Magneto-Electronic Hydrogen Gas Sensors: A Critical Review
Abstract
1. Introduction
2. Physical Foundations of Magneto-Electronic Hydrogen Gas Sensors
2.1. Perpendicular Magnetic Anisotropy
2.2. Ferromagnetic Resonance
2.3. Spin Pumping and Interface Clearing
2.4. Inverse Spin Hall Effect
2.5. Magneto-Optical Kerr Effect and Anomalous Hall Effect
2.6. Mechanism of Hydrogen Gas Absorption by Palladium
2.7. Pd in Electronics, Magneto-Optics and Plasmonics
2.8. Early Studies of the Effect of Hydrogen on Pd-Based Magnetic Materials and Theoretical Explanation of the Effect
3. Magneto-Electronic Hydrogen Sensors Based on the Magneto-Optical Kerr Effect (Moke), Anomalous Hall Effect and Other Dc-Signal Based Concepts
4. FMR-Based Magneto-Electronic Hydrogen Sensors: Main Achievements to Date
4.1. The Origin of FMR-Based Hydrogen Sensors
4.2. The Role of the Thickness of Pd/Co Bilayer Films
4.3. Magneto-Elastic PMA Effect
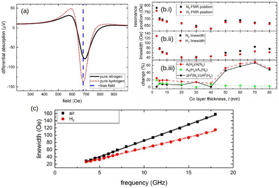
4.4. Effect of H Gas on the FMR Response of Pd/Co Structures
4.5. Nanopatterned FMR-Based Sensors
4.6. Alloy-Based Magneto-Electronic Sensors
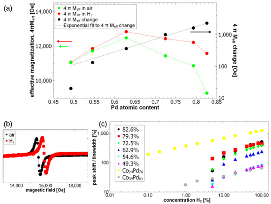
4.7. Nickel-Cobalt-Palladium Alloy Magneto-Electronic Sensors
4.8. Advanced Magneto-Electronic Sensors Architectures: Towards Real-Life Applications
5. Conclusions and Outlook
Funding
Acknowledgments
Conflicts of Interest
References
- Ritchie, H.; Roser, M. CO2 and Greenhouse Gas Emissions. Our World in Data. 2020. Available online: https://ourworldindata.org/co2-and-other-greenhouse-gas-emissions (accessed on 1 July 2021).
- BP Statistical Review of World Energy 2019. Available online: https://www.bp.com/en/global/corporate/energy-economics/statistical-review-of-world-energy.html (accessed on 7 January 2020).
- Byrne, J.; Wang, Y.D. Green Energy Economies: The Search for Clean and Renewable Energy; Routledge CRC Press: Boca Raton, FL, USA, 2014. [Google Scholar]
- Raikar, S.; Adamson, S. Renewable Energy Finance: Theory and Practice; Academic Press: New York, NY, USA, 2019. [Google Scholar]
- Hacker, V.; Mitsushima, S. Fuel Cells and Hydrogen: From Fundamentals to Applied Research; Elsevier: Amsterdam, The Netherlands, 2018. [Google Scholar]
- Run on Less with Hydrogen Fuel Cells. Available online: https://www.act-news.com/news/fcevs-run-on-less/ (accessed on 25 September 2019).
- EPEC Smart Battery Pack Design Factors: 10 Tips to Deciding What Options Are Needed for Your Custom Battery Pack. Available online: https://info.epectec.com/guides/smart-battery-pack-design-factors (accessed on 19 January 2020).
- Corbo, P.; Migliardini, F.; Ottorino, O. Hydrogen Fuel Cells for Road Vehicles; Springer: Berlin, Germany, 2011. [Google Scholar]
- Shabani, B.; Andrews, J.; Subic, A.; Paul, B. Novel Concept of Long-Haul Trucks Powered by Hydrogen Fuel Cells. In Proceedings of the FISITA 2012 World Automotive Congress; Springer: Berlin/Heidelberg, Germany, 2013; pp. 823–834. [Google Scholar]
- North American Council for Freight Efficiency: Making Sense of Heavy-Duty Hydrogen Fuel Cell Tractors. Available online: https://nacfe.org/wp-content/uploads/2020/12/Hydrogen-Executive-Summary-FINAL.pdf (accessed on 23 November 2021).
- Hübert, T.; Boon-Brett, L.; Palmisano, V.; Bader, M.A. Developments in gas sensor technology for hydrogen safety. Int. J. Hydrog. Energy 2014, 39, 20474–20483. [Google Scholar] [CrossRef]
- Korotcenkov, G.; Han, S.D.; Stetter, J.R. Review of electrochemical hydrogen sensors. Chem. Rev. 2009, 109, 1402–1433. [Google Scholar] [CrossRef] [PubMed]
- Hübert, T.; Boon-Brett, L.; Black, G.; Banach, U. Hydrogen sensors–A review. Sens. Act. B 2011, 157, 329–352. [Google Scholar] [CrossRef]
- Chauhan, P.S.; Bhattacharya, S. Hydrogen gas sensing methods, materials, and approach to achieve parts per billion level detection: A review. Int. J. Hydrog. Energy 2013, 44, 26076–26099. [Google Scholar] [CrossRef]
- Gupta, R.B. Hydrogen Fuel: Production, Transport and Storage; CRC Press: Boca Raton, FL, USA, 2008. [Google Scholar]
- Shinde, P.V.; Rout, C.S. Magnetic gas sensing: Working principles and recent developments. Nanoscale Adv. 2021, 3, 1551–1568. [Google Scholar] [CrossRef]
- Gupta, R.; Sagade, A.A.; Kulkarni, G.U. A low cost optical hydrogen sensing device using nanocrystalline Pd grating. Int. J. Hydrog. Energy 2012, 37, 9443–9449. [Google Scholar] [CrossRef]
- Chang, C.S.; Kostylev, M.; Ivanov, E. Metallic spintronic thin film as a hydrogen sensor. Appl. Phys. Lett. 2013, 102, 142405. [Google Scholar] [CrossRef]
