MoS2@Au as Label for Sensitive Sandwich-Type Immunoassay of Neuron-Specific Enolase
Abstract
1. Introduction
2. Materials and Methods
2.1. Apparatus and Reagents
2.2. Synthesis of MoS2 and MoS2@Au Nanozyme
2.3. Fabrication of the Immunosensor
2.4. The Detection of NSE
3. Results and Discussion
3.1. Characterization of MoS2 and MoS2@Au Nanozyme
3.2. Optimization of Experimental Conditions
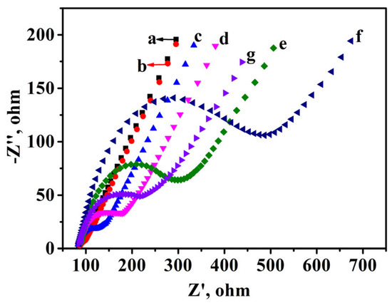
3.3. Characterization of the Immunosensor
3.4. Reproducibility, Selectivity and Stability
3.5. Detection of NSE in Serum Samples
4. Conclusions
Supplementary Materials
Author Contributions
Funding
Institutional Review Board Statement
Informed Consent Statement
Data Availability Statement
Conflicts of Interest
References
- Blandin Knight, S.; Crosbie, P.A.; Balata, H.; Chudziak, J.; Hussell, T.; Dive, C. Progress and prospects of early detection in lung cancer. Open Biol. 2017, 7, 170070. [Google Scholar] [CrossRef] [PubMed]
- Du, J.; Li, Y.; Wang, L.; Zhou, Y.; Shen, Y.; Xu, F.; Chen, Y. Selective application of neuroendocrine markers in the diagnosis and treatment of small cell lung cancer. Clin. Chim. Acta 2020, 509, 295–303. [Google Scholar] [CrossRef]
- Sutherland, K.D.; Proost, N.; Brouns, I.; Adriaensen, D.; Song, J.; Berns, A. Cell of origin of small cell lung cancer: Inactivation of Trp53 and Rb1 in distinct cell types of adult mouse lung. Cancer Cell 2011, 19, 754–764. [Google Scholar] [CrossRef] [PubMed]
- Gazdar, A.F.; Bunn, P.A.; Minna, J.D. Small-cell lung cancer: What we know, what we need to know and the path forward. Nat. Rev. Cancer 2017, 17, 725–737. [Google Scholar] [CrossRef]
- Huang, X.; Miao, J.; Fang, J.; Xu, X.; Wei, Q.; Cao, W. Ratiometric electrochemical immunosensor based on L-cysteine grafted ferrocene for detection of neuron specific enolase. Talanta 2022, 239, 123075. [Google Scholar] [CrossRef] [PubMed]
- Marangos, P.J.; Schmechel, D.E. Neuron specific enolase, a clinically useful marker for neurons and neuroendocrine cells. Ann. Rev. Neurosci. 1987, 10, 269–295. [Google Scholar] [CrossRef]
- Ma, E.; Wang, P.; Yang, Q.; Yu, H.; Pei, F.; Zheng, Y.; Liu, Q.; Dong, Y.; Li, Y. Electrochemical immunosensors for sensitive detection of neuron-specific enolase based on small-size trimetallic Au@Pd^Pt nanocubes functionalized on ultrathin MnO2 nanosheets as signal labels. ACS Biomater. Sci. Eng. 2020, 6, 1418–1427. [Google Scholar] [CrossRef]
- Dong, H.; Liu, S.; Liu, Q.; Li, Y.; Li, Y.; Zhao, Z. A dual-signal output electrochemical immunosensor based on Au-MoS2/MOF catalytic cycle amplification strategy for neuron-specific enolase ultrasensitive detection. Biosens. Bioelectron. 2022, 195, 113648. [Google Scholar] [CrossRef]
- Yu, X.; Li, X.; Zhang, S.; Jia, Y.; Xu, Z.; Li, X.; Chen, Z.; Li, Y. Ultrasensitive electrochemical detection of neuron-specific enolase based on spiny core-shell Au/CuxO@CeO2 nanocubes. Bioelectrochemistry 2021, 138, 107693. [Google Scholar] [CrossRef]
