Machine Learning-Based Radon Monitoring System
Abstract
:1. Introduction
1.1. Radon Concentration Detection
1.2. Radon Mitigation
- Increasing subfloor ventilation.
- Installing a radon sump system in the basement or under a solid floor to collect the radon and subsequently expel it into the atmosphere.
- Avoiding the passage of radon from the basement into living spaces (e.g., by means of sealing floors and/or walls).
- Improving the ventilation of the building (with fans or crossed ventilation).
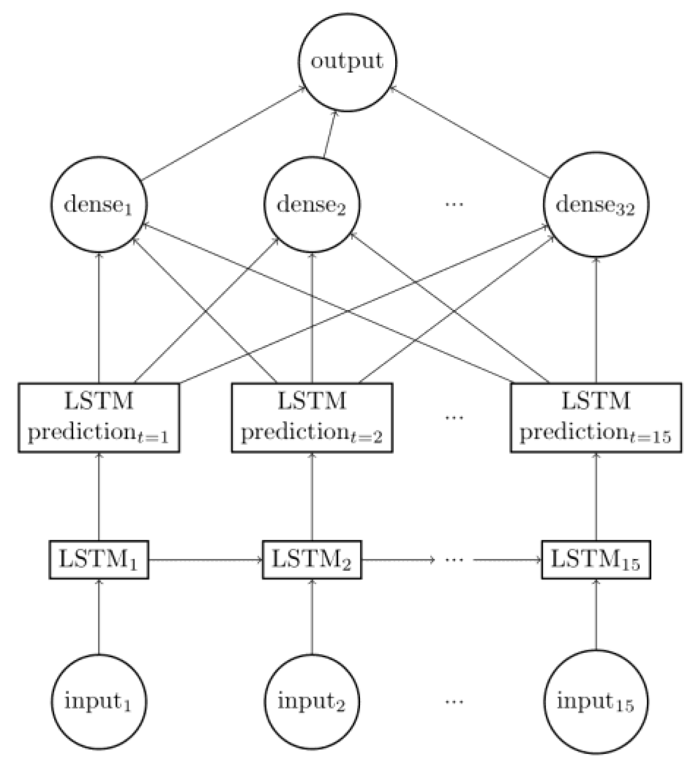
2. Materials and Methods
- Sensitivity: 0.81 cph/Bq/m³
- Precision: ±10% at 370 Bq/m³
- Measurement range: 7.4 to 3.700 Bq/m3
- Accuracy: <±10% (min. error <± 18.5 mBq/m3)
- Reproducibility: <±10% at 370 mBq/m3
- Data interval: 10 min update (60 min moving average)
3. Results
RNN
4. Discussion
5. Conclusions
Author Contributions
Funding
Institutional Review Board Statement
Informed Consent Statement
Data Availability Statement
Conflicts of Interest
References
- US Environmental Protection Agency. A Citizen’s Guide to Radon: The Guide to Protecting Yourself and Your Family from Radon; US Environmental Protection Agency: Washington, DC, USA, 2002. [Google Scholar]
- Partington, J. Discovery of radon. Nature 1957, 179, 912. [Google Scholar] [CrossRef]
- Weigel, F. Radon. J. Chem. Ztg. 1978, 102, 287–299. [Google Scholar]
- WHO. International Agency for Research on Cancer; WHO: Geneva, Switzerland, 2019. [Google Scholar]
- Quindós, L.; Fernández, P.; Soto, J. National survey on indoor radon in Spain. Environ. Int. 1991, 17, 449–453. [Google Scholar] [CrossRef]
- Fleischer, R.L. Radon in the Environment—Opportunities and Hazards. Int. J. Radiat. Appl. Instrum. Part D Nucl. Tracks Radiat. Meas. 1988, 14, 421–435. [Google Scholar] [CrossRef]
- Wilkening, M. Radon in the Environment; Elsevier: Amsterdam, The Netherlands, 1990; Volume 40. [Google Scholar]
- Pérez-Ríos, M.; Barros-Dios, J.M.; Montes-Martínez, A.; Ruano-Ravina, A. Attributable mortality to radon exposure in Galicia, Spain. Is it necessary to act in the face of this health problem? BMC Public Health 2010, 10, 256. [Google Scholar] [CrossRef] [Green Version]
- Alvarellos, A.; Gestal, M.; Dorado, J.; Rabuñal, J.R. Developing a secure low-cost radon monitoring system. Sensors 2020, 20, 752. [Google Scholar] [CrossRef] [PubMed] [Green Version]
- European Union. Directiva 2013/59/Euratom Del Consejo, de 5 de diciembre de 2013, por la que se establecen normas de seguridad básicas para la protección contra los peligros derivados de la exposición a radiaciones ionizantes, y se derogan las Directivas 89/618/Euratom, 90/641/Euratom, 96/29/Euratom, 97/43/Euratom y 2003/122/Euratom. 2013. Available online: https://eur-lex.europa.eu/legal-content/ES/TXT/?uri=CELEX%3A32013L0059 (accessed on 22 May 20222).
