Can Foraminal Stenosis Due to Lumbar Isthmic Spondylolisthesis Cause Axonopathy in the Lower Extremity?
Abstract
1. Introduction
2. Materials and Methods
2.1. Assessments
2.2. Statistics
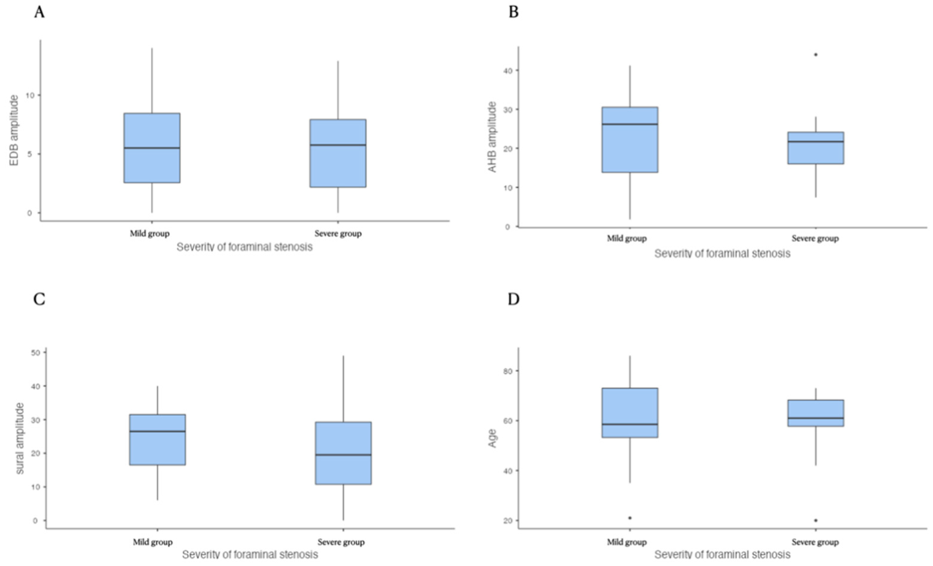
3. Result
4. Discussion
Author Contributions
Funding
Institutional Review Board Statement
Informed Consent Statement
Data Availability Statement
Acknowledgments
Conflicts of Interest
References
- Lee, B.H.; Moon, S.-H.; Suk, K.-S.; Kim, H.-S.; Yang, J.-H.; Lee, H.-M. Lumbar Spinal Stenosis: Pathophysiology and Treatment Principle: A Narrative Review. Asian Spine J. 2020, 14, 682–693. [Google Scholar] [CrossRef] [PubMed]
- Mackinnon, S.E. Pathophysiology of nerve compression. Hand Clin. 2002, 18, 231–241. [Google Scholar] [CrossRef]
- Reinhold, A.K.; Rittner, H.L. Barrier function in the peripheral and central nervous system—A review. Pflügers Arch.-Eur. J. Physiol. 2017, 469, 123–134. [Google Scholar] [CrossRef]
- Kobayashi, S. Pathophysiology, diagnosis and treatment of intermittent claudication in patients with lumbar canal stenosis. World J. Orthop. 2014, 5, 134–145. [Google Scholar] [CrossRef] [PubMed]
- Kobayashi, S.; Yoshizawa, H.; Yamada, S. Pathology of lumbar nerve root compression Part 2: Morphological and immunohistochemical changes of dorsal root ganglion. J. Orthop. Res. 2004, 22, 180–188. [Google Scholar] [CrossRef]
- Ozcan-Eksi, E.E.; Yagci, I.; Erkal, H.; Demir-Deviren, S. Paraspinal muscle denervation and balance impairment in lumbar spinal stenosis. Muscle Nerve 2015, 53, 422–430. [Google Scholar] [CrossRef] [PubMed]
- Jang, S.W.; Lee, D.G. Can the severity of central lumbar stenosis affect the results of nerve conduction study? Medicine 2020, 99, e21466. [Google Scholar] [CrossRef] [PubMed]
- Kaufman, M.A. Differential Diagnosis and Pitfalls in Electrodiagnostic Studies and Special Tests for Diagnosing Compressive Neuropathies. Orthop. Clin. N. Am. 1996, 27, 245–252. [Google Scholar] [CrossRef]
- Silav, G.; Arslan, M.; Comert, A.; Acar, H.I.; Kahilogullari, G.; Dolgun, H.; Tubbs, R.S.; Tekdemir, I. Relationship of dorsal root ganglion to intervertebral foramen in lumbar region: An anatomical study and review of literature. J. Neurosurg. Sci. 2016, 60, 339–344. [Google Scholar] [PubMed]
- Sakka, L.; Gabrillargues, J.; Coll, G. Anatomy of the Spinal Meninges. Oper. Neurosurg. 2015, 12, 168–188. [Google Scholar] [CrossRef]
- Lee, S.; Lee, J.W.; Yeom, J.S.; Kim, K.-J.; Kim, H.-J.; Chung, S.K.; Kang, H.S. A Practical MRI Grading System for Lumbar Foraminal Stenosis. Am. J. Roentgenol. 2010, 194, 1095–1098. [Google Scholar] [CrossRef] [PubMed]
- El Miedany, Y.; Aty, S.; Ashour, S. Ultrasonography versus nerve conduction study in patients with carpal tunnel syndrome: Substantive or complementary tests? Rheumatology 2004, 43, 887–895. [Google Scholar] [CrossRef] [PubMed]
