Application of an Electronic Nose Technology for the Prediction of Chemical Process Contaminants in Roasted Almonds
Abstract
1. Introduction
2. Materials and Methods
2.1. Reagents and Chemicals
2.2. Samples and Roasting Treatments
2.3. Analysis
2.3.1. Sensory Analysis
2.3.2. LC-ESI-MS/MS Determination of Acrylamide
2.3.3. HPLC Determination of Hydroxymethylfurfural and Furfural
2.3.4. E-Nose Analysis
2.4. Chemometric Analysis
2.5. Statistical Analysis
3. Results and Discussion
3.1. Sensory Analysis
3.2. Effect of Thermal Treatments on Chemical Process Contaminant Content in Roasted Almonds
3.3. Discrimination of Roasted Almonds by Using E-Nose
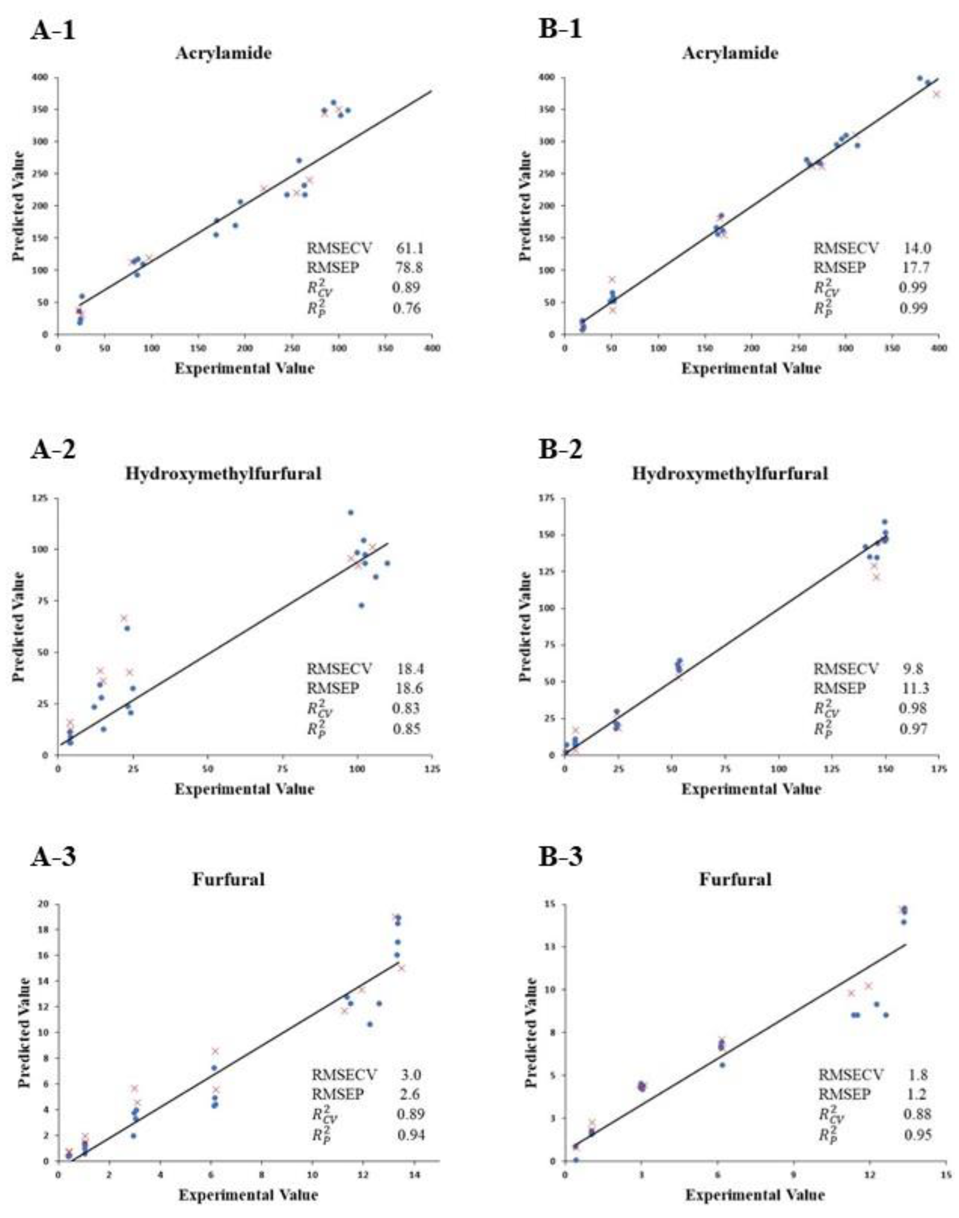
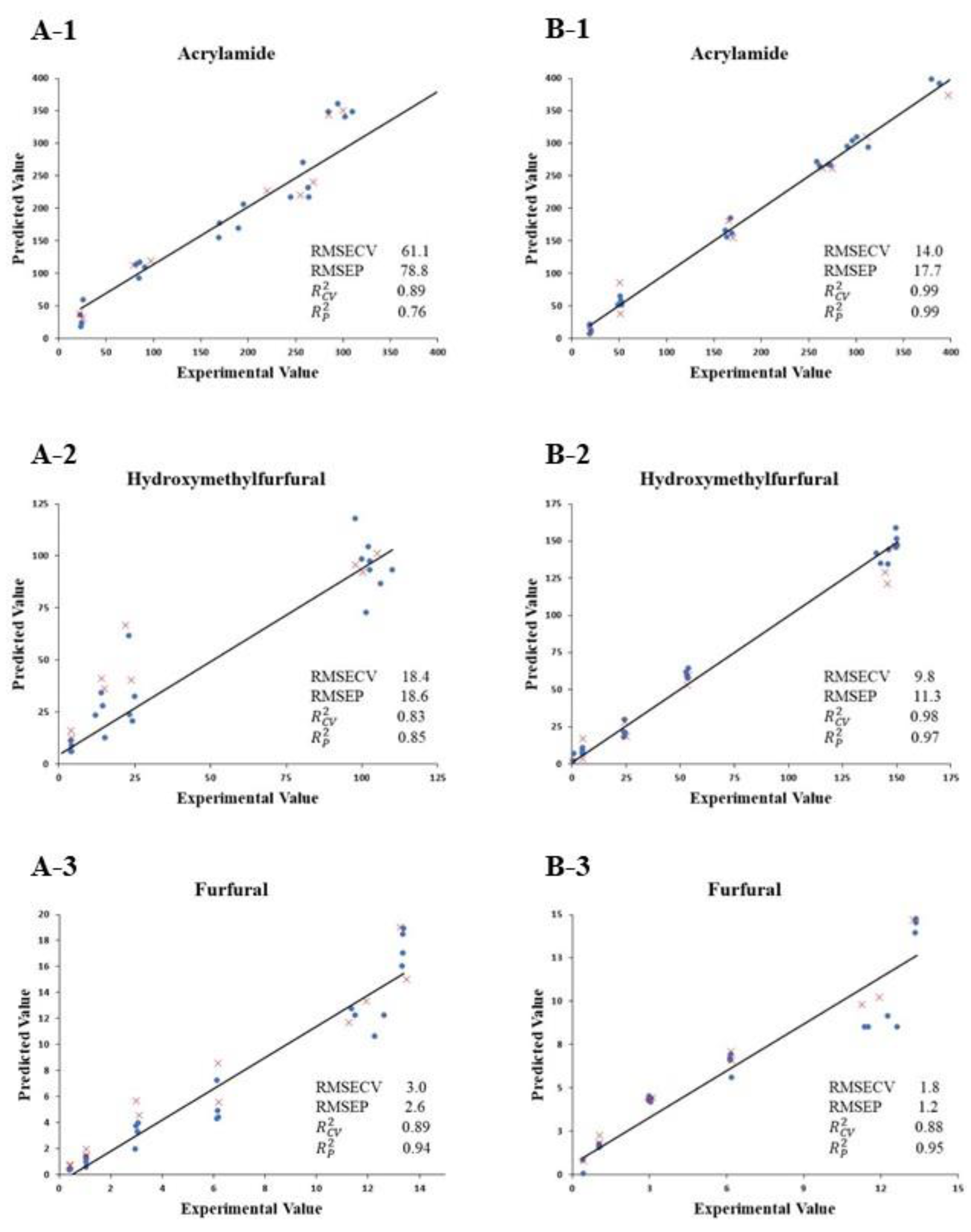
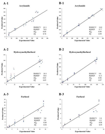
3.4. Prediction of the Presence of Chemical Process Contaminants in Roasted Almonds by E-Nose
4. Conclusions
Author Contributions
Funding
Institutional Review Board Statement
Informed Consent Statement
Data Availability Statement
Conflicts of Interest
References
- Starowicz, M.; Zielińsk, H. How Maillard Reaction Influences Sensorial Properties (Color, Flavor and Texture) of Food Products? Food Rev. Int. 2019, 35, 707–725. [Google Scholar] [CrossRef]
- Nooshkama, M.; Varidia, M.; Vermac, D.K. Functional and biological properties of Maillard conjugates and their potential application in medical and food: A review. Food Res. Int. 2020, 131, 109003. [Google Scholar] [CrossRef]
- Stadler, R.H.; Blank, I.; Varga, N.; Robert, F.; Hau, J.; Guy, P.A.; Robert, M.C.; Riediker, S. Acrylamide from Maillard reaction products. Nature 2002, 419, 449–450. [Google Scholar] [CrossRef] [PubMed]
- Morales, F.J. Hydroxymethylfurfural (HMF) and related compounds. In Process-Induced Food Toxicants: Occurrence, Formation, Mitigation and Health Risks; Stadler, R.H., Lineback, D.R., Eds.; John Wiley & Sons, Inc., Publications: Hoboken, NJ, USA, 2009; pp. 135–174. [Google Scholar]
- IARC (International Agency for Research on Cancer). Some industrial chemicals. In IARC Monographs on the Evaluation for Carcinogenic Risk of Chemicals to Humans; IARC: Lyon, France, 1994; Volume 60, pp. 435–453. [Google Scholar]
- EFSA (European Food Safety Agency). Scientific Opinion on acrylamide in food. EFSA J. 2015, 13, 4104. [Google Scholar]
