Impact of Peer-Led Cancer Education Program on Knowledge, Health Beliefs, Practice, and Self-Esteem Among Pairs of Nepalese High-School Students and Their Knowledge-Sharing Partners
Abstract
1. Introduction
2. Materials and Methods
2.1. Cancer Education Program
2.1.1. Peer Leader Training
2.1.2. Peer-Led Cancer Education
2.2. Data Collection Tools
2.2.1. Statistical Analyses
2.2.2. Compliance with Ethical Standards
3. Results
3.1. Socio-Personal Information
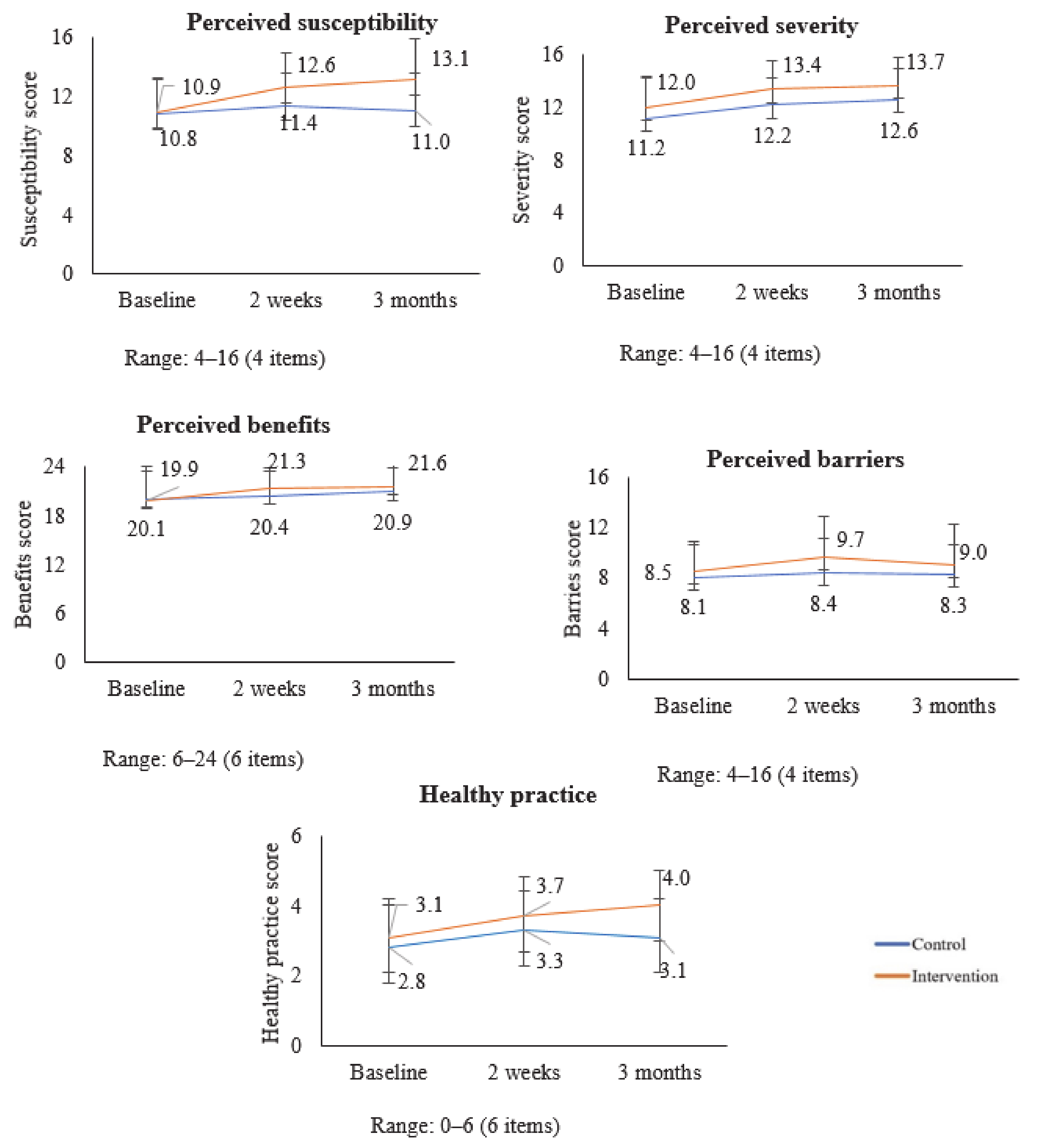
3.2. Knowledge, Health Beliefs and Self-Esteem
3.3. Healthy Practice
4. Discussion
4.1. Students
4.2. Knowledge-Sharing Partners
5. Conclusions
Author Contributions
Funding
Institutional Review Board Statement
Informed Consent Statement
Data Availability Statement
Acknowledgments
Conflicts of Interest
Appendix A

References
- World Health Organization. Adolescents: Health Risks and Solutions. 2018. Available online: https://www.who.int/news-room/fact-sheets/detail/adolescents-health-risks-and-solutions (accessed on 22 July 2020).