- Lin, Y.; Kannan, P.; Zeng, Y.; Qiu, B.; Guo, L.; Lin, Z. Enzyme-free multicolor biosensor based on Cu2+-modified carbon nitride nanosheets and gold nanobipyramids for sensitive detection of neuron specific enolase. Sensor. Actuat. B-Chem. 2019, 283, 138–145. [Google Scholar] [CrossRef]
- Kalkal, A.; Kadian, S.; Kumar, S.; Manik, G.; Sen, P.; Kumar, S.; Packirisamy, G. Ti3C2-MXene decorated with nanostructured silver as a dual-energy acceptor for the fluorometric neuron specific enolase detection. Biosens. Bioelectron. 2022, 195, 113620. [Google Scholar] [CrossRef]
- McKitterick, N.; Bicak, T.C.; Cormack, P.A.G.; Reubsaet, L.; Halvorsen, T.G. Facilitating serum determination of neuron specific enolase at clinically relevant levels by coupling on-line molecularly imprinted solid-phase extraction to LC-MS/MS. Anal. Chim. Acta 2020, 1140, 210–218. [Google Scholar] [CrossRef]
- Gao, X.; Zheng, P.; Kasani, S.; Wu, S.; Yang, F.; Lewis, S.; Nayeem, S.; Engler-Chiurazzi, E.B.; Wigginton, J.G.; Simpkins, J.W.; et al. Paper-based surface-enhanced raman scattering lateral flow strip for detection of neuron-specific enolase in blood plasma. Anal. Chem. 2017, 89, 10104–10110. [Google Scholar] [CrossRef] [PubMed]
- Xiao, K.; Wang, K.; Qin, W.; Hou, Y.; Lu, W.; Xu, H.; Wo, Y.; Cui, D. Use of quantum dot beads-labeled monoclonal antibody to improve the sensitivity of a quantitative and simultaneous immunochromatographic assay for neuron specific enolase and carcinoembryonic antigen. Talanta 2017, 164, 463–469. [Google Scholar] [CrossRef]
- Xu, R.; Xu, K.; Du, Y.; Li, J.; Ren, X.; Ma, H.; Wu, D.; Li, Y.; Wei, Q. Dual direct z-scheme heterojunction with growing photoactive property for sensitive photoelectrochemical and colorimetric bioanalysis. Anal. Chem. 2022, 94, 9888–9893. [Google Scholar] [CrossRef]
- Khatri, R.; Puri, N.K. Electrochemical biosensor utilizing dual-mode output for detection of lung cancer biomarker based on reduced graphene oxide-modified reduced-molybdenum disulfide multi-layered nanosheets. J. Mater. Res. 2022, 37, 1451–1463. [Google Scholar] [CrossRef]
- Zheng, X.; Mo, G.; He, Y.; Qin, D.; Jiang, X.; Mo, W.; Deng, B. Electrochemiluminescent immunoassay for neuron specific enolase by using amino-modified reduced graphene oxide loaded with N-doped carbon quantum dots. Microchim. Acta 2019, 186, 817. [Google Scholar] [CrossRef]
- Tang, C.; Wang, P.; Zhou, K.; Ren, J.; Wang, S.; Tang, F.; Li, Y.; Liu, Q.; Xue, L. Electrochemical immunosensor based on hollow porous Pt skin AgPt alloy/NGR as a dual signal amplification strategy for sensitive detection of neuron-specific enolase. Biosens. Bioelectron. 2022, 197, 113779. [Google Scholar] [CrossRef] [PubMed]
- Amani, J.; Maleki, M.; Khoshroo, A.; Sobhani-Nasab, A.; Rahimi-Nasrabadi, M. An electrochemical immunosensor based on poly p-phenylenediamine and graphene nanocomposite for detection of neuron-specific enolase via electrochemically amplified detection. Anal. Biochem. 2018, 548, 53–59. [Google Scholar] [CrossRef] [PubMed]
