Disposable Sensor with Copper-Loaded Carbon Nanospheres for the Simultaneous Determination of Dopamine and Melatonin
Abstract
1. Introduction
2. Materials and Methods
2.1. Reagents and Chemicals
2.2. Synthesis of Cu-CNS
2.3. Fabrication of Voltammetric Sensor
2.4. Characterization and Electrochemical Measurements
2.5. Preparation of Real Samples
2.6. Data Analysis
3. Results and Discussion
3.1. Physicochemical Characterization
3.2. Electrochemical Performance of the Sensors
3.3. Optimization of Solution PH
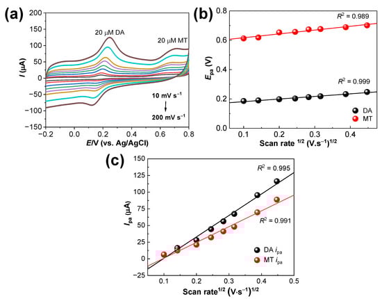
3.4. Effect of Scan Rates on Cu–CNS/SPCE
3.5. DPV Parameters Optimization
3.6. Voltammetric Estimation of DA and MT
3.7. Selectivity
3.8. Possible Mechanism of Target Estimation Using Cu–CNS/SPCE
3.9. Reproducibility and Stability
3.10. Analysis of Real Samples
4. Conclusions
Author Contributions
Funding
Institutional Review Board Statement
Informed Consent Statement
Data Availability Statement
Conflicts of Interest
References
- Srinivasan, V.; Pandi-Perumal, S.R.; Maestroni, G.J.M.; Esquifino, A.I.; Hardeland, R.; Cardinali, D.P. Role of melatonin in neurodegenerative diseases. Neurotox. Res. 2005, 7, 293–318. [Google Scholar] [CrossRef]
- Tonon, A.C.; Pilz, L.K.; Markus, R.P.; Hidalgo, M.P.; Elisabetsky, E. Melatonin and depression: A translational perspective from animal models to clinical studies. Front. Psychiatry 2021, 12, 638981. [Google Scholar] [CrossRef] [PubMed]
- Deng, H.; Zhao, J.; Zhao, S.; Jiang, S.; Cui, G. A graphene-based electrochemical flow analysis device for simultaneous determination of dopamine, 5-hydroxytryptamine, and melatonin. Analyst 2022, 147, 1598–1610. [Google Scholar] [CrossRef]
- Ivandini, T.A.; Einaga, Y. Polycrystalline boron-doped diamond electrodes for electrocatalytic and electrosynthetic applications. Chem. Commun. 2017, 53, 1338–1347. [Google Scholar] [CrossRef]
- Lakard, S.; Pavel, I.-A.; Lakard, B. Electrochemical biosensing of dopamine neurotransmitter: A review. Sensors 2021, 11, 11060179. [Google Scholar] [CrossRef] [PubMed]
- Belujon, P.; Grace, A.A. Dopamine system dysregulation in major depressive disorders. Int. J. Neuropsychopharmacol. 2017, 20, 1036–1046. [Google Scholar] [CrossRef]
- Decarli, N.O.; Zapp, E.; de Souza, B.S.; Santana, E.R.; Winiarski, J.P.; Vieira, I.C. Biosensor based on laccase-halloysite nanotube and imidazolium zwitterionic surfactant for dopamine determination. Biochem. Eng. J. 2022, 186, 108565. [Google Scholar] [CrossRef]
- Cardinali, D.P.; Srinivasan, V.; Brzezinski, A.; Brown, G.M. Melatonin and its analogs in insomnia and depression. J. Pineal Res. 2012, 52, 365–375. [Google Scholar] [CrossRef] [PubMed]
- Yin, B.; Li, T.; Li, Z.; Dang, T.; He, P. Determination of melatonin and its metabolites in biological fluids and eggs using high-performance liquid chromatography with fluorescence and quadrupole-orbitrap high-resolution mass spectrometry. Food Anal. Methods 2015, 9, 1142–1149. [Google Scholar] [CrossRef]
- Bongiorno, D.; Ceraulo, L.; Mele, A.; Panzeri, W.; Selva, A.; Turco Liveri, V. Structural and physicochemical characterization of the inclusion complexes of cyclomaltooligosaccharides (cyclodextrins) with melatonin. Carbohydr. Res. 2002, 337, 743–754. [Google Scholar] [CrossRef]
- Dreux, C. Studies on the biochemistry of the methoxyindoles. Spectrofluorometric determination of N-acetyl-5-methoxytryptamine (melatonin). Clin. Chim. Acta 1969, 23, 177–187. [Google Scholar] [CrossRef]
- Tadayon, F.; Sepehri, Z. A new electrochemical sensor based on a nitrogen-doped graphene/CuCo2O4 nanocomposite for simultaneous determination of dopamine, melatonin and tryptophan. RSC Adv. 2015, 5, 65560–65568. [Google Scholar] [CrossRef]