- Ames, J.M. The Maillard reaction. In Biochemistry of Food Proteins; Hudson, B.J.F., Ed.; Elsevier Science Publishers: London, UK, 1992; pp. 99–153. [Google Scholar]
- Kroh, L.W. Caramelisation in food and beverages. Food Chem. 1994, 51, 373–379. [Google Scholar] [CrossRef]
- Glatt, H.; Schneider, H.; Liu, Y. V79-hCYP2E1-hSULT1A1, a cell line for the sensitive detection of genotoxic effects induced by carbohydrate pyrolysis products and other food-borne chemicals. Mut. Res. Genet. Toxicol. Environ. Mutagen. 2005, 580, 41–52. [Google Scholar] [CrossRef]
- Høie, A.H.; Svendsen, C.; Brunborg, G.; Glatt, H.; Alexander, J.; Meinl, W.; Husøy, T. Genotoxicity of three food processing contaminants in transgenic mice expressing human sulfotransferases 1A1 and 1A2 as assessed by the in vivo alkaline single cell gel electrophoresis assay. Environ. Mol. Mutagen. 2015, 56, 709–714. [Google Scholar] [CrossRef]
- Capuano, E.; Fogliano, V. Acrylamide and 5-hydroxymethylfurfural (HMF): A review on metabolism, toxicity, occurrence in food and mitigation strategies. LWT Food Sci. Technol. 2011, 44, 793–810. [Google Scholar] [CrossRef]
- EFSA (European Food Safety Agency). Opinion of the Scientific Panel on food additives, flavourings, processing aids and materials in contact with food (AFC) related to Flavouring Group Evaluation 13 (FGE.13); Furfuryl and furan derivatives with and without additional side-chain substituents and heteroatoms from chemical group 14. EFSA J. 2005, 215, 1–73. [Google Scholar]
- Batra, B.; Pundir, C.S. Detection of Acrylamide by Biosensors. In Acrylamide in Food. Analysis, Content and Potential Health Effects; Gökmen, V., Ed.; Elsevier: Amsterdam, The Netherlands, 2016; pp. 497–505. [Google Scholar]
- EC (European Commission). Commission regulation (EU) 2017/2158 of 20 November 2017 establishing mitigation measures and benchmark levels for the reduction of the presence of acrylamide in food. OJ 2017, L304, 24–44. [Google Scholar]
- Aykas, D.P.; Urtubia, A.; Wong, K.; Ren, L.; López-Lira, C.; Rodriguez-Saona, L.E. Screening of Acrylamide of Par-Fried Frozen French Fries Using Portable FT-IR Spectroscopy. Molecules 2022, 27, 1161. [Google Scholar] [CrossRef] [PubMed]
