Psychometric Properties and Normative Data Using Item Response Theory Approach for Three Neuropsychological Tests in Waranka Children Population
Abstract
1. Introduction
2. Materials and Methods
2.1. Participants
2.2. Instruments
2.2.1. Rey–Osterrieth Complex Figure (ROCF)
2.2.2. Shortened Version of the Token Test (SVTT)
2.2.3. Peabody Picture Vocabulary Test-III (PPVT-III)
2.3. Procedure
2.4. Statistical Analysis
2.4.1. Psychometric Properties
2.4.2. Demographic Effects
2.5. Normative Data Procedure
3. Results
3.1. Psychometric Properties
3.1.1. ROCF Copy and Immediate Recall
3.1.2. Shortened Version of the Token Test
3.1.3. Peabody Picture Vocabulary Test-III
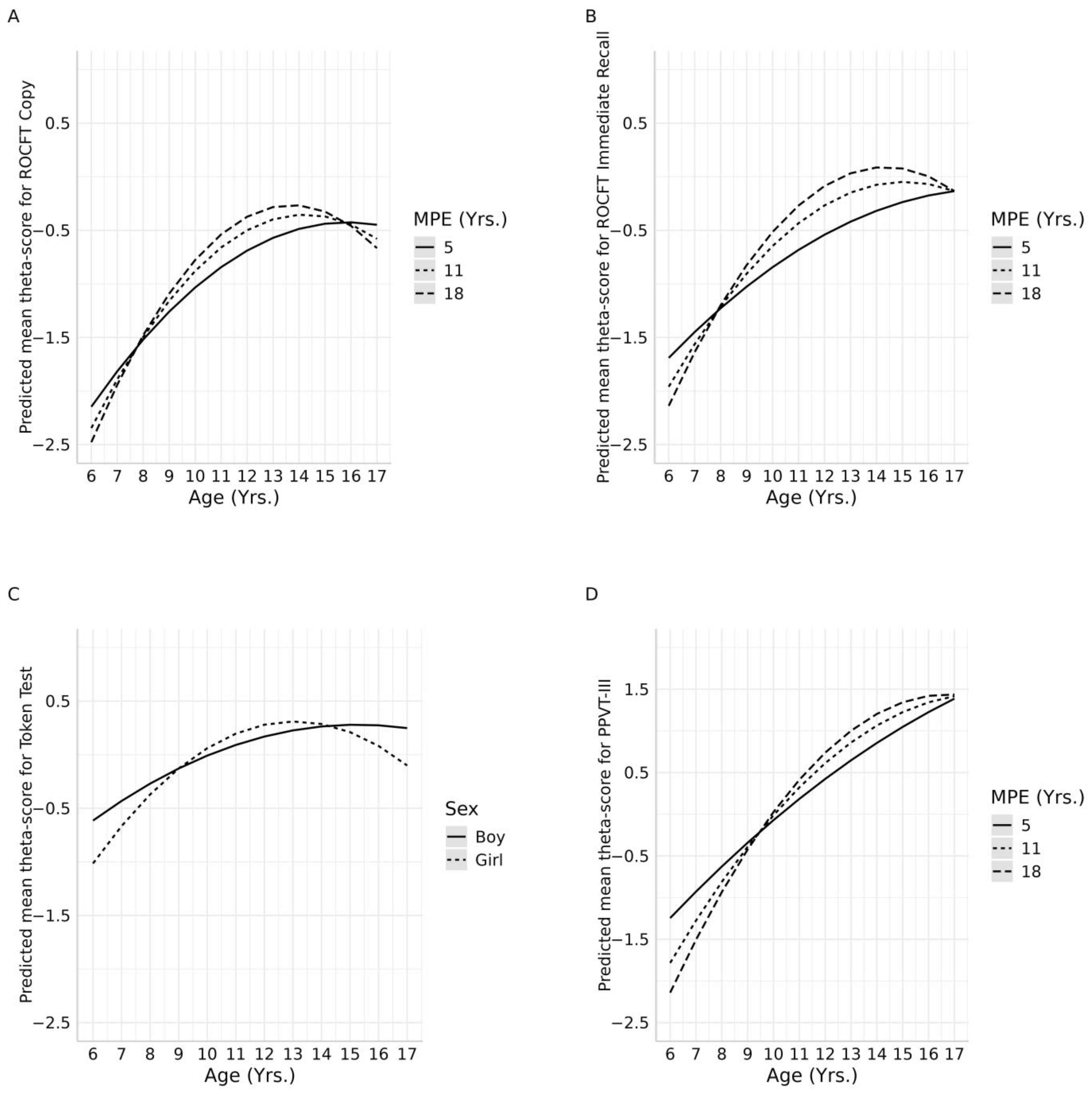
3.2. Demographic Variables’ Effect on Neuropsychological Performance
3.2.1. ROCF Copy and Immediate Recall
3.2.2. Shortened Version of the Token Test
3.2.3. Peabody Picture Vocabulary Test-III
3.3. Normative Data Application
4. Discussion
4.1. Psychometric Properties
4.1.1. ROCF Copy and Immediate Recall
4.1.2. Shortened Version of the Token Test
4.1.3. Peabody Picture Vocabulary Test-III
4.2. Demographic Variables and Normative Data
4.2.1. ROCF Copy and Immediate Recall
4.2.2. Shortened Version of the Token Test
4.2.3. Peabody Picture Vocabulary Test-III
4.3. Strengths, Limitations and Clinical Implications
5. Conclusions
Supplementary Materials
Author Contributions
Funding
Institutional Review Board Statement
Informed Consent Statement
Data Availability Statement
Acknowledgments
Conflicts of Interest
References
- Haboud Bumachar, M. De Prácticas Interculturales e Interlingües Desde La Oralidad; Estudios Dedicados al Profesor Juan C. Godenzzi; Lugar Común Editorial/Alter: Ottawa, ON, Canada, 2022; pp. 243–259. [Google Scholar]