- Kyle, R.G.; Nicoll, A.; Forbat, L.; Hubbard, G. Adolescents’ awareness of cancer risk factors and associations with health-related behaviours. Health Educ. Res. 2013, 28, 816–827. [Google Scholar] [CrossRef] [PubMed]
- Kyle, R.G.; Forbat, L.; Hubbard, G. Cancer awareness among adolescents in Britain: A cross sectional study. BMC Public Health 2012, 12. [Google Scholar] [CrossRef] [PubMed]
- Poudel, K.; Sumi, N. Analyzing Awareness on Risk Factors, Barriers and Prevention of Cervical Cancer among Pairs of Nepali High School Students and Their Mothers. Int. J. Environ. Res. Public Health 2019, 16, 4382. [Google Scholar] [CrossRef] [PubMed]
- World Health Organization. Reaching adolescents with health services in Nepal. Bull. World Health Organ. 2017, 95, 85–164. [Google Scholar]
- Pandey, P.L.; Seale, H.; Razee, H. Exploring the factors impacting on access and acceptance of sexual and reproductive health services provided by adolescent-friendly health services in Nepal. PLoS ONE 2019, 14, e0220855. [Google Scholar] [CrossRef]
- Thapa, B.; Powell, J.; Yi, J.; McGee, J.; Landi, J.; Rein, L.; Kim, S.; Shrestha, S.; Karmacharya, B. Adolescent health risk and behavior survey: A school-based survey in central Nepal. Kathmandu Univ. Med. J. 2017, 15, 301–307. [Google Scholar]
- Parijs, L.G.V. Public education in cancer prevention. Bull. World Health Organ. 1986, 64, 912–927. [Google Scholar]
- Scott, R. Active learning. 5 to 7 Educ. Primary Teacher Update 2005, 18–19. [Google Scholar] [CrossRef]
- Centers for Disease Control and Prevention. 2019. Available online: https://www.cdc.gov/healthyyouth/index.htm (accessed on 10 October 2019).
- Khan, G.; Thappa, R.; Adhikari, D.; Rajbhandari, M.; Dwa, P.; Shrestha, S.; Oli, S. Cancer prevalence trend in central region of Nepal. J. Chitwan Med. Coll. 2013, 3. [Google Scholar] [CrossRef]
- Marasini, R.P. Teaching-learning process: A different approach. The Himalayan Times, 24 June 2016. Available online: https://thehimalayantimes.com/opinion/teaching-learning-process-different-approach/ (accessed on 10 May 2020).
- Janz, N.K.; Becker, M.H. The Health Belief Model: A decade later. Health Educ. Q. 1984, 11, 1–47. [Google Scholar] [CrossRef]
- Cancer Awareness Measure (CAM) Toolkit Version 2.1. Cancer Research UK, University College London, Kings College London, University of Oxford. 2007–2008. Available online: https://www.cancerresearchuk.org/sites/default/files/health_professional_cancer_awareness_measure_toolkit_version_2.1_09.02.11.pdf (accessed on 10 July 2020).