- Sáez-Hernández, R.; Ruiz, P.; Mauri-Aucejo, A.R.; Yusa, V.; Cerver, M.L. Determination of acrylamide in toasts using digital image colorimetry by smartphone. Food Control 2022, 141, 109163. [Google Scholar] [CrossRef]
- Martín-Tornero, E.; Sánchez, R.; Lozano, J.; Martínez, M.; Arroyo, P.; Martín-Vertedor, D. Characterization of Polyphenol and Volatile Fractions of Californian-Style Black Olives and Innovative Application of E-nose for Acrylamide Determination. Foods 2021, 10, 2973. [Google Scholar] [CrossRef] [PubMed]
- Vinaixa, M.; Vergara, A.; Duran, C.; Llobet, E.; Badia, C.; Brezmes, J.; Vilanova, X.; Correig, X. Fast detection of rancidity in potato crisps using e-noses based on mass spectrometry or gas sensors. Sens. Actuators B 2005, 106, 67–75. [Google Scholar] [CrossRef]
- Sánchez, R.; Martín-Tornero, E.; Lozano, J.; Boselli, E.; Arroyo, P.; Meléndez, F.; Martín-Vertedor, D. E-Nose discrimination of abnormal fermentations in Spanish-Style Green Olives. Molecules 2021, 26, 5353. [Google Scholar] [CrossRef]
- Karimi, Z.; Firouzi, M.; Dadmehr, M.; Javad-Mousavi, S.A.; Bagheriani, N.; Sadeghpour, O. Almond as a nutraceutical and therapeutic agent in Persian medicine and modern phytotherapy: A narrative review. Phytother. Res. 2021, 35, 2997–3012. [Google Scholar] [CrossRef]
- Barreca, D.; Nabavi, S.M.; Sureda, A.; Rasekhian, M.; Raciti, R.; Sanches Silva, A.; Annunziata, G.; Arnone, A.; Tenore, G.C.; Süntar, I.; et al. Almonds (Prunus dulcis Mill. D. A. Webb): A Source of Nutrients and Health-Promoting Compounds. Nutrients 2020, 12, 672. [Google Scholar] [CrossRef]
- Amrein, T.M.; Lukac, H.; Andres, L.; Perren, R.; Escher, F.; Amadò, R. Acrylamide in roasted almonds and hazelnuts. J. Agric. Food Chem. 2005, 53, 7819–7825. [Google Scholar] [CrossRef]
- Zhang, G.; Huang, G.; Xiao, L.; Seiber, J.; Mitchell, A.E. Acrylamide Formation in Almonds (Prunus dulcis): Influences of Roasting Time and Temperature, Precursors, Varietal Selection, and Storage. J. Agric. Food Chem. 2011, 59, 8225–8232. [Google Scholar] [CrossRef]
- Amrein, T.M.; Andres, L.; Schönbächler, B.; Conde-Petit, B.; Escher, F.; Amadò, R. Acrylamide in almond products. Eur. Food Res. Technol. 2005, 221, 14–18. [Google Scholar] [CrossRef]
- Lukac, H.; Amrein, T.M.; Perren, R.; Conde-Petit, B.; Amadò, R.; Escher, F. Influence of roasting conditions on the acrylamide content and the color of roasted almonds. J. Food Sci. 2007, 72, C33–C38. [Google Scholar] [CrossRef] [PubMed]