- Sohouli, E.; Khosrowshahi, E.M.; Radi, P.; Naghian, E.; Rahimi-Nasrabadi, M.; Ahmadi, F. Electrochemical sensor based on modified methylcellulose by graphene oxide and Fe3O4 nanoparticles: Application in the analysis of uric acid content in urine. J. Electroanal. Chem. 2020, 877, 114503. [Google Scholar] [CrossRef]
- Ferapontova, E.E. Electrochemical analysis of dopamine: Perspectives of specific in vivo detection. Electrochim. Acta 2017, 245, 664–671. [Google Scholar] [CrossRef]
- Zhang, J.; Liu, X.; Neri, G.; Pinna, N. Nanostructured materials for room-temperature gas sensors. Adv. Mater. 2016, 28, 795–831. [Google Scholar] [CrossRef]
- Liu, X.; Ma, T.; Pinna, N.; Zhang, J. Two-dimensional nanostructured materials for gas sensing. Adv. Funct. Mater. 2017, 27, 1702168. [Google Scholar] [CrossRef]
- Tan, H.; Ma, C.; Gao, L.; Li, Q.; Song, Y.; Xu, F.; Wang, T.; Wang, L. Metal-organic framework-derived copper nanoparticle@carbon nanocomposites as peroxidase mimics for colorimetric sensing of ascorbic acid. Chemistry 2014, 20, 16377–16383. [Google Scholar] [CrossRef] [PubMed]
- Li, R.; Liang, H.; Zhu, M.; Lai, M.; Wang, S.; Zhang, H.; Ye, H.; Zhu, R.; Zhang, W. Electrochemical dual signal sensing platform for the simultaneous determination of dopamine, uric acid and glucose based on copper and cerium bimetallic carbon nanocomposites. Bioelectrochemistry 2021, 139, 107745. [Google Scholar] [CrossRef]
- Chang, S.-C.; Rawson, K.; McNeil, C.J. Disposable tyrosinase-peroxidase bi-enzyme sensor for amperometric detection of phenols. Biosens. Bioelectron. 2002, 17, 1015–1023. [Google Scholar] [CrossRef] [PubMed]
- Sun, X.; Li, Y. Colloidal carbon spheres and their core/shell structures with noble-metal nanoparticles. Angew. Chem. 2004, 43, 597–601. [Google Scholar] [CrossRef]
- Chen, T.W.; Rajaji, U.; Chen, S.M.; Muthumariyappan, A.; Mogren, M.M.A.; Jothi Ramalingam, R.; Hochlaf, M. Facile synthesis of copper(II) oxide nanospheres covered on functionalized multiwalled carbon nanotubes modified electrode as rapid electrochemical sensing platform for super-sensitive detection of antibiotic. Ultrason. Sonochem. 2019, 58, 104596. [Google Scholar] [CrossRef] [PubMed]
- Rajarathinam, T.; Kwon, M.; Thirumalai, D.; Kim, S.; Lee, S.; Yoon, J.H.; Paik, H.J.; Kim, S.; Lee, J.; Ha, H.K.; et al. Polymer-dispersed reduced graphene oxide nanosheets and Prussian blue modified sensor for amperometric detection of sarcosine. Anal. Chim. Acta 2021, 1175, 338749. [Google Scholar] [CrossRef]
- Apetrei, I.M.; Apetrei, C. Voltammetric determination of melatonin using a graphene-based sensor in pharmaceutical products. Int. J. Nanomed. 2016, 11, 1859–1866. [Google Scholar] [CrossRef]
- Santhan, A.; Hwa, K.-Y. Rational design of nanostructured copper phosphate nanoflakes supported niobium carbide for the selective electrochemical detection of melatonin. ACS Appl. Nano. Mater. 2022, 5, 18256–18269. [Google Scholar] [CrossRef]
- Fu, D.; Liu, H.; Chen, T.; Cheng, Y.; Cao, M.; Liu, J. A bio-analytic nanoplatform based on Au post-functionalized CeFeO3 for the simultaneous determination of melatonin and ascorbic acid through photo-assisted electrochemical technology. Biosens. Bioelectron. 2022, 213, 114457. [Google Scholar] [CrossRef]
- Thirumalai, D.; Lee, S.; Kwon, M.; Paik, H.J.; Lee, J.; Chang, S.C. Disposable voltammetric sensor modified with block copolymer-dispersed graphene for simultaneous determination of dopamine and ascorbic acid in ex vivo mouse brain tissue. Sensors 2021, 11, 11100368. [Google Scholar] [CrossRef]
- Available online: https://pubchem.ncbi.nlm.nih.gov/compound/Melatonin (accessed on 12 April 2023).