- Rosenberg, M. Society and the Adolescent Self-Image; Princeton University Press: Princeton, NJ, USA, 1965; Available online: https://fetzer.org/sites/default/files/images/stories/pdf/selfmeasures/Self_Measures_for_Self-Esteem_ROSENBERG_SELF-ESTEEM.pdf (accessed on 24 June 2020).
- Central Bureau of Statistics. Population and Housing Census. Government of Nepal. 2011. Available online: https://unstats.un.org/unsd/demographic-social/census/documents/Nepal/Nepal-Census-2011-Vol1.pdf (accessed on 1 May 2020).
- Masoudiyekta, L.; Bayatiyani, H.R.; Dashtbozorgi, B.; Gheibizadeh, M.; Malehi, A.S.; Moradi, M. Effect of education based on health belief model on the behavior of breast cancer screening in women. Asia-Pac. J. Oncol. Nurs. 2018, 5, 114–120. [Google Scholar] [CrossRef] [PubMed]
- Jeihooni, A.K.; Dindarloo, S.F.; Harsini, P.A. Effectiveness of health belief model on oral cancer prevention in smoker men. J. Cancer Educ. 2019, 34, 920–927. [Google Scholar] [CrossRef] [PubMed]
- Kissal, A.; Kartel, B. Effects of health belief model-based education on health beliefs and breast self-examination in nursing students. Asia-Pac. J. Oncol. Nurs. 2019, 6, 403–410. [Google Scholar] [CrossRef] [PubMed]
- Bhandari, P.M.; Thapa, K.; Dhakal, S.; Bhochhibhoya, S.; Deuja, R.; Acharya, P.; Mishra, S.R. Breast cancer literacy among higher secondary students: Results from a cross-sectional study in western Nepal. BMC Cancer 2016, 16, 119. [Google Scholar] [CrossRef] [PubMed]
- Kadariya, A.; Rijal, S. Effectiveness of educational intervention on awareness regarding cancer preventive food stuff among adolescents. Int. J. Sci. Res. 2016, 7, 83–86. [Google Scholar]
- Yang, X.H.; Yu, H.J.; Liu, M.; Zhang, J. The impact of a health education intervention on health behaviours and mental health among Chinese college students. J. Am. ColL. Health 2019, 68, 587–592. [Google Scholar] [CrossRef]
- Ajzen, I. The theory of planned behavior. Organ. Behav. Hum. Decis. Process. 1991, 50, 179–211. [Google Scholar] [CrossRef]
- Mukamana, O.; Johri, M. What is known about school-based interventions for health promotion and their impact in developing countries? A scoping review of the literature. Health Educ. Res. 2016, 31, 5. [Google Scholar] [CrossRef]
- UNESCO. Transforming Education: The power of ICT policies. 2011. Available online: http://www.unesco.org/new/fileadmin/MULTIMEDIA/FIELD/Dakar/pdf/Transforming%20Education%20the%20Power%20of%20ICT%20Policies.pdf (accessed on 10 May 2020).
- Wye, S.Q.; Madden, A.; Poeder, F.; McGuckin, S.; Shying, K. A Framework for Peer Education by Drug-User Organizations, Australia; Australian Injecting & Illicit Drug Users League: Canberra, Australia, 2006. [Google Scholar]
- Yamaguchi, N.; Tsukamoto, Y.; Shimoyama, H.; Nakayama, K.; Misawa, S. Effects of peer education interventions aimed at changing awareness of cervical cancer in nursing students. Niigata J. Health Welf. 2011, 11, 32–42. [Google Scholar]
- Abdi, F.; Simbar, M. The peer education approach in adolescents- narrative review article. Iran. J. Public Health 2013, 42, 11. [Google Scholar]
- Mahat, G.; Ayres, C. HIV/AIDS knowledge and self-efficacy among Nepalese adolescents: A peer education program. Res. Theory Nurs. Pract. 2011, 25. [Google Scholar] [CrossRef] [PubMed]
- Jordans, M.J.; Komproe, I.H.; Tol, W.A.; Kohrt, B.A.; Luitel, N.P.; Macy, R.D.; De Jong, J.T. Evaluation of a classroom based psychosocial intervention in conflict-affected Nepal: A cluster randomized control trial. J. Child Psychol. Psychiatry 2010, 51. [Google Scholar] [CrossRef] [PubMed]
- Tome, G.; Mato, M.G.; Simoes, C.; Camacho, I.; Alves, D.J. How can peer group influence the behavior of adolescents: Explanatory model. Glob. J. Health Sci. 2012, 4. [Google Scholar] [CrossRef] [PubMed]
- Dhimal, M.; Chalise, B.; Jahan, I.; Thapa, S.; Neupane, T.; Timsina, A.; Jha, B.K.; Bista, B.; Pandey, A.R.; Jha, A.K. School based health workers in Nepal: Supporting evidence-based decision making. Final Report. May. Nepal Health Res. Counc. 2018. Available online: http://nhrc.gov.np/wp-content/uploads/2019/04/Final-Report-School-Health_MD-rev-March.pdf (accessed on 12 August 2020).