- González-Mulero, L.; Mesías, M.; Morales, F.J.; Delgado-Andrade, C. Acrylamide Exposure from Common Culinary Preparations in Spain, in Household, Catering and Industrial Settings. Foods 2021, 10, 2008. [Google Scholar] [CrossRef] [PubMed]
- Mesías, M.; Holgado, F.; Márquez-Ruiz, G.; Morales, F.J. Effect of sodium replacement in cookies on the formation of process contaminants and lipid oxidation. LWT Food Sci. Technol. 2015, 62, 633–639. [Google Scholar] [CrossRef]
- Barea-Ramos, J.D.; Cascos, G.; Mesías, M.; Lozano, J.; Martín-Vertedor, D. Evaluation of the Olfactory Quality of Roasted Coffee Beans Using a Digital Nose. Sensors 2022, 22, 8654. [Google Scholar] [CrossRef] [PubMed]
- Abdi, H.; Williams, L.J. Principal component analysis. Wiley Interdiscip. Rev. Comput. Stat. 2010, 2, 433–459. [Google Scholar] [CrossRef]
- Geladi, P.; Kowalski, B.R. Partial least-squares regression: A tutorial. Anal. Chim. Acta 1986, 185, 1–17. [Google Scholar] [CrossRef]
- Schlörmann, W.; Birringer, M.; Böhmc, V.; Löber, K.; Jahreis, G.; Lorkowski, S.; Müller, A.K.; Schöne, F.; Glei, M. Influence of roasting conditions on health-related compounds in different nuts. Food Chem. 2015, 180, 77–85. [Google Scholar] [CrossRef]
- Kocadagli, T.; Göncüoglu, N.; Hamzalioglu, A.; Gökmen, V. In Depth Study of Acrylamide Formation in Coffee during Roasting: Role of Sucrose Decomposition and Lipid Oxidation. Food Funct. 2012, 3, 970–975. [Google Scholar] [CrossRef]
- Berk, E.; Hamzalıoğlu, A.; Gökmen, V. Investigations on the Maillard Reaction in Sesame (Sesamum indicum L.) Seeds Induced by Roasting. J. Agric. Food Chem. 2019, 67, 4923–4930. [Google Scholar] [CrossRef]
- Mesias, M.; Gómez, P.; Olombrada, E.; Morales, F.J. Formation of acrylamide during the roasting of chia seeds (Salvia hispanica L.). Food Chem. 2023, 401, 134169. [Google Scholar] [CrossRef]
- Seron, L.H.; Poveda, E.G.; Moya, M.S.P.; Carratalá, M.L.M.; Berenguer-Navarro, V.; Grané-Teruel, N. Characterisation of 19 almond cultivars on the basis of their free amino acids composition. Food Chem. 1998, 61, 455–459. [Google Scholar] [CrossRef]
- Fourie, P.C.; Basson, D.S. Sugar content of almond, pecan and macadamia nuts. J. Agric. Food Chem. 1990, 38, 101–104. [Google Scholar] [CrossRef]