- Zhang, C.; Ma, Z. PtCu nanoprobe-initiated cascade reaction modulated iodide-responsive sensing interface for improved electrochemical immunosensor of neuron-specific enolase. Biosens. Bioelectron. 2019, 143, 111612. [Google Scholar] [CrossRef]
- Yu, T.; Cheng, W.; Li, Q.; Luo, C.; Yan, L.; Zhang, D.; Yin, Y.; Ding, S.; Ju, H. Electrochemical immunosensor for competitive detection of neuron specific enolase using functional carbon nanotubes and gold nanoprobe. Talanta 2012, 93, 433–438. [Google Scholar] [CrossRef] [PubMed]
- Wang, Z.; Zhang, Y.; Wang, X.; Han, L. Flow-homogeneous electrochemical sensing system based on 2D metal-organic framework nanozyme for successive microRNA assay. Biosens. Bioelectron. 2022, 206, 114120. [Google Scholar] [CrossRef]
- Han, L.; Zhang, H.; Li, F. Bioinspired nanozymes with pH-independent and metal ions-controllable activity: Field-programmable logic conversion of sole logic gate system. Part. Part. Syst. Char. 2018, 35, 1800207. [Google Scholar] [CrossRef]
- Gai, P.; Pu, L.; Wang, C.; Zhu, D.; Li, F. CeO2@NC nanozyme with robust dephosphorylation ability of phosphotriester: A simple colorimetric assay for rapid and selective detection of paraoxon. Biosens. Bioelectron. 2023, 220, 114841. [Google Scholar] [CrossRef] [PubMed]
- Zhu, D.; Zhang, M.; Wang, C.; Gai, P.; Li, F. Metal-free carbon nanozyme as nicotinamide adenine dinucleotide oxidase mimic over a broad pH range for coenzyme regeneration. Chem. Mater. 2022, 34, 11072–11080. [Google Scholar] [CrossRef]
- Zhou, X.; Wang, M.; Chen, J.; Su, X. Cascade reaction biosensor based on Cu/N co-doped two-dimensional carbon-based nanozyme for the detection of lactose and beta-galactosidase. Talanta 2022, 245, 123451. [Google Scholar] [CrossRef]
- Wang, K.; Wu, C.; Wang, F.; Liao, M.; Jiang, G. Bimetallic nanoparticles decorated hollow nanoporous carbon framework as nanozyme biosensor for highly sensitive electrochemical sensing of uric acid. Biosens. Bioelectron. 2020, 150, 111869. [Google Scholar] [CrossRef] [PubMed]
- Yang, Q.Y.; Wan, C.Q.; Wang, Y.X.; Shen, X.F.; Pang, Y.H. Bismuth-based metal-organic framework peroxidase-mimic nanozyme: Preparation and mechanism for colorimetric-converted ultra-trace electrochemical sensing of chromium ion. J. Hazard. Mater. 2023, 451, 131148. [Google Scholar] [CrossRef]
- Bi, X.; Bai, Q.; Wang, L.; Du, F.; Liu, M.; Yu, W.W.; Li, S.; Li, J.; Zhu, Z.; Sui, N.; et al. Boron doped graphdiyne: A metal-free peroxidase mimetic nanozyme for antibacterial application. Nano Res. 2021, 15, 1446–1454. [Google Scholar] [CrossRef]
- Wang, T.; Bai, Q.; Zhu, Z.; Xiao, H.; Jiang, F.; Du, F.; Yu, W.W.; Liu, M.; Sui, N. Graphdiyne-supported palladium-iron nanosheets: A dual-functional peroxidase mimetic nanozyme for glutathione detection and antibacterial application. Chem. Eng. J. 2021, 413, 127537. [Google Scholar] [CrossRef]
- Zu, Y.; Yao, H.; Wang, Y.; Yan, L.; Gu, Z.; Chen, C.; Gao, L.; Yin, W. The age of bioinspired molybdenum-involved nanozymes: Synthesis, catalytic mechanisms, and biomedical applications. View 2021, 2, 20200188. [Google Scholar] [CrossRef]