- Choi, S.-J.; Ahn, J.H.; Ryu, D.S.; Kang, C.H.; Jung, S.M.; Park, M.S.; Shin, D.-R. Ultrasonography for nerve compression syndromes of the upper extremity. Ultrasonography 2015, 34, 275–291. [Google Scholar] [CrossRef] [PubMed]
- The Jamovi Project. Jamovi, Version 1.2; Computer Software, 2020. Available online: https://www.jamovi.org (accessed on 1 April 2021).
- Haig, A.J.; Tong, H.C.; Yamakawa, K.S.J.; Quint, D.J.; Hoff, J.T.; Chiodo, A.; Miner, J.A.; Choksi, V.R.; Geisser, M.E. The Sensitivity and Specificity of Electrodiagnostic Testing for the Clinical Syndrome of Lumbar Spinal Stenosis. Spine 2005, 30, 2667–2676. [Google Scholar] [CrossRef] [PubMed]
- Adamova, B.; Vohanka, S.; Dusek, L. Dynamic electrophysiological examination in patients with lumbar spinal stenosis: Is it useful in clinical practice? Eur. Spine J. 2004, 14, 269–276. [Google Scholar] [CrossRef][Green Version]
- Forero, J.J.; Ortiz-Corredor, F.; Díaz-Ruiz, J.; Lozano-Castillo, A.; Mendoza-Pulido, C. Changes in Electromyographic Results of Patients with Lumbar Radiculopathy: A Follow-Up Study. Arch. Phys. Med. Rehabil. 2013, 94, 1287–1292. [Google Scholar] [CrossRef]
- Ziegler, M.S.; Scalco, R.S.; Zardo, E.D.A.; Becker, J.; Gomes, I. Electromyography and Nerve Conduction Studies in Patients with Lumbar Spinal Stenosis: Is Neurophysiological Examination an Important Tool? J. Neurol. Neurophysiol. 2014, 5, 1–4. [Google Scholar] [CrossRef]
- Plastaras, C.T. Electrodiagnostic challenges in the evaluation of lumbar spinal stenosis. Phys. Med. Rehabil. Clin. N. Am. 2003, 14, 57–69. [Google Scholar] [CrossRef]
- Choi, K.-C.; Kim, J.-S.; Jung, B.; Lee, S.-H. Dynamic Lumbar Spinal Stenosis: The Usefulness of Axial Loaded MRI in Preoperative Evaluation. J. Korean Neurosurg. Soc. 2009, 46, 265–268. [Google Scholar] [CrossRef]
- Baramki, H.G.; Steffen, T.; Schondorf, R.; Aebi, M. Motor conduction alterations in patients with lumbar spinal stenosis following the onset of neurogenic claudication. Eur. Spine J. 1999, 8, 411–416. [Google Scholar] [CrossRef] [PubMed][Green Version]
- Verdú, E.; Ceballos, D.; Vilches, J.J.; Navarro, X. Influence of aging on peripheral nerve function and regeneration. J. Peripher. Nerv. Syst. 2000, 5, 191–208. [Google Scholar] [CrossRef] [PubMed]
- Palve, S.S.; Palve, S.B. Impact of aging on nerve conduction velocities and late responses in healthy individuals. J. Neurosci. Rural Pract. 2018, 9, 112. [Google Scholar] [CrossRef]
- Stetson, D.S.; Albers, J.W.; Silverstein, B.A.; Wolfe, R.A. Effects of age, sex, and anthropometric factors on nerve conduction measures. Muscle Nerve 1992, 15, 1095–1104. [Google Scholar] [CrossRef]
- Falco, F.J.E.; Hennessey, W.J.; Braddom, R.L.; Goldberg, G. Standardized Nerve conduction studies in the upper limb of the healthy elderly. Am. J. Phys. Med. Rehabil. 1992, 71, 263–271. [Google Scholar] [CrossRef] [PubMed]
- Szpalski, M.; Gunzburg, R. 7 The role of surgery in the management of low back pain. Baillière Clin. Rheumatol. 1998, 12, 141–159. [Google Scholar] [CrossRef]