- Varley, N.; Flowers, A. Indoor radon prediction from soil gas measurements. Health Phys. 1998, 74, 714–718. [Google Scholar] [CrossRef]
- Johner, H.; Surbeck, H. Soil gas measurements below foundation depth improve indoor radon prediction. Sci. Total Environ. 2001, 272, 337–341. [Google Scholar] [CrossRef]
- Kemski, J.; Klingel, R.; Siehl, A.; Valdivia-Manchego, M. From radon hazard to risk prediction-based on geological maps, soil gas and indoor measurements in Germany. Environ. Geol. 2009, 56, 1269–1279. [Google Scholar] [CrossRef]
- Amrani, D.; Cherouati, D.; Cherchali, M. Groundwater radon measurements in Algeria. J. Environ. Radioact. 2000, 51, 173–180. [Google Scholar] [CrossRef]
- Burnett, W.C.; Peterson, R.N.; Santos, I.R.; Hicks, R.W. Use of automated radon measurements for rapid assessment of groundwater flow into Florida streams. J. Hydrol. 2010, 380, 298–304. [Google Scholar] [CrossRef]
- Jacob, N.; Babu, D.S.; Shivanna, K. Radon as an indicator of submarine groundwater discharge in coastal regions. Curr. Sci. 2009, 97, 1313–1320. [Google Scholar]
- D’Alessandro, W.; Vita, F. Groundwater radon measurements in the Mt. Etna area. J. Environ. Radioact. 2003, 65, 187–201. [Google Scholar] [CrossRef]
- Noguchi, M.; Wakita, H. A method for continuous measurement of radon in groundwater for earthquake prediction. J. Geophys. Res. 1977, 82, 1353–1357. [Google Scholar] [CrossRef]
- Ambrosino, F.; Sabbarese, C.; Roca, V.; Giudicepietro, F.; Chiodini, G. Analysis of 7-years Radon time series at Campi Flegrei area (Naples, Italy) using artificial neural network method. Appl. Radiat. Isot. 2020, 163, 109239. [Google Scholar] [CrossRef]
- Janik, M.; Bossew, P.; Kurihara, O. Machine learning methods as a tool to analyse incomplete or irregularly sampled radon time series data. Sci. Total Environ. 2018, 630, 1155–1167. [Google Scholar] [CrossRef]
- Papastefanou, C. An overview of instrumentantion for measuring radon in soil gas and groundwaters. J. Environ. Radioact. 2002, 63, 271–283. [Google Scholar] [CrossRef]
- Nevissi, A. Detection and Measurement of Radon and Radon Decay Products. In Environmental Radon; Springer: Cham, Switzerland, 1990. [Google Scholar]
- Henschel, D. Analysis of Radon Mitigation Techniques used in Existing US Houses. Radiat. Prot. Dosimet. 1994, 56, 21–27. [Google Scholar] [CrossRef]
- Yasuoka, Y.; Ishikawa, T.; Tokonami, S.; Takahashi, H.; Sorimachi, A.; Shinogi, M. Radon mitigation using an air cleaner. J. Radioanal. Nucl. Chem. 2009, 279, 885–891. [Google Scholar] [CrossRef]
- Fuente, M.; Rábago, D.; Goggins, J.; Fuente, I.; Sainz, C.; Foley, M. Radon mitigation by soil depressurisation case study: Radon concentration and pressure field extension monitoring in a pilot house in Spain. Sci. Total Environ. 2019, 695, 133746. [Google Scholar] [CrossRef]
- FTLab RD200M: Radon Sensor. Available online: http://radonftlab.com/radon-sensor-product/radon-sensor/rd200m/ (accessed on 8 June 2022).
- Terziyski, A.; Tenev, S.; Jeliazkov, V. Radon Concentration Gauge. In Proceedings of the 2020 21st International Symposium on Electrical Apparatus & Technologies (SIELA), Bourgas, Bulgaria, 3–6 June 2020; pp. 1–3. [Google Scholar]
- Sá, J.P.; Branco, P.T.; Alvim-Ferraz, M.C.; Martins, F.G.; Sousa, S.I. Radon in Indoor Air: Towards Continuous Monitoring. Sustainability 2022, 14, 1529. [Google Scholar] [CrossRef]
- Medina-Pérez, A.; Sánchez-Rodríguez, D.; Alonso-González, I. An Internet of Thing Architecture Based on Message Queuing Telemetry Transport Protocol and Node-RED: A Case Study for Monitoring Radon Gas. Smart Cities 2021, 4, 803–818. [Google Scholar] [CrossRef]
- Terziyski, A.; Tenev, S.; Jeliazkov, V.; Jeliazkova, N.; Kochev, N. METER. AC: Live open access atmospheric monitoring data for Bulgaria with high spatiotemporal resolution. Data 2020, 5, 36. [Google Scholar] [CrossRef] [Green Version]
- Chao, C.Y.; Tung, T.C.; Burnett, J. Influence of ventilation on indoor radon level. Build. Environ. 1997, 32, 527–534. [Google Scholar] [CrossRef]
- R Core Team. R: A Language and Environment for Statistical Computing; R Foundation for Statistical Computing: Vienna, Austria; Available online: http://www.R-project.org/ (accessed on 20 June 2022).