- Lueng, C.; Lupo, P.; Metaxas, P.J.; Kostylev, M.; Adeyeye, A.O. Nanopatterning-enhanced sensitivity and response time of dynamic palladium/cobalt/palladium hydrogen gas sensors. Adv. Mater. Technol. 2016, 2016, 1600097. [Google Scholar] [CrossRef]
- Lueng, C.; Lupo, P.; Metaxas, P.J.; Kostylev, M.; Adeyeye, A.O. Sensitivity of ferromagnetic resonance in PdCo alloyed films to hydrogen gas. Int. J. Hydrog. Energy 2019, 44, 7715–7724. [Google Scholar] [CrossRef]
- Chappert, C.; Bruno, P. Magnetic anisotropy in metallic ultrathin films and related experiments on cobalt films. J. Appl. Phys. 1988, 64, 5736–5741. [Google Scholar] [CrossRef]
- Tserkovnyak, Y.; Brataas, A.; Bauer, G.E.W. Spin pumping and magnetization dynamics in metallic multilayers. Phys. Rev. B 2002, 66, 224403. [Google Scholar] [CrossRef]
- Chappert, C.; Fert, A.; Dau, F.N.V. The emergence of spin electronics in data storage. Nat. Mater. 2019, 6, 813–823. [Google Scholar] [CrossRef] [PubMed]
- Ando, K.; Takahashi, S.; Ieda, J.; Kajiwara, Y.; Nakayama, H.; Yoshino, T.; Harii, K.; Fujikawa, Y.; Matsuo, M.; Maekawa, S.; et al. Inverse spin-Hall effect induced by spin pumping in metallic system. J. Appl. Phys. 2011, 109, 103913. [Google Scholar] [CrossRef]
- Brataas, A.; Kent, A.D.; Ohno, H. Current-induced torques in magnetic materials. Nat. Mater. 2012, 11, 372–381. [Google Scholar] [CrossRef] [PubMed]
- Maksymov, I.S.; Kostylev, M. Broadband stripline ferromagnetic resonance spectroscopy of ferro- magnetic films, multilayers and nanostructures. Phys. E 2015, 69, 253–293. [Google Scholar] [CrossRef]
- Zhang, W.; Jungfleisch, M.B.; Jiang, W.; Sklenar, J.; Fradin, F.Y.; Pearson, J.E.; Ketterson, J.B.; Hoffmann, A. Spin pumping and inverse spin Hall effects—Insights for future spin-orbitronics. J. Appl. Phys. 2015, 117, 172610. [Google Scholar] [CrossRef]
- Prinz, G.A. Magnetoelectronics. Science 1998, 282, 1660–1663. [Google Scholar] [CrossRef]
- Zvezdin, A.K.; Kotov, V.A. Modern Magnetooptics and Magnetooptical Materials; IOP Publishing: Bristol, UK, 1997. [Google Scholar]
- Armelles, G.; Cebollada, A.; García-Martín, A.; González, M.U. Magnetoplasmonics: Combining magnetic and plasmonic functionalities. Adv. Optical Mater. 2013, 1, 10–35. [Google Scholar] [CrossRef]
- Maksymov, I.S. Magneto-plasmonics and resonant interaction of light with dynamic magnetisation in metallic and all-magneto-dielectric nanostructures. Nanomaterials 2015, 5, 577–613. [Google Scholar] [CrossRef]
- Maksymov, I.S. Magneto-plasmonic nanoantennas: Basics and applications. Rev. Phys. 2016, 1, 36–51. [Google Scholar] [CrossRef]
- Johnson, M. Introduction to magnetoelectronics. In Magnetoelectronics; Johnson, M., Ed.; Academic Press: San Diego, CA, USA, 2004; pp. 1–65. [Google Scholar] [CrossRef]
- Dressen, J.; Bürgler, D.E.; Grünberg, P. Magneto-electronics. In Technology Guide: Principles—Applications—Trends; Bullinger, H.J., Ed.; Springer: Berlin/Heidelberg, Germany, 2009; pp. 88–91. [Google Scholar] [CrossRef]
- Makarov, D.; Melzer, M.; Karnaushenko, D.; Schmidt, O.G. Shapeable magnetoelectronics. Appl. Phys. Rev. 2016, 3, 011101. [Google Scholar] [CrossRef]
- Cai, S.Y.; Chang, C.H.; Lin, H.I.; Huang, Y.F.; Lin, W.J.; Lin, S.Y.; Liou, Y.R.; Shen, T.L.; Huang, Y.H.; Tsao, P.W.; et al. Ultrahigh sensitive and flexible magnetoelectronics with magnetic nanocomposites: Toward an additional perception of Artificial Intelligence. ACS Appl. Mater. Interfaces 2018, 10, 17393–17400. [Google Scholar] [CrossRef] [PubMed]
- Weller, D.; Wu, Y.; Stöhr, J.; Samant, M.G.; Hermsmeier, B.D.; Chappert, C. Orbital magnetic moments of Co in multilayers with perpendicular magnetic anisotropy. Phys. Rev. B 1994, 49, 12888–12896. [Google Scholar] [CrossRef] [PubMed]
- Tsymbal, E.Y. Electric toggling of magnets. Nat. Mater. 2012, 11, 12–13. [Google Scholar] [CrossRef] [PubMed]
- Alefeld, G.; Völkl, J. Hydrogen in Metals: Application-Oriented Properties; Springer: Berlin, Germany, 1978. [Google Scholar]
- Fukai, Y. The Metal-Hydrogen System: Basic Bulk Properties; Springer: Berlin, Germany, 2005. [Google Scholar]
- Goltsova, M.V. Effect of hydrogen-phase cold-work hardening on the palladium-hydride dehydrogenation kinetics . Metallofiz. Noveishie Tekhnol. 2017, 39, 465–475. (In Russian) [Google Scholar] [CrossRef]
- Goltsov, V.; Geld, P.; Kurumchina, S.; Belyaev, I.; Mitjushov, V.; Kagan, G.; Timofeey, N. Alloy on the Basis of Palladium for the Manufacture of Filtering Elements Used in Preparation of Hydrogen of Super-High Purity. U.S. Patent US3804616A, August 1973. [Google Scholar]
- Goltsov, V.A. The phenomenon of controllable hydrogen phase naklep and the prospects for its use in metal science and engineering. Mater. Sci. Eng. 1981, 49, 109–125. [Google Scholar] [CrossRef]
