngee, L.; Sulaiman, Y. Simultaneous Electrochemical Detection of Dopamine and Ascorbic Acid Using an Iron Oxide/Reduced Graphene Oxide Modified Glassy Carbon Electrode. Sensors 2014, 14, 15227–15243. [Google Scholar] [CrossRef]
- Ranku, M.N.; Uwaya, G.E.; Fayemi, O.E. Electrochemical Detection of Dopamine at Fe3O4/SPEEK Modified Electrode. Molecules 2021, 26, 5357. [Google Scholar] [CrossRef]
- Liu, T.; Zhang, X.; Fu, K.; Zhou, N.; Xiong, J.; Su, Z. Fabrication of Co3O4/NiCo2O4 Nanocomposite for Detection of H2O2 and Dopamine. Biosensors 2021, 11, 452. [Google Scholar] [CrossRef]
- Chelly, S.; Chelly, M.; Zribi, R.; Gdoura, R.; Bouaziz-Ketata, H.; Neri, G. Electrochemical Detection of Dopamine and Riboflavine on a Screen-Printed Carbon Electrode Modified by AuNPs Derived from Rhanterium Suaveolens Plant Extract. ACS Omega 2021, 6, 23666–23675. [Google Scholar] [CrossRef]
- Kabtamu, D.M.; Lin, G.-Y.; Chang, Y.-C.; Chen, H.-Y.; Huang, H.-C.; Hsu, N.-Y.; Chou, Y.-S.; Wei, H.-J.; Wang, C.-H. The Effect of Adding Bi3+ on the Performance of a Newly Developed Iron–Copper Redox Flow Battery. RSC Adv. 2018, 8, 8537–8543. [Google Scholar] [CrossRef]











| Samples | Surface Area m2/g | Pore Volume cc/g | Pore Radius Å |
|---|---|---|---|
| Co3O4 | 59.63 | 0.141 | 17.165 |
| X1: 0.1% | 70.20 | 0.157 | 19.567 |
| X2: 0.2% | 91.66 | 0.186 | 16.529 |
| X3: 0.3% | 74.64 | 0.180 | 17.113 |
| X4: 0.4% | 73.85 | 0.128 | 16.493 |
| X5: 0.5% | 84.37 | 0.165 | 16.485 |
| Fe2O3 | 53.90 | 0.102 | 17.304 |
| Material | Raman Mode | Position | Ref |
|---|---|---|---|
| Fe2O3 | A1g | 218 cm−1 | [24,25,26] |
| Eg′ | 288 cm−1, 401 cm−1 and 602 cm−1 | ||
| Co3O4 | F2g1 | 193 cm−1 | [24] |
| F2g2 | 516 cm−1 | ||
| F2g3 | 613 cm−1 | ||
| E2g | 474 cm−1 | [24,27,28] | |
| A1g | 682 cm−1 | ||
| Co3O4:Fe2O3 | A1g | *** | [24,27,29] |
| F2g2 | |||
| Eg′ |
| Sensor | Randles Parameters | |
|---|---|---|
| RCT (Ω) | Rs(Ω) | |
| Bare/SPCE | 5022 | 46 |
| Co3O4/SPCE | 1923 | 109.4 |
| Co3O4:Fe2O3 (0.5 wt%:0.1 wt%)/SPCE | 2926 | 89.3 |
| Co3O4:Fe2O3 (0.5 wt%:0.2 wt%)/SPCE | 2080 | 111 |
| Co3O4:Fe2O3 (0.5 wt%:0.3 wt%)/SPCE | 2050 | 108.9 |
| Co3O4:Fe2O3 (0.5 wt%:0.4 wt%)/SPCE | 1801 | 115.3 |
| Co3O4:Fe2O3 (0.5 wt%:0.5 wt%)/SPCE | 1750 | 114.5 |
| Fe2O3/SPCE | 1423 | 103.9 |
| Sensor | Analyte | LOD (µM) | Sensitivity | Analytical Technique | Ref. |
|---|---|---|---|---|---|
| WS2 NSs-CNFs | DA | 0.01 | 5.36 µM−1cm−2 | DPV | [35] |
| α-Fe2O3 NPs/CC | DA | 0.074–113 | 0.020 µM−1cm−2 | CV | [36] |
| Fe3O4/GO/PG | DA | 0.01 | 5.96 µM−1cm−2 | DPV | [37] |
| Urchin-WO3/SPCE | DA | 0.25 | 55.9 µA/µM−1cm−2 | DPV | [38] |
| Fe3O4/rGO/GCE | DA | 0.12 | 2.733 μA/μM−1 | DPV | [39] |
| SPCE−Fe3O4/SPEEK | DA | 7.1 | 0.005 μA/μM | SWV/CV | [40] |
| Co3O4/NiCo2O4 | DA | 0.24 | − | CV | [41] |
| RS AuNPs/SPCE | DA | 0.2 | 550.4 µA/µM−1cm−2 | LSV | [42] |
| Co3O4:Fe2O3/SPCE | DA | 0.241 | 0.604 µA/µM−1cm−2 | CV | This work |
Disclaimer/Publisher’s Note: The statements, opinions and data contained in all publications are solely those of the individual author(s) and contributor(s) and not of MDPI and/or the editor(s). MDPI and/or the editor(s) disclaim responsibility for any injury to people or property resulting from any ideas, methods, instructions or products referred to in the content. |
© 2023 by the authors. Licensee MDPI, Basel, Switzerland. This article is an open access article distributed under the terms and conditions of the Creative Commons Attribution (CC BY) license (https://creativecommons.org/licenses/by/4.0/).
Share and Cite
Khan, M.; Abid, K.; Ferlazzo, A.; Bressi, V.; Espro, C.; Hussain, M.; Foti, A.; Gucciardi, P.G.; Neri, G. A Sensitive and Selective Non-Enzymatic Dopamine Sensor Based on Nanostructured Co3O4–Fe2O3 Heterojunctions. Chemosensors 2023, 11, 379. https://doi.org/10.3390/chemosensors11070379
Khan M, Abid K, Ferlazzo A, Bressi V, Espro C, Hussain M, Foti A, Gucciardi PG, Neri G. A Sensitive and Selective Non-Enzymatic Dopamine Sensor Based on Nanostructured Co3O4–Fe2O3 Heterojunctions. Chemosensors. 2023; 11(7):379. https://doi.org/10.3390/chemosensors11070379
Chicago/Turabian StyleKhan, Madiha, Khouloud Abid, Angelo Ferlazzo, Viviana Bressi, Claudia Espro, Mozaffar Hussain, Antonino Foti, Pietro Giuseppe Gucciardi, and Giovanni Neri. 2023. "A Sensitive and Selective Non-Enzymatic Dopamine Sensor Based on Nanostructured Co3O4–Fe2O3 Heterojunctions" Chemosensors 11, no. 7: 379. https://doi.org/10.3390/chemosensors11070379
APA StyleKhan, M., Abid, K., Ferlazzo, A., Bressi, V., Espro, C., Hussain, M., Foti, A., Gucciardi, P. G., & Neri, G. (2023). A Sensitive and Selective Non-Enzymatic Dopamine Sensor Based on Nanostructured Co3O4–Fe2O3 Heterojunctions. Chemosensors, 11(7), 379. https://doi.org/10.3390/chemosensors11070379