- Wickham, H. Ggplot2: Elegant Graphics for Data Analysis; Springer: Cham, Switzerland, 2016. [Google Scholar]
- van Rossum, G. Python Reference Manual. 1995. Available online: https://ir.cwi.nl/pub/5008 (accessed on 10 March 20222).
- Abadi, M.; Agarwal, A.; Barham, P.; Brevdo, E.; Chen, Z.; Citro, C.; Corrado, G.S.; Davis, A.; Dean, J.; Devin, M. Tensorflow: Large-scale machine learning on heterogeneous distributed systems. arXiv 2016, arXiv:1603.04467. [Google Scholar]
- Kiselev, I.; Sysoev, V.; Kaikov, I.; Koronczi, I.; Adil Akai Tegin, R.; Smanalieva, J.; Sommer, M.; Ilicali, C.; Hauptmannl, M. On the temporal stability of analyte recognition with an e-nose based on a metal oxide sensor array in practical applications. Sensors 2018, 18, 550. [Google Scholar] [CrossRef] [Green Version]
- Abdullah, A.; Bakar, M.; Saad, F.; Sudin, S.; Ahmad, Z.; Elshaikh, M.; Ismail, K. Development of Cloud-based Electronic Nose for University Laboratories Air Monitoring. In Proceedings of the IOP Conference Series: Materials Science and Engineering, Chennai, India, 16–17 September 2020; p. 012082. [Google Scholar]











| Covariates/Window Size # | 1 | 5 | 10 | 15 | 25 |
|---|---|---|---|---|---|
| - | 26.57 | 22.19 | 16.45 | 17.21 | 19.33 |
| state | 27.28 | 18.09 | 17.23 | 14.96 | 16.61 |
| humidity | 26.38 | 18.24 | 23.11 | 19.12 | 20.7 |
| pressure | 25.23 | 24.01 | 24.57 | 17.58 | 17.8 |
| tvoc | 23.71 | 17.00 | 17.34 | 17.73 | 18.42 |
| state and humidity | 24.38 | 19.89 | 19.42 | 16.45 | 18.22 |
| state and pressure | 28.15 | 19.48 | 17.5 | 19.95 | 17.01 |
| state and tvoc | 22.93 | 19.95 | 16.09 | 16.13 | 18.35 |
| humidity and pressure | 31.08 | 21.13 | 18.66 | 16.81 | 25.05 |
| humidity and tvoc | 37.52 | 21.30 | 19.84 | 15.77 | 23.16 |
| pressure and tvoc | 28.98 | 34.78 | 18.35 | 16.53 | 19.36 |
| state, humidity and pressure | 29.04 | 24.90 | 18.25 | 16.12 | 20.55 |
| state, humidity and tvoc | 24.47 | 22.59 | 19.35 | 16.87 | 20.1 |
| state, pressure and tvoc | 24.88 | 23.14 | 18.96 | 17.95 | 22.59 |
| humidity, pressure and tvoc | 33.77 | 21.68 | 17.65 | 20.23 | 31.87 |
| 4 | 8 | 16 | 32 | 64 | |
|---|---|---|---|---|---|
| 1 × 16 neuron dense layer | 15.21 | 15.05 | 16.08 | 14.90 | 14.95 |
| 2 × 16 neuron dense layer | 15.45 | 15.21 | 15.92 | 14.93 | 16.15 |
| 1 × 32 neuron dense layer | 14.69 | 14.75 | 15.05 | 15.93 | 15.44 |
| 2 × 32 neuron dense layer | 15.63 | 16.10 | 16.67 | 16.46 | 17.38 |
Publisher’s Note: MDPI stays neutral with regard to jurisdictional claims in published maps and institutional affiliations. |
© 2022 by the authors. Licensee MDPI, Basel, Switzerland. This article is an open access article distributed under the terms and conditions of the Creative Commons Attribution (CC BY) license (https://creativecommons.org/licenses/by/4.0/).
Share and Cite
Valcarce, D.; Alvarellos, A.; Rabuñal, J.R.; Dorado, J.; Gestal, M. Machine Learning-Based Radon Monitoring System. Chemosensors 2022, 10, 239. https://doi.org/10.3390/chemosensors10070239
Valcarce D, Alvarellos A, Rabuñal JR, Dorado J, Gestal M. Machine Learning-Based Radon Monitoring System. Chemosensors. 2022; 10(7):239. https://doi.org/10.3390/chemosensors10070239
Chicago/Turabian StyleValcarce, Diego, Alberto Alvarellos, Juan Ramón Rabuñal, Julián Dorado, and Marcos Gestal. 2022. "Machine Learning-Based Radon Monitoring System" Chemosensors 10, no. 7: 239. https://doi.org/10.3390/chemosensors10070239
APA StyleValcarce, D., Alvarellos, A., Rabuñal, J. R., Dorado, J., & Gestal, M. (2022). Machine Learning-Based Radon Monitoring System. Chemosensors, 10(7), 239. https://doi.org/10.3390/chemosensors10070239