- Chen, Y.; Zhang, G.; Ji, Q.; Liu, H.; Qu, J. Triggering of low-valence molybdenum in multiphasic MoS2 for effective reactive oxygen species output in catalytic fenton-like reactions. ACS Appl. Mater. Inter. 2019, 11, 26781–26788. [Google Scholar] [CrossRef]
- Lv, Q.; Chen, L.; Liu, H.; Zou, L. Peony-like 3D-MoS2/graphene nanostructures with enhanced mimic peroxidase performance for colorimetric determination of dopamine. Talanta 2022, 247, 123553. [Google Scholar] [CrossRef] [PubMed]
- Yu, Y.; Lu, L.; Yang, Q.; Zupanic, A.; Xu, Q.; Jiang, L. Using MoS2 nanomaterials to generate or remove reactive oxygen species: A review. ACS Appl. Nano Mater. 2021, 4, 7523–7537. [Google Scholar] [CrossRef]
- Chen, T.; Zou, H.; Wu, X.; Liu, C.; Situ, B.; Zheng, L.; Yang, G. Nanozymatic antioxidant system based on MoS2 nanosheets. ACS Appl. Mater. Inter. 2018, 10, 12453–12462. [Google Scholar] [CrossRef]
- Guo, X.; Wang, Y.; Wu, F.; Ni, Y.; Kokot, S. A colorimetric method of analysis for trace amounts of hydrogen peroxide with the use of the nano-properties of molybdenum disulfide. Analyst 2015, 140, 1119–1126. [Google Scholar] [CrossRef]
- Hwang, J.H.; Islam, M.A.; Choi, H.; Ko, T.J.; Rodriguez, K.L.; Chung, H.S.; Jung, Y.; Lee, W.H. Improving electrochemical Pb2+ detection using a vertically aligned 2D MoS2 nanofilm. Anal. Chem. 2019, 91, 11770–11777. [Google Scholar] [CrossRef]
- Wang, J.; Sui, L.; Huang, J.; Miao, L.; Nie, Y.; Wang, K.; Yang, Z.; Huang, Q.; Gong, X.; Nan, Y.; et al. MoS2-based nanocomposites for cancer diagnosis and therapy. Bioact. Mater. 2021, 6, 4209–4242. [Google Scholar] [CrossRef] [PubMed]
- Sethulekshmi, A.S.; Saritha, A.; Joseph, K.; Aprem, A.S.; Sisupal, S.B. MoS2 based nanomaterials: Advanced antibacterial agents for future. J. Control. Release 2022, 348, 158–185. [Google Scholar] [CrossRef]
- Ma, Y.; Deng, M.; Wang, X.; Gao, X.; Song, H.; Zhu, Y.; Feng, L.; Zhang, Y. 2H-MoS2/Co3O4 nanohybrid with type I nitroreductase-mimicking activity for the electrochemical assays of nitroaromatic compounds. Anal. Chim. Acta 2022, 1221, 340078. [Google Scholar] [CrossRef]
- Zhang, J.; Zhang, X.; Gao, Y.; Yan, J.; Song, W. Integrating CuO/g-C3N4 p-n heterojunctioned photocathode with MoS2 QDs@Cu NWs multifunctional signal amplifier for ultrasensitive detection of AβO. Biosens. Bioelectron. 2021, 176, 112945. [Google Scholar] [CrossRef]
- Feng, L.; Zhang, L.; Gong, Y.; Du, Z.; Chen, X.; Qi, X.; Zhang, X.; Mao, G.; Wang, H. Hollow C@MoS2 nanotubes with Hg2+-triggered oxidase-like catalysis: A colorimetric method for detection of Hg2+ ions in wastewater. Sens. Actuat. B-Chem. 2022, 361, 131725. [Google Scholar] [CrossRef]
- Zhang, X.; Zhang, S.; Yang, Z.; Wang, Z.; Tian, X.; Zhou, R. Self-cascade MoS2 nanozymes for efficient intracellular antioxidation and hepatic fibrosis therapy. Nanoscale 2021, 13, 12613–12622. [Google Scholar] [CrossRef] [PubMed]
- Li, Y.; Fu, R.; Duan, Z.; Zhu, C.; Fan, D. Adaptive hydrogels based on nanozyme with dual-enhanced triple enzyme-like activities for wound disinfection and mimicking antioxidant defense system. Adv. Healthc. Mater. 2022, 11, 2101849. [Google Scholar] [CrossRef] [PubMed]