- Gradmann, U. Magnetic surface anisotropies. J. Mag. Mag. Mat. 1986, 54–57, 733–736. [Google Scholar] [CrossRef]
- Draaisma, H.J.G.; de Jonge, W.J.M.; den Broeder, F.J.A. Magnetic interface anisotropy in Pd/Co and Pd/Fe multilayers. J. Mag. Mag. Mat. 1987, 66, 351–355. [Google Scholar] [CrossRef]
- Engel, B.N.; England, C.D.; Leeuwen, R.V.; Nakada, M.; Falco, C.M. Magnetic properties of epitaxial Co/Pd superlattices. Appl. Phys. Lett. 1991, 69, 5643–5645. [Google Scholar]
- Takahashi, S. Physical Principles of Spin Pumping. In Handbook of Spintronics; Xu, Y., Awschalom, D.D., Nitta, J., Eds.; Springer: Dordrecht, The Netherlands, 2016; pp. 1445–1480. [Google Scholar] [CrossRef]
- Yoshino, T.; Ando, K.; Kajiwara, Y.; Nakayama, H.; Saitoh, E. Scaling fit of spin pumping in various ferromagnetic materials. J. Appl. Phys. 2012, 111, 07C502. [Google Scholar] [CrossRef]
- Watt, S.; Kostylev, M. Manipulation of the inverse spin Hall effect in palladium by absorption of hydrogen gas. Phys. Rev. B 2020, 101, 174422. [Google Scholar] [CrossRef]
- Endo, Y.; Takama, D.; Yamamoto, M.; Suenobu, T.; Fukuzumi, S. Change of interlayer exchange coupling in Fe/Y multilayers by hydrogenation. Jpn. J. Appl. Phys. 2005, 44, 158–162. [Google Scholar] [CrossRef]
- Weiss, C.; Hübner, R.; Saunders, M.; Semisalova, A.; Ehrler, J.; Schmidt, N.; Seyd, J.; Albrecht, M.; Anwar, S.; Lindner, J.; et al. Effects of hydrogen absorption on magnetism in Ni80Fe20/Y/Pd trilayers. Phys. Rev. B 2021, 104, 094429. [Google Scholar] [CrossRef]
- Valenzuela, S.O.; Tinkham, M. Direct electronic measurement of the spin Hall effect. Nature 2006, 442, 176–179. [Google Scholar] [CrossRef] [PubMed]
- Saitoh, E.; Ueda, M.; Miyajima, H. Conversion of spin current into charge current at room temperature: Inverse spin-Hall effect. Appl. Phys. Lett. 2006, 88, 182509. [Google Scholar] [CrossRef]
- Kimura, T.; Otani, Y.; Sato, T.; Takahashi, S.; Maekawa, S. Room-temperature reversible spin Hall effect. Phys. Rev. Lett. 2007, 98, 156601. [Google Scholar] [CrossRef]
- Sandweg, C.W.; Kajiwara, Y.; Chumak, A.V.; Serga, A.A.; Vasyuchka, V.I.; Jungfleisch, M.B.; Saitoh, E.; Hillebrands, B. Spin pumping by parametrically excited exchange magnons. Phys. Rev. Lett. 2011, 106, 216601. [Google Scholar] [CrossRef]
- Allwood, D.A.; Xiong, G.; Cooke, M.D.; Cowburn, R.P. Magneto-optical Kerr effect analysis of magnetic nanostructures. J. Phys. D Appl. Phys. 2003, 36, 2175–2182. [Google Scholar] [CrossRef]
- Barman, A.; Kimura, T.; Otani, Y.; Fukuma, Y.; Akahane, K.; Meguro, S. Benchtop time-resolved magneto-optical Kerr magnetometer. Rev. Sci. Instrum. 2008, 79, 123905. [Google Scholar] [CrossRef]
- Soldatov, I.V.; Schäfer, R. Selective sensitivity in Kerr microscopy. Rev. Sci. Instrum. 2017, 88, 073701. [Google Scholar] [CrossRef]
- Chang, P.C.; Chang, Y.Y.; Wang, W.H.; Lo, F.Y.; Lin, W.C. Vizualising hydrogen diffusion in magnetic film through magneto-optical Kerr effect. Commun. Chem. 2019, 2, 89. [Google Scholar] [CrossRef]
- Liu, N.; Tang, M.L.; Hentschel, M.; Giessen, H.; Alivisatos, A.P. Nanoantenna-enhanced gas sensing in a single tailored nanofocus. Nat. Mater. 2011, 10, 631–636. [Google Scholar] [CrossRef] [PubMed]
- Tittl, A.; Kremers, C.; Dorfmüller, J.; Chigrin, D.N.; Giessen, H. Spectral shifts in optical nanoantenna-enhanced hydrogen sensors. Opt. Mater. Express 2012, 2, 111–118. [Google Scholar] [CrossRef]
- Strohfeldt, N.; Tittl, A.; Giessen, H. Long-term stability of capped and buffered palladium-nickel thin films and nanostructures for plasmonic hydrogen sensing applications. Opt. Mater. Express 2013, 3, 194–204. [Google Scholar] [CrossRef]
- Tittl, A.; Giessen, H.; Liu, N. Plasmonic gas and chemical sensing. Nanophoton. 2014, 3, 157–180. [Google Scholar] [CrossRef]
- Cusinato, L.; Schreuders, A.S.A.H.; Bannenberg, L.J.; da Silva Fanta, A.B.; Wagner, S.K.J.B.; Hellman, T.J.A.A.; Zhdanov, V.P.; Langhammer, B.D.C. Metal–polymer hybrid nanomaterials for plasmonic ultrafast hydrogen detection. Nat. Mater. 2019, 18, 489–495. [Google Scholar]
- Herkert, E.; Sterl, F.; Strohfeldt, N.; Walter, R.; Giessen, H. Low-cost hydrogen sensor in the ppm range with purely optical readout. ACS Sens. 2020, 5, 978–983. [Google Scholar] [CrossRef]
- Gerber, A.; Milner, A.; Karpovsky, M.; Lemke, B.; Habermeier, H.U.; Tuaillon-Combes, J.; Négrier, M.; Boisron, O.; Mélinon, P.; Perez, A. Extraordinary Hall effect in magnetic films. J. Mag. Mag. Mat. 2002, 242–245, 90–97. [Google Scholar] [CrossRef]
- Gerber, A.; Riss, O. Perspective of spintronics applications based on the extraordinary Hall effect. J. Nanoelectron. Optoelectron. 2008, 3, 35–43. [Google Scholar] [CrossRef][Green Version]