- Fayaz, A.; Croft, P.; Langford, R.M.; Donaldson, L.J.; Jones, G.T. Prevalence of chronic pain in the UK: A systematic review and meta-analysis of population studies. BMJ Open 2016, 6, e010364. [Google Scholar] [CrossRef]
- Dillingham, T.R. Evaluating the Patient with Suspected Radiculopathy. PM&R 2013, 5, S41–S49. [Google Scholar] [CrossRef]


| Total Patients | Foraminal Stenosis Grade | |||
|---|---|---|---|---|
| Mild Group | Severe Group | |||
| Patients | 46 | 18 | 28 | |
| Age | 60.8 ± 13.7 | 61.0 ± 16.9 | 60.6 ± 11.4 | |
| Sex (M:F) | 24:22 | 9:9 | 15:13 | |
| Foraminal stenosis grade | 0 | 7 (15.2%) | 7 | |
| 1 | 4(8.7%) | 4 | ||
| 2 | 7(15.2%) | 7 | ||
| 3 | 28(60.9%) | 0 | 28 | |
| Variables | Foraminal Stenosis | ||
|---|---|---|---|
| Mild (18) | Severe (28) | ||
| Mean ± SD | Mean ± SD | p | |
| CMAP EDB (mV) | 6.02 ± 4.19 | 5.50 ± 3.73 | 0.662 |
| CMAP AHB (mV) | 21.8 ± 12.0 | 20.6 ± 7.65 | 0.672 |
| SNAP sural nerve (μV) | 24.8 ± 9.81 | 20.9 ± 11.7 | 0.245 |
| Age | 61.0 ± 16.9 | 60.6 ± 11.4 | 0.839 |
| Variables | Age | EDB Amplitude | AHB Amplitude | Sural Amplitude | ||||
|---|---|---|---|---|---|---|---|---|
| Age | r | - | ||||||
| p-value | - | |||||||
| EDB amplitude | r | −0.566 | * | - | ||||
| p-value | <0.001 | - | ||||||
| AHB amplitude | r | −0.568 | * | 0.648 | * | - | ||
| p-value | <0.001 | <0.001 | - | |||||
| sural amplitude | r | −0.451 | * | 0.595 | * | 0.420 | * | - |
| p-value | 0.002 | <0.001 | 0.004 | - | ||||
| Foraminal stenosis group | r | −0.013 | −0.066 | −0.064 | −0.175 | |||
| p-value | 0.932 | 0.62 | 0.670 | 0.245 | ||||
Publisher’s Note: MDPI stays neutral with regard to jurisdictional claims in published maps and institutional affiliations. |
© 2021 by the authors. Licensee MDPI, Basel, Switzerland. This article is an open access article distributed under the terms and conditions of the Creative Commons Attribution (CC BY) license (https://creativecommons.org/licenses/by/4.0/).
Share and Cite
Jo, S.H.; Cho, J.H.; Lee, D.G. Can Foraminal Stenosis Due to Lumbar Isthmic Spondylolisthesis Cause Axonopathy in the Lower Extremity? Healthcare 2021, 9, 511. https://doi.org/10.3390/healthcare9050511
Jo SH, Cho JH, Lee DG. Can Foraminal Stenosis Due to Lumbar Isthmic Spondylolisthesis Cause Axonopathy in the Lower Extremity? Healthcare. 2021; 9(5):511. https://doi.org/10.3390/healthcare9050511
Chicago/Turabian StyleJo, Seong Hyeon, Jang Hyuk Cho, and Dong Gyu Lee. 2021. "Can Foraminal Stenosis Due to Lumbar Isthmic Spondylolisthesis Cause Axonopathy in the Lower Extremity?" Healthcare 9, no. 5: 511. https://doi.org/10.3390/healthcare9050511
APA StyleJo, S. H., Cho, J. H., & Lee, D. G. (2021). Can Foraminal Stenosis Due to Lumbar Isthmic Spondylolisthesis Cause Axonopathy in the Lower Extremity? Healthcare, 9(5), 511. https://doi.org/10.3390/healthcare9050511