- Wei, F.; Cui, X.; Wang, Z.; Dong, C.; Li, J.; Han, X. Recoverable peroxidase-like Fe3O4@MoS2-Ag nanozyme with enhanced antibacterial ability. Chem. Eng. J. 2021, 408, 127240. [Google Scholar] [CrossRef]
- Chang, M.; Hou, Z.; Wang, M.; Wang, M.; Dang, P.; Liu, J.; Shu, M.; Ding, B.; Al Kheraif, A.A.; Li, C.; et al. Cu2MoS4/Au heterostructures with enhanced catalase-like activity and photoconversion efficiency for primary/metastatic tumors eradication by phototherapy-induced immunotherapy. Small 2020, 16, 1907146. [Google Scholar] [CrossRef] [PubMed]
- Hoshyargar, F.; Yella, A.; Panthöfer, M.; Tremel, W. Diffusion-driven formation of MoS2 nanotube bundles containing MoS2 nanopods. Chem. Mater. 2011, 23, 4716–4720. [Google Scholar] [CrossRef]
- Hu, L.; Ren, Y.; Yang, H.; Xu, Q. Fabrication of 3D hierarchical MoS2/polyaniline and MoS2/C architectures for lithium-ion battery applications. ACS Appl. Mater. Inter. 2014, 6, 14644–14652. [Google Scholar] [CrossRef]
- Sheng, M.; Bin, X.; Yang, Y.; Tang, Y.; Que, W. Defect engineering-driven phase structure design of 2H@1T MoS2 for electrochemical hydrogen evolution reaction. Mater. Lett. 2022, 311, 131624. [Google Scholar] [CrossRef]
- Cui, M.; Wang, Y.; Wang, H.; Wu, Y.; Luo, X. A label-free electrochemical DNA biosensor for breast cancer marker BRCA1 based on self-assembled antifouling peptide monolayer. Sens. Actuat. B-Chem. 2017, 244, 742–749. [Google Scholar] [CrossRef]
- Wang, Y.; Li, Y.; Ma, H.; Guo, A.; Du, B.; Yan, T.; Wei, Q. An ultrasensitive electrochemical immunosensor for the detection of CD146 based on TiO2 colloidal sphere laden Au/Pd nanoparticles. Analyst 2015, 140, 3557–3564. [Google Scholar] [CrossRef] [PubMed]
- Fassel, V. Nomenclature, symbols, units, and their usage in spectrochemical analysis—II. Data interpretation. Spectrochim. Acta B 1978, 33, 241–245. [Google Scholar]
- Xing, Z.; Zhang, S.; Wang, H.; Ma, H.; Wu, D.; Fan, D.; Ren, X.; Wei, Q.; Ju, H. Addressable label-free photoelectric sensor array with self-calibration for detection of neuron specific enolase. Anal. Chem. 2022, 94, 6996–7003. [Google Scholar] [CrossRef] [PubMed]
- Wang, B.; Liang, T.; Li, J.; Yu, H.; Chu, X. Fabrication of immunosensor based on au-silica nanocomposite for neuron-specific enolase detection. Int. J. Electrochem. Sci. 2017, 7607–7615. [Google Scholar] [CrossRef]
- Liu, R.; Wang, Y.; Wong, W.; Li, H.; Li, C. Photoelectrochemical immunoassay platform based on MoS2 nanosheets integrated with gold nanostars for neuron-specific enolase assay. Microchim. Acta 2020, 187, 480. [Google Scholar] [CrossRef] [PubMed]
- Zhi, L.; Sun, A.; Tang, D. In situ amplified photothermal immunoassay for neuron-specific enolase with enhanced sensitivity using prussian blue nanoparticle-loaded liposomes. Analyst 2020, 145, 4164–4172. [Google Scholar] [CrossRef]





| Method | Technique | Type | Sample | Linear Range (ng·mL−1) | LOD (pg·mL−1) | Selectivity | Ref. |