- Nagaosa, N.; Sinova, J.; Onoda, S.; MacDonald, A.H.; Ong, N.P. Anomalous Hall effect. Rev. Mod. Phys. 2010, 82, 1539–1592. [Google Scholar] [CrossRef]
- Hirohata, A.; Yamada, K.; Nakatani, Y.; Prejbeanu, I.L.; Diény, B.; Pirro, P.; Hillebrands, B. Review on spintronics: Principles and device applications. J. Mag. Mag. Mat. 2020, 509, 166711. [Google Scholar] [CrossRef]
- Hurd, C.M. The Hall Effect in Metals and Alloys; Plenum Press: New York, NY, USA, 1972. [Google Scholar]
- Karplus, R.; Luttinger, J.M. Hall effect in ferromagnetics. Phys. Rev. 1954, 95, 1154–1160. [Google Scholar] [CrossRef]
- Zheng, L.; He, Z.; Zhang, R.; Qu, J.; Feng, D.; He, J.; Chen, H.; Yun, F.; Cheng, Y.; Li, Z.; et al. Enhancement of anomalous Hall effect via interfacial scattering in metal-organic semiconductor Fex(C60)1-x granular films near the metal-insulator transition. Adv. Funct. Mater. 2019, 29, 1808747. [Google Scholar] [CrossRef]
- Buttner, W.J.; Post, M.B.; Burgess, R.; Rivkin, C. An overview of hydrogen safety sensors and requirements. Int. J. Hydrog. Energy 2011, 36, 2462–2470. [Google Scholar] [CrossRef]
- Bartczak, W.M.; Stawowska, J. Interaction of dihydrogen with transition metal (Pd, Ni, Ag, Cu) Clusters. Struct. Chem. 2004, 15, 447–459. [Google Scholar] [CrossRef]
- Lin, W.C.; Wang, B.Y.; Huang, H.Y.; Tsai, C.J.; Mudinepalli, V.R. Hydrogen absorption-induced reversible change in magnetic properties of Co–Pd alloy films. J. Alloys Compd. 2016, 661, 20–26. [Google Scholar] [CrossRef]
- Ohno, S.; Wilde, M.; Fukutani, K. Novel insight into the hydrogen absorption mechanism at the Pd(110) surface. J. Chem. Phys. 2014, 140, 134705. [Google Scholar] [CrossRef]
- Manchester, F.D.; San-Martin, A.; Pitre, J.M. The H-Pd (hydrogen-palladium) System. J. Phase Equilibria 1994, 15, 62–83. [Google Scholar] [CrossRef]
- Ollagnier, A.; Fabre, A.; Thundat, T.; Finot, E. Activation process of reversible Pd thin film hydrogen sensors. Sensor Actuator B–Chem. 2013, 186, 258–262. [Google Scholar] [CrossRef]
- Lee, E.; Lee, J.M.; Koo, J.H.; Lee, W.; Lee, T. Hysteresis behavior of electrical resistance in Pd thin films during the process of absorption and desorption of hydrogen gas. Int. J. Hydrog. Energy 2010, 35, 6984–6991. [Google Scholar] [CrossRef]
- Harumoto, T.; Ohnishi, Y.; Nishio, K.; Ishiguro, T.; Shi, J.; Nakamura, Y. In-situ X-ray diffraction study of hydrogen absorption and desorption processes in Pd thin films: Hydrogen composition dependent anisotropic expansion and its quantitative description. AIP Adv. 2017, 7, 065108. [Google Scholar] [CrossRef]
- Callori, S.J.; Rehm, C.; Causer, G.L.; Kostylev, M.; Klose, F. Hydrogen absorption in metal thin films and heterostructures investigated in situ with neutron and X-ray scattering. Metals 2016, 6, 125. [Google Scholar] [CrossRef]
- Mroczkowski, R.S. Electronic Connector Handbook: Theory and Applications; McGraw-Hill Professional: New York, NY, USA, 1998. [Google Scholar]
- Langhammer, C.; Yuan, Z.; Zoric, I.; Kasemo, B. Plasmonic properties of supported Pt and Pd nanostructures. Nano Lett. 2006, 6, 833–838. [Google Scholar] [CrossRef] [PubMed]
- Wadell, C.; Syrenova, S.; Langhammer, C. Plasmonic hydrogen sensing with nanostructured metal hydrides. ACS Nano 2014, 8, 11925–11940. [Google Scholar] [CrossRef] [PubMed]
- Chen, Y.J.; Lin, F.C.; Singh, A.K.; Ouyang, L.; Huang, J.S. Spectrometer-free optical hydrogen sensing based on Fano-like spatial distribution of transmission in a metal-insulator-metal plasmonic Doppler grating. Adv. Opt. Mater. 2021, 9, 2100869. [Google Scholar] [CrossRef]
- Lin, W.C.; Chi, C.S.; Ho, T.Y.; Tsai, C.J.; Lo, F.Y.; Chuang, H.C.; Chern, M.Y. Hydrogenation-induced change of magneto optical Kerr effect in Pd/Fe bilayers. J. Appl. Phys. 2012, 112, 063914. [Google Scholar] [CrossRef]
- Lin, W.C.; Chi, C.S.; Ho, T.Y.; Tsai, C.J. Hydrogen absorption induced reversible effect on magneto-optical property of Pd/Fe, Pd/Co and Pd/Ni bilayers. Thin Solid Films 2013, 531, 487–490. [Google Scholar] [CrossRef]
- Liang, J.Y.; Pai, Y.C.; Lam, T.N.; Lin, W.C.; Chan, T.S.; Lai, C.H.; Tseng, Y.C. Using magnetic structure of Co40Pd60/Cu for the sensing of hydrogen. Appl. Phys. Lett. 2017, 111, 023503. [Google Scholar] [CrossRef]
- Chang, P.C.; Liu, C.M.; Hsu, C.C.; Lin, W.C. Hydrogen-mediated magnetic domain formation and domain wall motion in Co30Pd70 alloy flms. Sci. Reps. 2018, 8, 6656. [Google Scholar] [CrossRef]
- Lee, E.; Lee, J.; Noh, J.S.; Kim, W.; Lee, T.; Maeng, S.; Lee, W. Pd–Ni hydrogen sponge for highly sensitive nanogap-based hydrogen sensors. Int. J. Hydr. Energy 2012, 37, 14702–14706. [Google Scholar] [CrossRef]