- Barteit, S.; Guzek, D.; Jahn, A.; Barnighausen, T.; Jorge, M.M.; Neuhann, F. Evaluation of e-learning for medical education in low- and middle-income countries: A systematic review. Comput. Educ. 2020, 145, 103726. [Google Scholar] [CrossRef]
- Bardosono, S.; Hildayani, R.; Chandra, D.N.; Basrowi, R.W.; Wibowo, Y. The knowledge retention after continuing health education among midwives in Indonesia. Med. J. Indones. 2018, 27, 128–133. [Google Scholar] [CrossRef]
- Poudel, K.; Sumi, N. Knowledge about risk factors for cancer among adults in Nepal. KnE Life Sci. 2018, 4, 126. [Google Scholar] [CrossRef]
- Binu, V.S.; Subba, S.H.; Menezes, R.G.; Kumar, G.; Ninan, J.; Rana, M.S.; Chettri, S.K.; Sabu, K.M.; Nagraj, K. Smoking among Nepali youth-Prevalence and predictors. Asian Pac. J. Cancer Prev. 2010, 11, 221–226. [Google Scholar]
- Sharma, B.; Kim, H.Y.; Nam, E.W. Effects of School-based Health Promotion Intervention on Health Behaviors among School Adolescents in North Lima and Callao, Peru. J. Lifestyle Med. 2018, 8, 60–71. [Google Scholar] [CrossRef]
- Piana, N.; Ranucci, C.; Buratta, L.; Foglia, E.; Fabi, M.; Novelli, F.; Casucci, S.; Reginato, E.; Pippi, R.; Aiello, C.; et al. An innovative school-based intervention to promote healthy lifestyles. Health Educ. J. 2017, 76, 716–729. [Google Scholar] [CrossRef]
- Darling-Hammond, L.; Flook, L.; Cook-Harvey, C.C.; Barron, B.; Osher, D. Implications for educational practice of the science of learning and development. Appl. Dev. Sci. 2020, 24, 2. [Google Scholar] [CrossRef]
- Kobel, S.; Wirt, T.; Schreiber, A.; Kesztyüs, D.; Kettner, S.; Erkelenz, N.; Wartha, O.; Steinacker, J.M. Intervention effects of a school-based health promotion programme on obesity related behavioural outcomes. J. Obes. 2014, 2014, 476230. [Google Scholar] [CrossRef] [PubMed]
- Farid, M.F.; Akhtar, M. Self-esteem of secondary school students in Pakistan. Middle-East J. Sci. Res. 2013, 14. [Google Scholar] [CrossRef]
- Minev, M.; Petrova, B.; Mineva, K.; Petkova, M.; Strebkova, R. Self-esteem in adolescents. Trakia J. Sci. 2018, 2. [Google Scholar] [CrossRef]
- Acharya, R.P.; Chalise, H.N. Self-esteem and academic stress among nursing students. Kathmandu Univ. Med. J. 2015, 13. [Google Scholar] [CrossRef] [PubMed]
- Orth, U.; Robins, R.W.; Widaman, K.F. Life-span development of self-esteem and its effects on important life outcomes. J. Personal. Soc. Psychol. 2012, 102, 6. [Google Scholar] [CrossRef]
- Nkanunye, C.C.; Obiechina, G.O. Health communication strategies as gateway to effective health promotion and well-being. J. Med. Res. Health Educ. 2017, 1, 13. [Google Scholar]
- Vedanthan, R.; Bansilal, S.; Soto, A.V.; Kovacic, J.C.; Latina, J.; Jaslow, R.; Santana, M.; Gorga, E.; Kasarskis, A.; Hajjar, R.; et al. Family-based approaches to Cardiovascular health promotion. J. Am. Coll. Cardiol. 2016, 67. [Google Scholar] [CrossRef]