|---|---|---|---|---|---|---|---|
| Photoelectric immunosensor based on TiO2/CdS | Photoelectric analysis | Label-free immunosensor | NSE | 0.01–100 | 2.49 | PSA, CEA, cTnI | [53] |
| Fluorescent method based on immunochromatographic test strip and quantum dot beads | Fluorescence analysis | Sandwich-type immunosensor | NSE | 5–50 | 42.6 | PSA, CA72-4, AFP | [14] |
| Electrochemical immunosensor based on Au-silica nanocomposite | Electrochemical analysis | Label-free immunosensor | NSE | 0.1–2000 | 50.0 | —— | [54] |
| Photoelectrochemical immunosensor based on MoS2 nanosheets integrated with gold nanostars | Photoelectrochemical analysis | Label-free immunosensor | NSE | 0.005–1.5 | 3.50 | AFP, CEA, PSA, LAD, GST | [55] |
| Photothermal immunoassay based on prussian blue nanoparticles-loaded liposomes | Photothermal analysis | Sandwich-type immunosensor | NSE | 0.1–100 | 53.0 | L-Cys, Gly, Glc, HSA, collagen, IgG | [56] |
| Electrochemical immunoassay based on MoS2@Au nanozyme. | Electrochemical analysis | Sandwich-type immunosensor | NSE | 0.0001–10 | 0.05 | CEA, BSA cyfra21-1 | This paper |
| Concentration of NSE in Serum Sample (ng·mL−1) | The Addition Content (ng·mL−1) | The Detection Content (ng·mL−1) | RSD (%) | Recovery (%) |
|---|---|---|---|---|
| 0.51 | 0.50 2.00 8.00 | 0.97, 0.96, 1.00, 1.02, 1.04 2.52, 2.46, 2.53, 2.55, 2.48 8.55, 8.35, 8.47, 8.22, 8.53 | 3.35 1.48 1.64 | 97.6 99.9 98.9 |
Disclaimer/Publisher’s Note: The statements, opinions and data contained in all publications are solely those of the individual author(s) and contributor(s) and not of MDPI and/or the editor(s). MDPI and/or the editor(s) disclaim responsibility for any injury to people or property resulting from any ideas, methods, instructions or products referred to in the content. |
© 2023 by the authors. Licensee MDPI, Basel, Switzerland. This article is an open access article distributed under the terms and conditions of the Creative Commons Attribution (CC BY) license (https://creativecommons.org/licenses/by/4.0/).
Share and Cite
Wang, Y.; Wang, H.; Bai, Y.; Zhao, G.; Zhang, N.; Zhang, Y.; Wang, Y.; Chi, H. MoS2@Au as Label for Sensitive Sandwich-Type Immunoassay of Neuron-Specific Enolase. Chemosensors 2023, 11, 349. https://doi.org/10.3390/chemosensors11060349
Wang Y, Wang H, Bai Y, Zhao G, Zhang N, Zhang Y, Wang Y, Chi H. MoS2@Au as Label for Sensitive Sandwich-Type Immunoassay of Neuron-Specific Enolase. Chemosensors. 2023; 11(6):349. https://doi.org/10.3390/chemosensors11060349
Chicago/Turabian StyleWang, Yingying, Huixin Wang, Yaliang Bai, Guanhui Zhao, Nuo Zhang, Yong Zhang, Yaoguang Wang, and Hong Chi. 2023. "MoS2@Au as Label for Sensitive Sandwich-Type Immunoassay of Neuron-Specific Enolase" Chemosensors 11, no. 6: 349. https://doi.org/10.3390/chemosensors11060349
APA StyleWang, Y., Wang, H., Bai, Y., Zhao, G., Zhang, N., Zhang, Y., Wang, Y., & Chi, H. (2023). MoS2@Au as Label for Sensitive Sandwich-Type Immunoassay of Neuron-Specific Enolase. Chemosensors, 11(6), 349. https://doi.org/10.3390/chemosensors11060349