- Winer, G.; Segal, A.; Karpovski, M.; Shelukhin, V.; Gerber, A. Probing Co/Pd interfacial alloying by the extraordinary Hall effect. J. Appl. Phys. 2015, 118, 173901. [Google Scholar] [CrossRef]
- Gerber, A.; Kopnov, G.; Karpovski, M. Hall effect spintronics for gas detection. Appl. Phys. Lett. 2017, 111, 143505. [Google Scholar] [CrossRef]
- Hsu, C.C.; Chiu, H.C.; Mudinepalli, V.R.; Chen, Y.C.; Chang, P.C.; Wu, C.T.; Yen, H.W.; Lin, W.C. Modulation of magnetic anisotropy through self-assembled surface nanoclusters: Evolution of morphology and magnetism in Co–Pd alloy films. Appl. Surf. Sci. 2017, 416, 133–143. [Google Scholar] [CrossRef]
- Akamaru, S.; Kimura, A.; Hara, M.; Nishimura, K.; Abe, T. Hydrogenation effect on magnetic properties of Pd-Co alloys. J. Mag. Mag. Mater. 2019, 484, 8–13. [Google Scholar] [CrossRef]
- Wang, B.Y.; Shih, C.W.; Tsai, M.S.; Chen, C.J.; Lin, K.; Li, J.J.; Huang, C.W.; Lin, W.C.; Weng, S.C. Hydrogenation-induced strengthening of exchange bias coupling in antiferromagnetic Pd-rich alloy films. J. Alloys Compd. 2018, 748, 223–229. [Google Scholar] [CrossRef]
- Chang, P.C.; Chuang, T.H.; Wei, D.H.; Lin, W.C. Thermally modulated hydrogenation in FexPd1-x alloy films: Temperature-driven peculiar variation of magnetism. Appl. Phys. Lett. 2020, 116, 102407. [Google Scholar] [CrossRef]
- Ando, K.; Saitoh, E. Inverse spin-Hall effect in palladium at room temperature. J. Appl. Phys. 2010, 108, 113925. [Google Scholar] [CrossRef]
- Harii, K.; Ando, K.; Sasage, K.; Saitoh, E. Detection of inverse spin-Hall effect in palladium. Phys. Status Solidi 2007, 4, 4437–4440. [Google Scholar] [CrossRef]
- Engel, B.N.; England, C.D.; Leeuwen, R.A.V.; Wiedmann, M.H.; Falco, C.M. Interface magnetic anisotropy in epitaxial superlattices. Phys. Rev. Lett. 1991, 67, 1910–1913. [Google Scholar] [CrossRef]
- Law, R.; Sbiaa, R.; Liew, T.; Chong, T.C. Effects of Ta seed layer and annealing on magnetoresistance in CoFe/Pd-based pseudo-spin-valves with perpendicular anisotropy. Appl. Phys. Lett. 2007, 91, 242504. [Google Scholar] [CrossRef]
- Foros, J.; Woltersdorf, G.; Heinrich, B.; Brattas, A. Scattering of spin current injected in Pd(001). J. Appl. Phys. 2005, 97, 10A714. [Google Scholar] [CrossRef]
- Shaw, J.M.; Nembach, H.T.; Silva, T.J. Determination of spin pumping as a source of linewidth in sputtered Co90Fe10/Pd multilayers by use of broadband ferromagnetic resonance spectroscopy. Phys. Rev. B 2012, 85, 054412. [Google Scholar] [CrossRef]
- Okamoto, S.; Kitakami, O.; Shimada, Y. Enhancement of magnetic anisotropy of hydrogenated Pd/Co/Pd trilayers. J. Magn. Magn. Mater. 2002, 239, 313–315. [Google Scholar] [CrossRef]
- Munbodh, K.; Perez, F.A.; Keenan, C.; Lederman, D.; Zhernenkov, M.; Fitzsimmons, M.R. Effects of hydrogen/deuterium absorption on the magnetic properties of Co/Pd multilayers. Phys. Rev. B 2011, 83, 094432. [Google Scholar] [CrossRef]
- Munbodh, K.; Perez, F.A.; Lederman, D. Changes in magnetic properties of Co/Pd multilayers induced by hydrogen absorption. J. Appl. Phys. 2012, 111, 123919. [Google Scholar] [CrossRef]
- Klyukin, K.; Beach, G.; Yildiz, B. Hydrogen tunes magnetic anisotropy by affecting local hybridization at the interface of a ferromagnet with nonmagnetic metals. Phys. Rev. Mater. 2020, 4, 104416. [Google Scholar] [CrossRef]
- Lueng, C.; Zighem, F.; Faurie, D.; Kostylev, M. Ferromagnetic resonance investigation of physical origins of modification of the perpendicular magnetic anisotropy in Pd/Co layered films in the presence of hydrogen gas. J. Appl. Phys. 2017, 122, 163901. [Google Scholar] [CrossRef]
- Lin, W.C.; Tsai, C.J.; Wang, B.Y.; Kao, C.H.; Pong, W.F. Hydrogenation induced reversible modulation of perpendicular magnetic coercivity in Pd/Co/Pd films. Appl. Phys. Lett. 2013, 102, 252404. [Google Scholar] [CrossRef]
- Lin, W.C.; Tsai, C.J.; Liu, X.M.; Adeyeye, A.O. Critical hydrogenation effect on magnetic coercivity of perpendicularly magnetized Co/Pd multilayer nanostructures. J. Appl. Phys. 2014, 116, 073904. [Google Scholar] [CrossRef]
- Trabesinger, A.H. Sensor extraordinaire. Nat. Phys. 2017, 13, 1037. [Google Scholar] [CrossRef]
- Das, S.S.; Kopnov, G.; Gerber, A. Positive vs negative resistance response to hydrogenation in palladium and its alloys. API Adv. 2020, 10, 065129. [Google Scholar] [CrossRef]
- Harumoto, T.; Shi, J.; Nakamura, Y. Effects of stress and defects on hydrogenation and magnetic properties in (111) fiber-textured palladium cobalt alloy films. Int. J. Hydr. Energy 2020, 45, 11662–11674. [Google Scholar] [CrossRef]
