A Selective Fluorescent Optode for Lead(II) Based on the Dansylamidopropyl Pendant Arm Derivative of 1,4-Dioxa-7,13-dithia-10-azacyclopentadecane ([15]aneNS2O2)
Abstract
:1. Introduction
2. Materials and Methods
2.1. Reagents and Apparatus
2.2. Procedure for the Determination of Pb(II) in Canned Tuna Samples
2.3. Optode Membrane Preparation
2.4. Theoretical Calculations
3. Results and Discussion
3.1. Preliminary Studies
3.2. Operation Principle
3.3. Optimization of the Membrane Composition
3.4. Effect of pH of the Test Solution on the Response of the Optode to Pb(II)
3.5. Dynamic Range and Limit of Detection
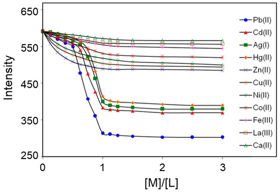
3.6. Response Time, Regeneration, Short-Term Stability, and Selectivity
3.7. Analytical Application
3.8. Comparison
4. Conclusions
Supplementary Materials
Author Contributions
Funding
Data Availability Statement
Acknowledgments
Conflicts of Interest
References
- Aroua, M.K.; Leong, S.P.P.; Teo, L.Y.; Yin, C.Y.; Ashri, W.M.; Daud, W. Real-time determination of kinetics of adsorption of lead(II) onto palm shell-based activated carbon using ion selective electrod. Bioresour. Tech. 2008, 99, 5786–5792. [Google Scholar] [CrossRef] [PubMed]
- Ghiaci, M.; Rezaei, B.; Kalbasi, R.J. High selective SiO2-Al2O3 mixed-oxide modified carbon paste electrode for anodic stripping voltammetric determination of Pb(II). Talanta 2007, 73, 37–45. [Google Scholar] [CrossRef] [PubMed]
- Vasimalai, N.; Abraham John, S. Spectrofluorimetric determination of picogram level Pb(II) using a dimercaptothiadiazole fluorophore. Spectrochim. Acta Part A Mol. Biomol. Spectr. 2011, 82, 153–158. [Google Scholar] [CrossRef] [PubMed]
- Arancibia, V.; Nagles, E.; Cornejo, S. Determination of lead in the presence of morin-5’-sulfonic acid and sodium dodecyl sulfate by adsorptive stripping voltammetry. Talanta 2009, 80, 184–188. [Google Scholar] [CrossRef] [PubMed]
- Bispo, M.S.; Korn, M.D.G.A.; da Boa Morte, E.S.; Teixeira, L.S.G. Determination of lead in seawater by inductively coupled plasma optical emission spectrometry after separation and pre-concentration with cocrystallized naphthalene alizarin. Spectrochim. Acta Part B Atomic Spectr. 2002, 57, 2175–2180. [Google Scholar] [CrossRef]
- Li, J.; Lu, F.; Umemura, T.; Tsunoda, K. Determination of lead by hydride generation inductively coupled plasma mass spectrometry. Anal. Chim. Acta 2000, 419, 65–72. [Google Scholar] [CrossRef]
- Anthemidis, A.N.; Zachariadis, G.A.; Stratis, J.A. On-line preconcentration and determination of copper, lead and chromium(VI) using unloaded polyurethane foam packed column by flame atomic absorption spectrometry in natural water and biological samples. Talanta 2002, 58, 831–840. [Google Scholar] [CrossRef]
- Cabon, J.Y. Determination of Cd and Pb in seawater by graphite furnace absorption spectrometry with the use of hydrofluoric acid as a chemical modifier. Spectrochim. Acta Part B Atomic Spectr. 2002, 57, 513–524. [Google Scholar] [CrossRef]
- Fang, G.; Meng, S.; Zhang, G.; Pan, J. Spectrophotometric determination of lead in foods with dibromo-p-methyl-bromosulfonazo. Talanta 2001, 54, 585–589. [Google Scholar] [CrossRef]