- Rogers, E.M. Diffusion of Innovations, 3rd ed.; The Free Press: New York, NY, USA, 1962. [Google Scholar]
- Pandey, B.D.; Costello, A. The dengue epidemic and climate change in Nepal. Lancet 2019, 394. [Google Scholar] [CrossRef]
- Navarro, A.M.; Raman, R.; McNicholas, L.J.; Loza, O. Diffusion of cancer education information through a Latino community health advisor program. Prev. Med. 2007, 45. [Google Scholar] [CrossRef][Green Version]



| Intervention (N = 152) | Control (N = 161) | |||
|---|---|---|---|---|
| Variables | Category | N (%) | N (%) | p-Value |
| Students | ||||
| Sex | Male | 70 (46.1) | 82 (50.9) | 0.388 |
| Female | 82 (53.9) | 79 (49.1) | ||
| Members in health field | No | 132 (86.8) | 140 (87.0) | 0.976 |
| Yes | 20 (13.2) | 21 (13.0) | ||
| Importance of cancer talk | Very important | 20 (13.2) | 34 (21.2) | 0.093 |
| Somehow important | 121 (79.6) | 111 (68.9) | ||
| Not so important | 11 (7.2) | 16 (9.9) | ||
| Talked about cancer before | No | 106 (69.7) | 113 (70.2) | 0.931 |
| Yes | 46 (30.3) | 48 (29.8) | ||
| Wish to take cancer screening | No | 40 (26.3) | 48 (29.8) | 0.573 |
| Yes | 112 (73.7) | 113 (70.2) | ||
| Knowledge-sharing partners | ||||
| Relationship | Mother | 67 (44.1) | 79 (49.1) | 0.335 |
| Father | 37 (24.3) | 42 (26.1) | ||
| Elder sister | 27 (17.8) | 22 (13.7) | ||
| Elder brother | 21 (13.8) | 18 (11.2) | ||
| Family history of chronic illness | No | 137 (90.1) | 139 (86.3) | 0.298 |
| Yes | 15 (9.9) | 22 (13.7) | ||
| Importance of cancer talks within family | Not important | 14 (9.2) | 17 (10.6) | 0.490 |
| Somewhat important | 105 (69.1) | 101 (62.7) | ||
| Very important | 33 (21.7) | 43 (26.7) | ||
| Main Effect a | Interaction Effect a | ||||||
|---|---|---|---|---|---|---|---|
| Time | Intervention × Time | ||||||
| F | p-Value | ηp2 | F | p-Value | ηp2 | ||
| Students | |||||||
| Knowledge | Intervention | 396.9 | p < 0.001 | 0.72 | 8.4 | p < 0.001 | 0.05 |
| Control | |||||||
| Perceived susceptibility | Intervention | 75.7 | p < 0.001 | 0.33 | 55.5 | p < 0.001 | 0.26 |
| Control | |||||||
| Perceived severity | Intervention | 28.0 | p < 0.001 | 0.15 | 2.7 | 0.071 | 0.02 |
| Control | |||||||
| Perceived benefits | Intervention | 322.6 | p < 0.001 | 0.68 | 19.0 | p < 0.001 | 0.11 |
| Control | |||||||
| Perceived barriers | Intervention | 30.0 | p < 0.001 | 0.16 | 28.0 | p < 0.001 | 0.15 |
| Control | |||||||
| Self-esteem | Intervention | 107.2 | p < 0.001 | 0.41 | 94.3 | p < 0.001 | 0.38 |
| Control | |||||||
| Healthy practice | Intervention | 71.5 | p < 0.001 | 0.32 | 26.1 | p < 0.001 | 0.14 |
| Control | |||||||
| Knowledge-sharing partners | |||||||
| Perceived susceptibility | Intervention | 28.33 | p < 0.001 | 0.15 | 7.20 | 0.001 | 0.04 |