- Harumoto, T.; Nakamura, Y.; Shi, J. Correlation among hydrogenation, magnetoelastic coupling, magnetic anisotropy, and magnetoresistance in magnetostrictive, hydrogen-absorbing palladium-cobalt alloy films for hydrogen sensing. Int. J. Hydr. Energy 2021, 46, 30204–30215. [Google Scholar] [CrossRef]
- Harumoto, T.; Shi, J.; Nakamura, Y.; Takahashi, A. Origin of large magnetostriction in palladium cobalt and palladium nickel alloys: Strong pseudo-dipole interactions between palladium–cobalt and palladium–nickel atomic pairs. Appl. Phys. Lett. 2021, 118, 102401. [Google Scholar] [CrossRef]
- Schefer, T.A.; Martyniuk, M.; Kostylev, M. Effect of hydrogen gas on ferromagnetic resonance properties of Ni–Co–Pd ternary alloy films. IEEE Trans. Magn. 2021, 57, 6100505. [Google Scholar] [CrossRef]
- Das, S.S.; Kopnov, G.; Gerber, A. Detection of hydrogen by the extraordinary Hall effect in CoPd alloys. J. Appl. Phys. 2018, 124, 104502. [Google Scholar] [CrossRef]
- Liang, J.Y.; Chou, Y.J.; Yin, C.W.; Lin, W.C.; Lin, H.J.; Chen, P.W.; Tseng, Y.C. Realization of an H2/CO dual-gas sensor using CoPd magnetic structures. Appl. Phys. Lett. 2018, 113, 182401. [Google Scholar] [CrossRef]
- Hsu, C.C.; Chang, P.C.; Chen, Y.H.; Liu, C.M.; Wu, C.T.; Yen, H.W.; Lin, W.C. Reversible 90-degree rotation of Fe magnetic moment using hydrogen. Sci. Reps. 2018, 8, 3251. [Google Scholar] [CrossRef]
- Yang, F.; Taggart, D.K.; Penner, R.M. Fast, sensitive hydrogen gas detection using single palladium nanowires that resist fracture. Nano Lett. 2009, 9, 2177–2182. [Google Scholar] [CrossRef]
- Lueng, C.M. Hydrogen Gas Sensing with Magnetic Nanomaterials. Ph.D Thesis, The University of Western Australia, Crawley, Australia, 2017. [Google Scholar]
- Maksymov, I.S.; Kostylev, M. Impact of conducting nonmagnetic layers on the magnetization dynamics in thin-film magnetic nanostructures. J. Appl. Phys. 2013, 113, 043927. [Google Scholar] [CrossRef]
- Maksymov, I.S.; Zhang, Z.; Chang, C.; Kostylev, M. Strong eddy-current shielding of ferromagnetic resonance response in sub-skin-depth-thick conducting magnetic multilayers. IEEE Magnet. Lett. 2014, 5, 3500104. [Google Scholar] [CrossRef]
- Henriksson, J.; Villanueva, L.G.; Brugger, J. Ultra-low power hydrogen sensing based on a palladium-coated nanomechanical beam resonator. Nanoscale 2012, 16, 5059–5064. [Google Scholar] [CrossRef] [PubMed]
- Dankert, O.; Pundt, A. Hydrogen-induced percolation in discontinuous films. Appl. Phys. Lett. 2002, 81, 1618–1620. [Google Scholar] [CrossRef]
- Mizukami, S.; Sajitha, E.P.; Watanabe, D.; Wu, F.; Miyazaki, T.; Naganuma, H.; Oogane, M.; Ando, Y. Gilbert damping in perpendicularly magnetized Pt/Co/Pt films investigated by all-optical pump-probe technique. Appl. Phys. Lett. 2010, 96, 152502. [Google Scholar] [CrossRef]
- Pal, S.; Rana, B.; Hellwig, O.; Thomson, T.; Barman, A. Tunable magnonic frequency and damping in [Co/Pd]8 multilayers with variable Co layer thickness. Appl. Phys. Lett. 2011, 98, 082501. [Google Scholar] [CrossRef]
- Lueng, C.; Metaxas, P.J.; Kostylev, M. Pd/Co bi-layer films for microwave-frequency hydrogen gas sensing applications. In Proceedings of the 2014 Conference on Optoelectronic and Microelectronic Materials Devices, Perth, Australia, 14–17 December 2014; pp. 27–29. [Google Scholar] [CrossRef]
- Hirohata, A.; Sukegawa, H.; Yanagihara, H.; Ẑutic, I.; Seki, T.; Mizukami, S.; Swaminathan, R. Roadmap for emerging materials for spintronic device applications. IEEE Trans. Mag. 2015, 51, 0800511. [Google Scholar] [CrossRef]
- Richter, F.; Lotter, U. On the volume magnetostriction of nickel, iron, and cobalt. Phys. Status Solidi 1969, 34, K149. [Google Scholar] [CrossRef]
- Maksymov, I.S.; Greentree, A.D. Plasmonic nanoantenna hydrophones. Sci. Reps. 2016, 6, 32892. [Google Scholar] [CrossRef]
- Suo, Z.; Ma, E.Y.; Gleskova, H.; Wagner, S. Mechanics of rollable and foldable film-on-foil electronics. Appl. Phys. Lett. 1999, 74, 1177–1179. [Google Scholar] [CrossRef]
- Kaloyeros, A.E.; Pan, Y.; Goff, J.; Arkles, B. Review–cobalt thin films: Trends in processing technologies and emerging applications. ECS J. Solid State Sci. Technol. 2019, 8, P119. [Google Scholar] [CrossRef]
- Jen, S.U.; Wu, T.C. Young’s modulus and hardness of Pd thin films. Thin Solid Films 2005, 492, 166–172. [Google Scholar] [CrossRef]
- Lueng, C.; Metaxas, P.J.; Kostylev, M. Sensitivity enhancement of a Pd/Co bilayer film for hydrogen gas sensing using a perpendicular-to-plane ferromagnetic resonance configuration. IEEE Trans. Magn. 2016, 52, 4002503. [Google Scholar] [CrossRef]