- Da Silva, A.P.; Gunaratne, H.Q.N.; Gunnlaugsson, T.; Huxley, A.J.M.; McCoy, C.P.; Rademacher, J.T.; Rice, T.E. Signaling Recognition Events with Fluorescent Sensors and Switches. Chem. Rev. 1997, 97, 1515–1566. [Google Scholar] [CrossRef]
- Bencini, A.; Lippolis, V. Probing biologically and environmetally important metal ions with fluorescent chemosensors: Thermodynamic versus optical response selectivity in some study cases. Coord. Chem. Rev. 2012, 256, 149–169. [Google Scholar] [CrossRef]
- Lodeiro, C.; Capelo, J.L.; Mejuto, J.C.; Oliveira, E.; Santos, H.M.; Pedras, B.; Nuñez, C. Light and colour as analytical detection tools; A journey into the periodic table using polyamines to bio-inspired systems as chemosensors. Chem. Soc. Rev. 2010, 39, 2948–2976. [Google Scholar] [CrossRef]
- Lodeiro, C.; Pina, F. Luminescent and chromogenic molecular probes based on polyamines and related compounds. Coord. Chem. Rev. 2009, 253, 1353–1383. [Google Scholar] [CrossRef]
- Shamsipur, M.; Hosseini, M.; Alizadeh, K.; Alizadeh, N.; Yari, A.; Caltagirone, C.; Lippolis, V. Novel fluorimetric bulk optode membrane based on a dansylamidopropyl pendant arm derivative of 1-aza-4,10-dithia-7-oxacyclododecane ([12]aneNS2O) for selective subnanomolar detection of Hg(II) ions. Anal. Chim. Acta 2005, 533, 17–24. [Google Scholar] [CrossRef]
- Shamsipur, M.; Alizadeh, K.; Hosseini, M.; Caltagirone, C.; Lippolis, V. A selective optode membrane for silver ion based on fluorescence quenching of the dansylamidopropyl pendant arm derivative of 1-aza-4,7,10-trithiacyclododecane ([12]aneNS3). Sens. Actuators B Chem. 2006, 113, 892–899. [Google Scholar] [CrossRef]
- Shamsipur, M.; Sadeghi, M.; Alizadeh, K.; Bencini, A.; Valtancoli, B.; Garau, A.; Lippolis, V. Novel fluorimetric bulk optode membrane based on 5,8-bis((5’-chloro-8’-hydroxy-7’quinolinyl)methyl)-2,11-dithia-5,8-diaza-2,6-pyridinophane for selective detection of lead(II) ions. Talanta 2010, 80, 2023–2033. [Google Scholar] [CrossRef] [PubMed]
- Prodi, L. Luminescent chemosensors: From molecules to nanoparticles. New J. Chem. 2005, 29, 20–31. [Google Scholar] [CrossRef]
- Shamsipur, M.; Sadeghi, M.; Garau, A.; Lippolis, V. An efficient and selective fluorescent chemical sensor based on 5-(8-hydroxy-2-quinolinylmethyl)-2,8-dithia-5-aza-2,6-pyridinophane as a new fluoroionophore for determination of iron(III) ions. A novel probe for iron speciation. Anal. Chim. Acta 2013, 761, 169–177. [Google Scholar] [CrossRef]
- Paderni, D.; Barone, G.; Formica, M.; Macedi, E.; Fusi, V. A novel 2,6-bis(benzoxazolyl)phenol macrocyclic chemosensor with enhanced fluorophore properties by photoinduced intramolecular proton transfer. Dalton Trans. 2023, 52, 3716–3724. [Google Scholar] [CrossRef]
- Zhang, H.; Song, J.; Wang, S.; Song, Q.; Guo, H.; Li, Z. Recent progres in macrocyclic chemosensors for lead, cadmium and mercury heavy metal ions. Dye. Pigment. 2023, 216, 111380. [Google Scholar] [CrossRef]
- Ding, Y.; Zhu, W.-H.; Xie, Y. Development of Ion Chemosensors Based on Porphyrin Analogues. Chem. Rev. 2017, 117, 2203–2256. [Google Scholar] [CrossRef] [PubMed]
- Prodi, L.; Bargossi, C.; Montalti, M.; Zaccheroni, N.; Su, N.; Bradshaw, J.S.; Izat, R.M.; Savage, P.B. An Effective Fluorescent Chemosensor for Mercury Ions. J. Am. Chem. Soc. 2000, 122, 6769–6770. [Google Scholar] [CrossRef]