- Lasekan, O.; Abbas, K. Analysis of volatile flavour compounds and acrylamide in roasted Malaysian tropical almond (Terminalia catappa) nuts using supercritical fluid extraction. Food Chem. Toxicol. 2010, 48, 2212–2216. [Google Scholar] [CrossRef] [PubMed]
- Liu, W.; Wang, Y.; Xu, D.; Hu, H.; Huang, Y.; Liu, Y.; Nie, S.; Li, C.; Xie, M. Investigation on the contents of heat-induced hazards in commercial nuts. Food Res. Int. 2023, 163, 112041. [Google Scholar] [CrossRef]
- Loutfi, A.; Coradeschi, S.; Mani, G.K.; Shankar, P.; Rayappan, J.B.B. Electronic noses for food quality: A review. J. Food Eng. 2015, 144, 103–111. [Google Scholar] [CrossRef]
- Majchrzak, T.; Wojnowski, W.; Dymerski, T.; Gębicki, J.; Namieśnik, J. Electronic noses in classification and quality control of edible oils: A review. Food Chem. 2018, 246, 192–201. [Google Scholar] [CrossRef]
- Martín-Torres, S.; Ruiz-Castro, L.; Jiménez-Carvelo, A.M.; Cuadros-Rodríguez, L. Applications of multivariate data analysis in shelf life studies of edible vegetal oils–A review of the few past years. Food Packag. Shelf Life 2022, 31, 100790. [Google Scholar] [CrossRef]
- Rodríguez, J.; Durán, C.; Reyes, A. Electronic nose for quality control of Colombian coffee through the detection of defects in “Cup Tests”. Sensors 2009, 10, 36–46. [Google Scholar] [CrossRef]


| Treatments | T (°C) | Whole Almond Aroma | Ground Almond Aroma | ||||
|---|---|---|---|---|---|---|---|
| Almond | Roasted | Burnt | Almond | Roasted | Burnt | ||
| 1 | 120 | 2.0 ± 0.1 b | <LOD | <LOD | 1.0 ± 0.1 a | <LOD | <LOD |
| 2 | 135 | 3.5 ± 0.2 c | <LOD | <LOD | 2.0 ± 0.2 c | <LOD | <LOD |
| 3 | 150 | 3.8 ± 0.2 c | 2.5 ± 0.2 b | <LOD | 3.2 ± 0.2 e | 1.5 ± 0.2 b | <LOD |
| 4 | 165 | 3.0 ± 0.3 c | 3.5 ± 0.2 c | <LOD | 2.5 ± 0.3 d | 2.0 ± 0.2 c | <LOD |
| 5 | 180 | 1.5 ± 0.2 a | 1.5 ± 0.3 a | 3.0 ± 0.3 a | 1.5 ± 0.2 b | 1.0 ± 0.3 a | 2.5 ± 0.3 a |
| 6 | 200 | <LOD | <LOD | 4.5 ± 0.2 b | <LOD | <LOD | 4.0 ± 0.2 b |
| Treatments | T (°C) | Whole Almond | Ground Almond | ||||
|---|---|---|---|---|---|---|---|
| Acrylamide | HMF | Furfural | Acrylamide | HMF | Furfural | ||
| 1 | 120 | 25 ± 0.71 a | 0.99 ± 0.02 a | 0.35 ± 0.02 a | 19 ± 0.01 a | 0.75 ± 0.07 a | 0.42 ± 0.02 a |