- Lueng, C.; Metaxas, P.J.; Sushruth, M.; Kostylev, M. Adjustable sensitivity for hydrogen gas sensing using perpendicular-to-plane ferromagnetic resonance in Pd/Co bi-layer films. Int. J. Hydrogen Energy 2017, 42, 3407–3414. [Google Scholar] [CrossRef]
- Schefer, T.A.; Kostylev, M. Effect of hydrogen gas on the FMR absorption amplitude of Pd/Co layered films. IEEE Trans. Magn. 2018, 54, 4001305. [Google Scholar] [CrossRef]
- Kim, D.O.; Song, K.M.; Choi, Y.; Min, B.C.; Kim, J.S.; Choi, J.W.; Lee, D.R. Asymmetric magnetic proximity effect in a Pd/Co/Pd trilayer system. Sci. Reps. 2016, 6, 25391. [Google Scholar] [CrossRef] [PubMed]
- Conca, A.; Keller, S.; Mihalceanu, L.; Kehagias, T.; Dimitrakopulos, G.P.; Hillebrands, B.; Papaioannou, E.T. Study of fully epitaxial Fe/Pt bilayers for spin pumping by ferromagnetic resonance spectroscopy. Phys. Rev. B 2016, 93, 134405. [Google Scholar] [CrossRef]
- Ando, K.; Takahashi, S.; Ieda, J.; Kurebayashi, H.; Trypiniotis, T.; Barnes, C.H.W.; Maekawa, S.; Saitoh, E. Inverse spin-Hall effect induced by spin pumping in metallic system. Nat. Mater. 2011, 10, 655–659. [Google Scholar] [CrossRef]
- Watt, S.; Cong, R.; Lueng, C.; Sushruth, M.; Metaxas, P.J.; Kostylev, M. Impact of hydrogen gas on the inverse spin Hall effect in palladium/cobalt bilayer films. IEEE Magn. Lett. 2018, 9, 3101004. [Google Scholar] [CrossRef]
- Caminale, M.; Ghosh, A.; Auffret, S.; Ebels, U.; Ollefs, K.; Wilhelm, F.; Rogalev, A.; Bailey, W.E. Spin pumping damping and magnetic proximity effect in Pd and Pt spin-sink layers. Phys. Rev. B 2016, 94, 014414. [Google Scholar] [CrossRef]
- Rojas-Sánchez, J.C.; Reyren, N.; Laczkowski, P.; Savero, W.; Attané, J.P.; Deranlot, C.; Jamet, M.; George, J.M.; Vila, L.; Jaffrés, H. Spin pumping and inverse spin Hall effect in platinum: The essential role of spin-memory loss at metallic interfaces. Phys. Rev. Lett. 2012, 112, 106602. [Google Scholar] [CrossRef]
- Kamada, Y.; Itoh, A.; Takama, D.; Yamamoto, M. Effects of hydrogenation on the structure, transport, and magnetic properties of multilayers composed of transition metals and rare-earth metals. Trans. Magn. Soc. Jpn. 2002, 2, 69–75. [Google Scholar] [CrossRef]
- Endo, Y.; Matsuura, K.; Yamamoto, M.; Kamada, Y.; Itoh, A.; Suenobu, T.; Fukuzumi, S. Effects of hydrogenation on structure and magnetic properties of Fe/La multilayers. Sci. Technol. Adv. Mater. 2004, 5, 95–100. [Google Scholar] [CrossRef]
- Favier, F.; Walter, E.C.; Zach, M.P.; Benter, T.; Penner, R.M. Hydrogen sensors and switches from electrodeposited palladium mesowire arrays. Science 2001, 293, 2227–2231. [Google Scholar] [CrossRef] [PubMed]
- Lim, Y.; Lee, Y.; Heo, J.I.; Shin, H. Highly sensitive hydrogen gas sensor based on a suspended palladium/carbon nanowire fabricated via batch microfabrication processes. Sens. Actuators B Chem. 2015, 210, 218–224. [Google Scholar] [CrossRef]
- Cullity, B.D.; Graham, C.D. Introduction to Magnetic Materials, 2nd ed.; Wiley-IEEE: New York, NY, USA, 2008. [Google Scholar]
- Ding, J.; Kostylev, M.; Adeyeye, A.O. Magnetic hysteresis of dynamic response of one-dimensional magnonic crystals consisting of homogenous and alternating width nanowires observed with broadband ferromagnetic resonance. Phys. Rev. B 2011, 84, 054425. [Google Scholar] [CrossRef]
- Singh, N.; Goolaup, S.; Adeyeye, A.O. Fabrication of large area nanomagnets. Nanotechnology 2004, 15, 1539. [Google Scholar] [CrossRef]
- Gubbiotti, G.; Tacchi, S.; Madami, M.; Carlotti, G.; Adeyeye, A.O.; Kostylev, M. Brillouin light scattering studies of planar metallic magnonic crystals. J. Phys. D Appl. Phys. 2010, 43, 264003. [Google Scholar] [CrossRef]
- Guslienko, K.Y.; Demokritov, S.O.; Hillebrands, B.; Slavin, A.N. Effective dipolar boundary conditions for dynamic magnetization in thin magnetic stripes. Phys. Rev. B 2002, 66, 132402. [Google Scholar] [CrossRef]
- Khan, S.; Lawler, N.B.; Bake, A.; Rahman, R.; Cortie, D.; Iyer, K.S.; Martyniuk, M.; Kostylev, M. Iron oxide-palladium core-shell nanospheres for ferromagnetic resonance-based hydrogen gas sensing. Int. J. Hydrogen Energy, 2022; in press. [Google Scholar] [CrossRef]
- Sun, L.; Chen, M.; Peng, X.; Xie, B.; Han, M. The effects of Ni contents on hydrogen sensing response of closely spaced Pd-Ni alloy nanoparticle films. Int. J. Hydrogen Energy 2016, 41, 1341. [Google Scholar] [CrossRef]
- Chadwick, B.; Tann, J.; Brungs, M.; Gal, M. A hydrogen sensor based on the optical generation of surface plasmons in a palladium alloy. Sens. Act. B 1995, 17, 215–220. [Google Scholar] [CrossRef]