- Wong, J.K.-H.; Todd, M.H.; Rutledge, P.J. Recent Advances in Macrocyclic Fluorescent Probes for Ion Sensing. Molecules 2017, 22, 200. [Google Scholar] [CrossRef] [PubMed]
- Paderni, D.; Giorgi, L.; Voccia, M.; Formica, M.; Caporaso, L.; Macedi, E.; Fusi, V. A New enzoxazole-Based Fluorescent Macrocyclic Chemosensor for Optical Detection of Zn2+ and Cd2+. Chemsosensors 2022, 10, 188. [Google Scholar] [CrossRef]
- Dos Santos Carlos, F.; da Silva, L.A.; Zanlorenzi, C.; Souza Nunes, F. A novel macrocycle acridine-based fluorescent chemosensor for selective detection of Cd2+ in Brazilian sugarcane spirit and tobacco cigarette smoke extract. Inorg. Chim. Acta 2020, 508, 119634. [Google Scholar] [CrossRef]
- Formica, M.; Fusi, V.; Giorgi, L.; Micheloni, M. Mew fluorescent chemosensors for metal ions in solution. Coord. Chem. Rev. 2012, 256, 170–192. [Google Scholar] [CrossRef]
- Galiński, B.; Wagner-Wysiecka, E. Pyrrole bearing diazocrowns: Selective chromoionophores for lead(II) optical sensing. Sens. Actuators B Chem. 2022, 361, 131678. [Google Scholar] [CrossRef]
- Nolan, E.M.; Lippard, S.J. Tools and Tactis for the Optical Detection of Mercuric Ions. Chem. Rev. 2008, 108, 3443–3480. [Google Scholar] [CrossRef]
- Aragoni, M.C.; Arca, M.; Bencini, A.; Blake, A.J.; Caltagirone, C.; Decortes, A.; Demartin, F.; Devillanova, F.A.; Faggi, E.; Dolci, L.S.; et al. Coordination chemistry of N-aminopropyl pendant arm derivatives of mixed N/S-, and N/S/O-donor macrocycles, and construction of selective fluorimetric chemosensors for heavy metal ions. Dalton Trans. 2005, 2994–3004. [Google Scholar] [CrossRef]
- Official Methods of Analysis of the Association of Official Analytical Chemists, 13th ed.; Association of Official Analytical Chemists: Washington, DC, USA, 1980; p. 399.
- Koch, W.; Holthausen, M.C.A. Chemist’s Guide to Density Functional Theory; Wiley-VCH: New York, NY, USA, 2001. [Google Scholar]
- Frisch, M.J.; Trucks, G.W.; Schlegel, H.B.; Scuseria, G.E.; Robb, M.A.; Cheeseman, J.R.; Scalmani, G.; Barone, V.; Petersson, G.A.; Nakatsuji, H.; et al. Gaussian 16, revision B.01; Gaussian, Inc.: Wallingford, CT, USA, 2016. [Google Scholar]
- Goch, M.; Lutter, M.; Pintus, A.; Schollmeier, D.; Arca, M.; Lippolis, V.; Jurkschat, K. Chelating Phosphorus—An O,C,O-Coordinating Pincer-Type ligand Coordinating PIII and PV Centres. Chem. Eur. J. 2022, 28, e202201447. [Google Scholar] [CrossRef]
- Adamo, C.; Barone, V. Exchange functionals with improved long-range behavior and adiabatic connection methods whithout adjustable parameters: The mPW and mPW1PW models. J. Chem. Phys. 1998, 108, 664–675. [Google Scholar] [CrossRef]
- Weigend, F.; Ahlrichs, R. Balanced basis sets of split valence, triple zeta valence and quadrupole zeta valence quality for H to Rn: Design and assessment of accuracy. Phys. Chem. Chem. Phys. 2005, 7, 3297–3305. [Google Scholar] [CrossRef] [PubMed]
- Wiberg, K.B. Application of the pople-santry-segal CNDO method to the cyclopropylcarbinyl and cyclobutyl cation and to bicyclobutane. Tetrahedron 1968, 24, 1083–1096. [Google Scholar] [CrossRef]