| Control | |||||||
| Perceived severity | Intervention | 27.59 | p < 0.001 | 0.15 | 0.27 | 0.805 | 0.00 |
| Control | |||||||
| Perceived barriers | Intervention | 5.36 | 0.005 | 0.03 | 1.62 | 0.198 | 0.01 |
| Control | |||||||
| Healthy practice | Intervention | 34.32 | p < 0.001 | 0.18 | 6.92 | 0.001 | 0.04 |
| Control | |||||||
| Variables | Intervention Group | Control Group |
|---|---|---|
| OR (95% CI) | OR (95% CI) | |
| Exercise habit | 3.16 (1.97–5.06) ** | 0.69 (0.42–1.12) |
| Sleeping time | 1.71 (1.04–2.82) * | 0.62 (0.40–0.98) * |
| Healthy diet consumption | 2.76 (1.66–4.60) ** | 4.50 (2.76–7.35) ** |
| Salt consumption control | 1.41 (0.90–2.22) | 1.19 (0.77–1.84) |
| Cancer talk with others | 19.58 (10.50–36.52) ** | 1.06 (0.66–1.70) |
| Variables | Intervention Group | Control Group |
|---|---|---|
| OR (95% CI) | OR (95% CI) | |
| Smoking habit | 1.00 (0.47–2.12) | 0.79 (0.37–1.71) |
| Alcohol habit | 2.27 (1.31–3.94) * | 1.42 (0.88–2.29) |
| Exercise habit | 5.33 (3.11–9.15) ** | 1.23 (0.65–2.34) |
| Healthy diet consumption | 3.24 (1.73–6.08) ** | 2.96 (1.72–5.09) ** |
| Salt consumption control | 1.26 (0.79–2.01) | 0.78 (0.50–1.21) |
| Cancer screening approach | 4.06 (1.79–9.24) * | 2.02 (0.36–11.22) |
Publisher’s Note: MDPI stays neutral with regard to jurisdictional claims in published maps and institutional affiliations. |
© 2021 by the authors. Licensee MDPI, Basel, Switzerland. This article is an open access article distributed under the terms and conditions of the Creative Commons Attribution (CC BY) license (http://creativecommons.org/licenses/by/4.0/).
Share and Cite
Poudel, K.; Sumi, N.; Yano, R. Impact of Peer-Led Cancer Education Program on Knowledge, Health Beliefs, Practice, and Self-Esteem Among Pairs of Nepalese High-School Students and Their Knowledge-Sharing Partners. Healthcare 2021, 9, 64. https://doi.org/10.3390/healthcare9010064
Poudel K, Sumi N, Yano R. Impact of Peer-Led Cancer Education Program on Knowledge, Health Beliefs, Practice, and Self-Esteem Among Pairs of Nepalese High-School Students and Their Knowledge-Sharing Partners. Healthcare. 2021; 9(1):64. https://doi.org/10.3390/healthcare9010064
Chicago/Turabian StylePoudel, Kritika, Naomi Sumi, and Rika Yano. 2021. "Impact of Peer-Led Cancer Education Program on Knowledge, Health Beliefs, Practice, and Self-Esteem Among Pairs of Nepalese High-School Students and Their Knowledge-Sharing Partners" Healthcare 9, no. 1: 64. https://doi.org/10.3390/healthcare9010064
APA StylePoudel, K., Sumi, N., & Yano, R. (2021). Impact of Peer-Led Cancer Education Program on Knowledge, Health Beliefs, Practice, and Self-Esteem Among Pairs of Nepalese High-School Students and Their Knowledge-Sharing Partners. Healthcare, 9(1), 64. https://doi.org/10.3390/healthcare9010064