- Zafra-Roldán, A.; Corona-Avendaño, S.; Montes-Sánchez, R.; Palomar-Pardavé, M.; Romero-Romo, M.; Ramírez-Silva, M.T. New insights on the spectrophotometric determination of melatonin pKa values and melatonin-βCD inclusion complex formation constant. Spectrochim. Acta 2018, 190, 442–449. [Google Scholar] [CrossRef] [PubMed]
- Hayat, K.; Munawar, A.; Zulfiqar, A.; Akhtar, M.H.; Ahmad, H.B.; Shafiq, Z.; Akram, M.; Saleemi, A.S.; Akhtar, N. CuO Hollow Cubic Caves Wrapped with Biogenic N-Rich Graphitic C for Simultaneous Monitoring of Uric Acid and Xanthine. ACS Appl. Mater. Interfaces 2020, 12, 47320–47329. [Google Scholar] [CrossRef] [PubMed]
- Rajarathinam, T.; Thirumalai, D.; Kwon, M.; Lee, S.; Jayaraman, S.; Paik, H.J.; Lee, J.; Chang, S.-C. Screen-printed carbon electrode modified with de-bundled single-walled carbon nanotubes for voltammetric determination of norepinephrine in ex vivo rat tissue. Bioelectrochemistry 2022, 146, 108155. [Google Scholar] [CrossRef]
- Kachoosangi, R.T.; Wildgoose, G.G.; Compton, R.G. Sensitive adsorptive stripping voltammetric determination of paracetamol at multiwalled carbon nanotube modified basal plane pyrolytic graphite electrode. Anal. Chim. Acta 2008, 1, 54–60. [Google Scholar] [CrossRef]
- Zeinali, H.; Bagheri, H.; Monsef-Khoshhesab, Z.; Khoshsafar, H.; Hajian, A. Nanomolar simultaneous determination of tryptophan and melatonin by a new ionic liquid carbon paste electrode modified with SnO2-Co3O4@rGO nanocomposite. Mater. Sci. Eng. C Mater. Biol. Appl. 2017, 71, 386–394. [Google Scholar] [CrossRef]
- Mei, X.; Wei, Q.; Long, H.; Yu, Z.; Deng, Z.; Meng, L.; Wang, J.; Luo, J.; Lin, C.-T.; Ma, L.; et al. Long-term stability of Au nanoparticle-anchored porous boron-doped diamond hybrid electrode for enhanced dopamine detection. Electrochim. Acta 2018, 271, 84–91. [Google Scholar] [CrossRef]
- Selvam, S.P.; Hansa, M.; Yun, K. Simultaneous differential pulse voltammetric detection of uric acid and melatonin based on a self-assembled Au nanoparticle–MoS2 nanoflake sensing platform. Sens. Actuators B Chem. 2020, 307, 127683. [Google Scholar] [CrossRef]
- Soltani, N.; Tavakkoli, N.; Shahdost-Fard, F.; Salavati, H.; Abdoli, F. A carbon paste electrode modified with Al2O3-supported palladium nanoparticles for simultaneous voltammetric determination of melatonin, dopamine, and acetaminophen. Microchim. Acta 2019, 186, 540. [Google Scholar] [CrossRef]
- Gomez, F.J.V.; Martín, A.; Silva, M.F.; Escarpa, A. Screen-printed electrodes modified with carbon nanotubes or graphene for simultaneous determination of melatonin and serotonin. Microchim. Acta 2015, 182, 1925–1931. [Google Scholar] [CrossRef]
- Lawal, A.T. Synthesis and utilisation of graphene for fabrication of electrochemical sensors. Talanta 2015, 131, 424–443. [Google Scholar] [CrossRef] [PubMed]
- Li, X.-B.; Rahman, M.M.; Xu, G.-R.; Lee, J.-J. Highly sensitive and selective detection of dopamine at Poly(chromotrope 2B)-modified glassy carbon electrode in the presence of uric acid and ascorbic acid. Electrochim. Acta 2015, 173, 440–447. [Google Scholar] [CrossRef]
- Brondani, D.; Scheeren, C.W.; Dupont, J.; Vieira, I.C. Biosensor based on platinum nanoparticles dispersed in ionic liquid and laccase for determination of adrenaline. Sens. Actuators B Chem. 2009, 1, 252–259. [Google Scholar] [CrossRef]