- Reed, A.E.; Weinstock, R.B.; Weinhold, F. Natural population analysis. J. Chem. Phys. 1985, 83, 735–746. [Google Scholar] [CrossRef]
- Dennington, R.D.; Keith, T.A.; Millam, J.M. GaussView, version 6.0.16; Semichem, Inc.: Shawnee Mission, KS, USA, 2016. [Google Scholar]
- Schaftenaar, G.; Noordik, J.H. Molden: A pre- and post-processing program for molecular and electronic structures. J. Comput. Aided. Mol. Des. 2000, 14, 123–134. [Google Scholar] [CrossRef] [PubMed]
- Banthia, S.; Samanta, A. A New Strategy for Ratiometric Fluorescence Detection of Transition Metal Ions. J. Phys. Chem. B 2006, 110, 6437–6440. [Google Scholar] [CrossRef] [PubMed]
- Roy, P.; Dhara, K.; Manassero, M.; Banerjee, P. Synthesis, characterization and selective fluorescent zinc(II) sensing property of three Schiff-base compounds. Inorg. Chim. Acta 2009, 362, 2927–2932. [Google Scholar] [CrossRef]
- Aragoni, M.C.; Arca, M.; Bencini, A.; Blake, A.J.; Caltagirone, C.; Danesi, A.; Devillanova, F.A.; Garau, A.; Gelbrich, T.; Isaia, F.; et al. Novel fluorescent chemosensors for heavy metal ions based on functionalized pendant arm derivatives of 7-anthracenylmethyl-1,4,10-trioxa-7,13-diazacyclopentadecane. Inorg. Chem. 2007, 46, 8088–8097. [Google Scholar] [CrossRef]
- Desvergne, J.P.; Czarnic, A.W. (Eds.) Chemosensors for Ion and Molecule Recognition; Kluwer Academic Publishers: Boston, MA, USA, 1997. [Google Scholar]
- Bakker, E.; Buhlmann, P.; Pretsch, E. Carrier-based ion-selctive electrodes and bulk optodes. 1. General characteristics. Chem. Rev. 1997, 97, 3083–3132. [Google Scholar] [CrossRef]
- Ertas, N.; Akkaya, E.U.; Atman, O.Y. Simultaneous determination of cadmium and zinc using a fiber optic device and fluorescence spectrometry. Talanta 2000, 51, 693–699. [Google Scholar] [CrossRef]
- Singh, A.K.; Singh, R.P.; Saxena, P. Cobalt(II)-selective electrode based on a newly synthesized macrocyclic compound. Sens. Actuators B Chem. 2006, 114, 578–583. [Google Scholar] [CrossRef]
- Rosatzin, T.; Bakker, E.; Suzuki, K.; Suzuki, K.; Simon, W. Lipophilic and immobilized anionic additives in solvent polymeric membranes of cation-selective chemical sensors. Anal. Chim. Acta 1993, 280, 197–208. [Google Scholar] [CrossRef]
- Aksuner, N. Development of a new fluorescent sensor based on a triazolo-thiadiazin derivative immobilized in polyvinyl chloride membrane for sensitive detection of lead(II) ions. Sens. Actuators B Chem. 2011, 157, 162–168. [Google Scholar] [CrossRef]
- Bualom, C.; Ngeontae, W.; Nitiyanontakit, S.; Ngamukot, P.; Imyima, A.; Tuntulania, T.; Aeungmaitrepirom, W. Bulk optode sensors for batch and flow-through determinations of lead ion in water samples. Talanta 2010, 82, 660–667. [Google Scholar] [CrossRef] [PubMed]
- Nur, Y.; Rohaeti, E.; Darusman, L.K. Optical Sensor for the Determination of Lead(II) Based On Immobilization of Dithizone onto Chitosan-Silica Membrane. Indones. J. Chem. 2017, 17, 7–14. [Google Scholar] [CrossRef]
- Karachi, N.; Azadi, O.; Razavi, R.; Tahvili, A.; Parsaee, Z. Combinatorial experimental and DFT theoretical evaluation of a nano novel thio-dicarboxaldehyde based Schiff base supported on a thin polymer film as a chemosensor for Pb2+ detection. J. Photochem. Photobiol. A Chem. 2018, 360, 152–165. [Google Scholar] [CrossRef]