- Hughes, R.C.; Schubert, W.K.; Buss, R.J. Solid-state hydrogen sensors using palladium-nickel alloys: Effect of alloy composition on sensor response. J. Electrochem. Soc. 1995, 142, 249–254. [Google Scholar] [CrossRef]
- Hughes, R.C.; Schubert, W.K. Thin films of Pd/Ni alloys for detection of high hydrogen concentrations. J. Appl. Phys. 1992, 39, 542–544. [Google Scholar] [CrossRef]
- Lewis, F.A. The Palladium Hydrogen System; Academic: New York, NY, USA, 1967. [Google Scholar]
- Rice, D.W.; Suits, J.; Nepela, D.; Tremoureux, R. Magnetic, surface, and corrosion properties of Ni-Fe-Pd thin films. J. Appl. Phys. 1979, 50, 7089–7092. [Google Scholar] [CrossRef]
- Ododo, J.C. Percolation concentration and saturation of the Pd moment in ferromagnetic Pd alloys. J. Phys. F Metal Phys. 1983, 13, 1291. [Google Scholar] [CrossRef]
- Mudinepalli, V.R.; Chen, Y.C.; Chang, P.C.; Hsu, C.C.; Tsai, C.Y.; Chiu, H.C.; Wu, C.T.; Yen, H.W.; Shih, S.J.; Lin, W.C. Hydrogenation effect on uniaxial magnetic anisotropy of a CoxPd1-x alloy microstructure. J. Alloys Compd. 2017, 695, 2365–2373. [Google Scholar] [CrossRef]
- Kim, S.K.; Koo, Y.M.; Chernov, V.A.; Kortright, J.B.; Shin, S.C. Comparison of atomic structure anisotropy between Co-Pd alloys and Co/Pd multilayer films. Phys. Rev. B 2000, 62, 3025–3028. [Google Scholar] [CrossRef]
- Wang, D.; Lee, K.Y.; Luo, S.; Flanagan, T.B. The thermodynamics of hydrogen absorption/desorption by Pd-Co alloys. J. Alloys Compd. 1997, 252, 209–218. [Google Scholar] [CrossRef]
- Kyuno, K.; Ha, J.G.; Yamamoto, R.; Asano, S. Perpendicular magnetic anisotropy of metallic multilayers composed of magnetic layers only: Ni/Co and Ni/Fe multilayers. Jpn. J. Appl. Phys. 1996, 35, 2774. [Google Scholar] [CrossRef]
- Kostylev, M.; Causer, G.L.; Lambert, C.H.; Schefer, T.; Weiss, C.; Callori, S.J.; Salahuddin, S.; Wang, X.L.; Klose, F. In situ ferromagnetic resonance capability on a polarized neutron reflectometry beamline. J. Appl. Cryst. 2017, 51, 9–16. [Google Scholar] [CrossRef]
- Causer, G.L.; Kostylev, M.; Cortie, D.L.; Lueng, C.; Callori, S.J.; Wang, X.L.; Klose, F. In operando study of the hydrogen-induced switching of magnetic anisotropy at the Co/Pd interface for magnetic hydrogen gas sensing. ACS Appl. Mater. Interfaces 2019, 11, 35420–35428. [Google Scholar] [CrossRef]
- Khan, S.; Martyniuk, M.; Kostylev, M. Response enhancement of a magnetic-film based hydrogen gas sensor using size reduction to microchip dimensions. In Proceedings of the 2018 Conference on Optoelectronic and Microelectronic Materials Devices, Perth, Australia, 9–13 December 2018; pp. 19–21. [Google Scholar] [CrossRef]
- Tseng, Y.; Liang, J.; Pai, Y.; Chou, Y.; Lin, W.; Lai, C. Hydrogen Sensing Device. U.S. Patent 10753917B2, 25 August 2020. [Google Scholar]
- An, H.; Haku, S.; Kageyama, Y.; Musha, A.; Tazaki, Y.; Ando, K. Spin-torque manipulation for hydrogen sensing. Adv. Funct. Mater. 2020, 30, 2002897. [Google Scholar] [CrossRef]
- Hirai, T.; Hasegawa, K.; Ota, S.; Suzuki, M.; Koyama, T.; Chiba, D. Modification of interfacial spin-orbit torque in Co/Pt/oxide hybrid structures. Phys. Rev. B 2021, 104, 134401. [Google Scholar] [CrossRef]
- Vasiliev, A.A.; Varfolomeev, A.E.; Volkov, I.A.; Simonenko, N.P.; Arsenov, P.V.; Vlasov, I.S.; Ivanov, V.V.; Pislyakov, A.V.; Lagutin, A.S.; Jahatspanian, I.E.; et al. Reducing humidity response of gas sensors for medical applications: Use of spark discharge synthesis of metal oxide nanoparticles. Sensors 2018, 18, 2600. [Google Scholar] [CrossRef]



















| Publisher’s Note: MDPI stays neutral with regard to jurisdictional claims in published maps and institutional affiliations. | 
© 2022 by the authors. Licensee MDPI, Basel, Switzerland. This article is an open access article distributed under the terms and conditions of the Creative Commons Attribution (CC BY) license (https://creativecommons.org/licenses/by/4.0/).
Share and Cite
Maksymov, I.S.; Kostylev, M. Magneto-Electronic Hydrogen Gas Sensors: A Critical Review. Chemosensors 2022, 10, 49. https://doi.org/10.3390/chemosensors10020049
Maksymov IS, Kostylev M. Magneto-Electronic Hydrogen Gas Sensors: A Critical Review. Chemosensors. 2022; 10(2):49. https://doi.org/10.3390/chemosensors10020049
Chicago/Turabian StyleMaksymov, Ivan S., and Mikhail Kostylev. 2022. "Magneto-Electronic Hydrogen Gas Sensors: A Critical Review" Chemosensors 10, no. 2: 49. https://doi.org/10.3390/chemosensors10020049
APA StyleMaksymov, I. S., & Kostylev, M. (2022). Magneto-Electronic Hydrogen Gas Sensors: A Critical Review. Chemosensors, 10(2), 49. https://doi.org/10.3390/chemosensors10020049
 
         
                                                