- Seifati, S.M.; Nasirizadeh, N.; Azimzadeh, M. Nano-biosensor based on reduced graphene oxide and gold nanoparticles, for detection of phenylketonuria-associated DNA mutation. IET Nanobiotechnol. 2018, 12, 417–422. [Google Scholar] [CrossRef]














| Electrochemical Sensor | Electrochemical Technique | Linear Range (µM) | LOD (µM) | Real Samples | Reference | ||
|---|---|---|---|---|---|---|---|
| DA | MT | DA | MT | ||||
| Au/pBDD | DPV | 0.1–1000 | - | 0.06 | - | - | [33] |
| Au-MoS2/GCE | DPV and Amperometry | - | 0.033–10.0 | - | 0.0157 | Human urine | [34] |
| PdNP/Al2O3/CPE | DPV | 0.05–1450 | 0.006–1400 | 0.0365 | 0.0216 | Human serum and drug formulations | [35] |
| Ionic liquid/SnO2/Co3O4/ rGO | CV and DPV | - | 0.02–6.00 | - | 0.0032 | Human serum, urine, and drug formulations | [32] |
| 18-BDD/Ta | DPV and Amperometry | 0.40–600 | 0.40–600 | 0.1 | 0.003 | Human serum | [4] |
| CNTs and graphene based SPCE | DPV | - | 0.005–3000 | - | 1.1 | Human serum and urine | [36] |
| CDE | CV | - | 0.0025–1100 | - | 1.3 | Human serum and urine | [24] |
| Graphene/SPCE | Amperometry and CV | - | 0.05–50 | - | 0.87 | Drug formulations | [23] |
| Graphene/Fe3O4/CPE | Square wave voltammetry | 0.02–5.80 | 0.02–5.80 | 0.0084 | 0.0065 | Human serum, urine, and drug formulations | [37] |
| Wrinkled rGO/SPCE | CV and Linear sweep voltammetry | 0.10–300 | - | 0.134 | - | Mouse brain tissue | [26] |
| Cu–CNS/SPCE | DPV | 0.125–2020.0–100 | 1.0–100 | 0.34 | 0.33 | Human serum | This work |
| Samples | Added (µM) | Found (µM) | Recovery (%) | RSD (%) |
|---|---|---|---|---|
| DA | - | 0.109 ± 1.0 | - | 1.1 |
| 5.0 | 4.865± 2.6 | 95.2 | 2.9 | |
| 10.0 | 9.642 ± 2.7 | 95.4 | 2.1 | |
| 20.0 | 20.701± 3.4 | 102.9 | 3.7 | |
| MT | - | 0.1196± 1.3 | - | 1.3 |
| 10.0 | 10.056 ± 1.8 | 99.4 | 3.3 | |
| 20.0 | 19.654 ± 2.5 | 97.7 | 2.5 | |
| 40.0 | 38.536 ± 2.0 | 96.1 | 1.7 |
Disclaimer/Publisher’s Note: The statements, opinions and data contained in all publications are solely those of the individual author(s) and contributor(s) and not of MDPI and/or the editor(s). MDPI and/or the editor(s) disclaim responsibility for any injury to people or property resulting from any ideas, methods, instructions or products referred to in the content. |
© 2023 by the authors. Licensee MDPI, Basel, Switzerland. This article is an open access article distributed under the terms and conditions of the Creative Commons Attribution (CC BY) license (https://creativecommons.org/licenses/by/4.0/).
Share and Cite
Jayaraman, S.; Rajarathinam, T.; Chang, S.-C. Disposable Sensor with Copper-Loaded Carbon Nanospheres for the Simultaneous Determination of Dopamine and Melatonin. Chemosensors 2023, 11, 254. https://doi.org/10.3390/chemosensors11040254
Jayaraman S, Rajarathinam T, Chang S-C. Disposable Sensor with Copper-Loaded Carbon Nanospheres for the Simultaneous Determination of Dopamine and Melatonin. Chemosensors. 2023; 11(4):254. https://doi.org/10.3390/chemosensors11040254
Chicago/Turabian StyleJayaraman, Sivaguru, Thenmozhi Rajarathinam, and Seung-Cheol Chang. 2023. "Disposable Sensor with Copper-Loaded Carbon Nanospheres for the Simultaneous Determination of Dopamine and Melatonin" Chemosensors 11, no. 4: 254. https://doi.org/10.3390/chemosensors11040254
APA StyleJayaraman, S., Rajarathinam, T., & Chang, S.-C. (2023). Disposable Sensor with Copper-Loaded Carbon Nanospheres for the Simultaneous Determination of Dopamine and Melatonin. Chemosensors, 11(4), 254. https://doi.org/10.3390/chemosensors11040254