- Peng, L.; Xi, Q.; Wang, X.; Kan, Y.; Jiang, J.; Yu, R. Determination of Lead(II) by a Nitrocellulose Membrane Fluorescent Biosensor Based on G-Quadruplex Changes. Anal. Lett. 2014, 47, 2341–2349. [Google Scholar] [CrossRef]
- Zargoosh, K.; Farhadian Babadi, F. Higly selective and sensitive optical sensor for determination of Pb2+ and Hg2+ ions based on the covalent immobilization of dithizone on agarose membrane. Spectrochim. Acta Part A Mol. Biomol. Spectr. 2015, 137, 105–110. [Google Scholar] [CrossRef]
- Zheng, W.-L.; Zhang, Y.-N.; Li, L.-K.; Li, X.-G.; Zhao, Y. A plug-and-play optical fiber SPR sensor for simultaneous measurement of glucose and cholesterol concentrations. Biosens. Bioelectron. 2022, 198, 113798. [Google Scholar] [CrossRef]
- Gambino, F.; Cicatello, P.; Giaquinto, M.; Cusano, A.M.; Aliberti, A.; Micco, A.; Iele, A.; Iaccarino, E.; Ruvo, M.; Ricciardi, A.; et al. Lab on fiber nano-cavity integrated with charge responsive microgels for biosensing. Sens. Actuators B 2022, 353, 131149. [Google Scholar] [CrossRef]
- Power, S.M.; Free, L.; Delgado, A.; Richards, C.; Alvarez-Gomez, E.; Briciu-Burghina, C.; Regan, F. A novel low-cost plug-and-play multi-spectral LED based fluorometer, with application to chlorophyll detection. Anal. Methods 2023, 15, 5474–5482. [Google Scholar] [CrossRef] [PubMed]
- Yang, Z.; Albrow-Owen, T.; Cai, W.; Hasan, T. Miniaturization of optical spectrometers. Science 2021, 371, eabe0722. [Google Scholar] [CrossRef] [PubMed]
- Ricciardi, A.; Crescitelli, A.; Vaiano, P.; Quero, G.; Consales, M.; Pisco, M.; Esposito, E.; Cusano, A. Lab-onfiber technology: A new vision for chemical and biological sensing. Analyst 2015, 140, 8068–8079. [Google Scholar] [CrossRef] [PubMed]
- Lvova, L.; Pudi, R.; Galloni, P.; Lippolis, V.; Di Natale, C.; Lundström, I.; Paolese, R. Multi-transduction films for Electronic Tongue applications. Sens. Actuators B 2015, 207, 1076–1086. [Google Scholar] [CrossRef]
- Macken, S.; Di Natale, C.; Paolesse, R.; D’Amico, A.; Lundström, I.; Filippini, D. Towards integrated devices for computer screen photo-assisted multi-parameter sensing. Anal. Chim. Acta 2009, 632, 143–147. [Google Scholar] [CrossRef]
- Potyrailo, R.A.; Morris, W.G.; Leach, A.M.; Sivavec, T.M.; Wisnudel, M.B.; Boyette, S. Analog Signal Acquisition from Computer Optical Disk Drives for Quantitative Chemical Sensing. Anal. Chem. 2006, 78, 5893–5899. [Google Scholar] [CrossRef]







| Metal | log K | |
|---|---|---|
| M(L) | M(L)2 | |
| Pb(II) | 11.27 ± 0.05 | 4.61 ± 0.03 |
| Hg(II) | 7.63 ± 0.04 | 4.08 ± 0.04 |
| Ag(I) | 7.86 ± 0.04 | 4.21 ± 0.03 |
| Cd(II) | 8.39 ± 0.05 | 4.49 ± 0.05 |
| Fe(III) | 3.72 ± 0.03 | --- |
| Co(II) | 4.11 ± 0.05 | --- |
| Ni(II) | 4.59 ± 0.03 | --- |
| Cu(II) | 5.22 ± 0.04 | --- |
| Zn(II) | 5.71 ± 0.03 | --- |
| La(III) | 3.56 ± 0.05 | --- |
| Ca(II) | 3.04 ± 0.04 | --- |
| Membrane No. | PVC/mg | Plasticizer/mg | NaTPB/mg | L/mg | Dynamic Range/M |
|---|---|---|---|---|---|
| 1 | 30 | 60(NPOE) | 5 | 5 | 1.0 × 10−9–1.0 × 10−3 |
| 2 | 30 | 60(TEHP) | 5 | 5 | 2.5 × 10−8–1.0 × 10−4 |
| 3 | 30 | 60(DOS) | 5 | 5 | 5.0 × 10−7–5.0 × 10−5 |