| 2 | 135 | 82 ± 4.24 b | 4.21 ± 0.10 ab | 0.72 ± 0.01 a | 51 ± 2.12 a | 4.96 ± 0.04 b | 1.04 ± 0.01 a |
| 3 | 150 | 166 ± 2.12 c | 11.09 ± 0.51 b | 1.53 ± 0.02 a | 128 ± 0.71 b | 20.28 ± 0.05 c | 2.22 ± 0.09 a |
| 4 | 165 | 466 ± 20.51 e | 22.58 ± 0.83 c | 3.65 ± 0.22 b | 265 ± 8.49 c | 53.32 ± 0.37 d | 6.16 ± 0.03 b |
| 5 | 180 | 285 ± 0.01 d | 100.14 ± 3.39 d | 13.21 ± 0.71 c | 397 ± 24.04 d | 145.58 ± 1.15 e | 11.94 ± 0.97 c |
| 6 | 200 | 170 ± 0.71 c | 98.92 ± 1.43 d | 23.85 ± 0.36 d | 301 ± 14.14 c | 149.77 ± 0.98 f | 13.32 ± 0.11 c |
Disclaimer/Publisher’s Note: The statements, opinions and data contained in all publications are solely those of the individual author(s) and contributor(s) and not of MDPI and/or the editor(s). MDPI and/or the editor(s) disclaim responsibility for any injury to people or property resulting from any ideas, methods, instructions or products referred to in the content. |
© 2023 by the authors. Licensee MDPI, Basel, Switzerland. This article is an open access article distributed under the terms and conditions of the Creative Commons Attribution (CC BY) license (https://creativecommons.org/licenses/by/4.0/).
Share and Cite
Mesías, M.; Barea-Ramos, J.D.; Lozano, J.; Morales, F.J.; Martín-Vertedor, D. Application of an Electronic Nose Technology for the Prediction of Chemical Process Contaminants in Roasted Almonds. Chemosensors 2023, 11, 287. https://doi.org/10.3390/chemosensors11050287
Mesías M, Barea-Ramos JD, Lozano J, Morales FJ, Martín-Vertedor D. Application of an Electronic Nose Technology for the Prediction of Chemical Process Contaminants in Roasted Almonds. Chemosensors. 2023; 11(5):287. https://doi.org/10.3390/chemosensors11050287
Chicago/Turabian StyleMesías, Marta, Juan Diego Barea-Ramos, Jesús Lozano, Francisco J. Morales, and Daniel Martín-Vertedor. 2023. "Application of an Electronic Nose Technology for the Prediction of Chemical Process Contaminants in Roasted Almonds" Chemosensors 11, no. 5: 287. https://doi.org/10.3390/chemosensors11050287
APA StyleMesías, M., Barea-Ramos, J. D., Lozano, J., Morales, F. J., & Martín-Vertedor, D. (2023). Application of an Electronic Nose Technology for the Prediction of Chemical Process Contaminants in Roasted Almonds. Chemosensors, 11(5), 287. https://doi.org/10.3390/chemosensors11050287