| 4 | 30 | 60(DOP) | 5 | 5 | 1.0 × 10−8–5.0 × 10−4 |
| 5 | 30 | 60(DBP) | 5 | 5 | 1.0 × 10−7–5.0 × 10−5 |
| 6 | 31 | 60(NPOE) | 5 | 4 | 2.5 × 10−8–2.5 × 10−4 |
| 7 | 29 | 60(NPOE) | 5 | 6 | 5.0 × 10−8–5.0 × 10−4 |
| 8 | 31 | 60(NPOE) | 4 | 5 | 7.5 × 10−8–2.5 × 10−4 |
| 9 | 29 | 60(NPOE) | 6 | 5 | 5.0 × 10−8–7.5 × 10−4 |
| 10 | 35 | 60(NPOE) | 5 | 0 | 1.0 × 10−5–1.0 × 10−4 |
| Sample | Proposed Sensor/ppb | AAS/ppb | Relative Error (%) |
|---|---|---|---|
| 1 | 92.77 ± 2.41 | 95.23 ± 2.63 | 2.58 |
| 2 | 115.84 ± 2.86 | 112.62 ± 2.47 | 2.86 |
| 3 | 86.92 ± 2.52 | 84.59 ± 2.28 | 2.75 |
| Measured Signal | Dynamic Range/M | Detection Limit/M | Response Time/Min | Ref. |
|---|---|---|---|---|
| Absorbance | 8.05 × 10−8–2.24 × 10−5 | 1.15 × 10−8 | 7 | [27] |
| Fluorescence | 5.0 × 10−8–3.8 × 10−4 | 2.2 × 10−8 | 3 | [48] |
| Absorbance | 1.3 × 10−8–3.2 × 10−5 | 9.0 × 10−9 | 15 | [49] |
| Absorbance | 1.2 × 10−8–2.4 × 10−6 | 4.0 × 10−9 | 28 | [53] |
| Fluorescence | 3.0 × 10−7–2.5 × 10−2 | 2.0 × 10−7 | 5 | [16] |
| Fluorescence | 1.0 × 10−6–5.3 × 10−6 | 5.3 × 10−7 | 3 | [50] |
| Fluorescence | 6.0 × 10−9–4.1 × 10−5 | 3.3 × 10−9 | 1.5 | [51] |
| Fluorescence | 2.5 × 10−8–2.0 × 10−6 | 1.0 × 10−8 | 30 | [52] |
| Fluorescence | 1.0 × 10−9–1.0 × 10−3 | 7.5 × 10−10 | 3 | This work |
Disclaimer/Publisher’s Note: The statements, opinions and data contained in all publications are solely those of the individual author(s) and contributor(s) and not of MDPI and/or the editor(s). MDPI and/or the editor(s) disclaim responsibility for any injury to people or property resulting from any ideas, methods, instructions or products referred to in the content. |
© 2023 by the authors. Licensee MDPI, Basel, Switzerland. This article is an open access article distributed under the terms and conditions of the Creative Commons Attribution (CC BY) license (https://creativecommons.org/licenses/by/4.0/).
Share and Cite
Shamsipur, M.; Mohammadi, M.; Arca, M.; Garau, A.; Lippolis, V.; Barati, A. A Selective Fluorescent Optode for Lead(II) Based on the Dansylamidopropyl Pendant Arm Derivative of 1,4-Dioxa-7,13-dithia-10-azacyclopentadecane ([15]aneNS2O2). Chemosensors 2023, 11, 571. https://doi.org/10.3390/chemosensors11120571
Shamsipur M, Mohammadi M, Arca M, Garau A, Lippolis V, Barati A. A Selective Fluorescent Optode for Lead(II) Based on the Dansylamidopropyl Pendant Arm Derivative of 1,4-Dioxa-7,13-dithia-10-azacyclopentadecane ([15]aneNS2O2). Chemosensors. 2023; 11(12):571. https://doi.org/10.3390/chemosensors11120571
Chicago/Turabian StyleShamsipur, Mojtaba, Moslem Mohammadi, Massimiliano Arca, Alessandra Garau, Vito Lippolis, and Ali Barati. 2023. "A Selective Fluorescent Optode for Lead(II) Based on the Dansylamidopropyl Pendant Arm Derivative of 1,4-Dioxa-7,13-dithia-10-azacyclopentadecane ([15]aneNS2O2)" Chemosensors 11, no. 12: 571. https://doi.org/10.3390/chemosensors11120571
APA StyleShamsipur, M., Mohammadi, M., Arca, M., Garau, A., Lippolis, V., & Barati, A. (2023). A Selective Fluorescent Optode for Lead(II) Based on the Dansylamidopropyl Pendant Arm Derivative of 1,4-Dioxa-7,13-dithia-10-azacyclopentadecane ([15]aneNS2O2). Chemosensors, 11(12), 571. https://doi.org/10.3390/chemosensors11120571