- Confederación de Nacionalidades Indígenas del Ecuador Waranka 2014. Available online: https://conaie.org/2014/07/19/waranka/ (accessed on 1 October 2024).
- Limerick, N. Recognizing Indigenous Languages: Double Binds of State Policy and Teaching Kichwa in Ecuador; Oxford University Press: Oxford, UK, 2023; ISBN 978-0-19-755917-8. [Google Scholar]
- Carrington, S.J.; Romero-Alvarez, D.; Coral-Almeida, M.; Vela, A.; Henríquez-Trujillo, A.R.; Mascialino, G. Ethnodemographic Characterization of Stroke Incidence and Burden of Disease in Hospital Discharge Records in Ecuador. Front. Neurol. 2023, 14, 1059169. [Google Scholar] [CrossRef]
- Aguilar-Paredes, S.; Ponce-Altamirano, A.; Moreira-Moreira, Z.; Garibay-Alonso, C.; Salazar-Vélez, P.; Guaya-Galindo, V. Understanding the Relationship between Child Malnutrition and Cognitive Development: An Analysis of the Ecuadorian Case. J. Med Health Stud. 2023, 4, 47–58. [Google Scholar] [CrossRef]
- Prado, E.L.; Dewey, K.G. Nutrition and Brain Development in Early Life. Nutr. Rev. 2014, 72, 267–284. [Google Scholar] [CrossRef] [PubMed]
- Reshetnyak, V.; Popadych, O.; Korchakova, N.; Shyshova, O.; Shulzhenko, D.; Sichka, V. Innovations in Primary Education: Neuropsychological Aspect. BRAIN 2022, 13, 173–187. [Google Scholar] [CrossRef]
- Mitrushina, M.; Boone, K.B.; Razani, J.; D’Elia, L.F. Handbook of Normative Data for Neuropsychological Assessment; Oxford University Press: Oxford, UK, 2005; ISBN 978-0-19-977119-6. [Google Scholar]
- Karstens, A.J.; Christianson, T.J.; Lundt, E.S.; Machulda, M.M.; Mielke, M.M.; Fields, J.A.; Kremers, W.K.; Graff-Radford, J.; Vemuri, P.; Jack, C.R.; et al. Mayo Normative Studies: Regression-Based Normative Data for Ages 30–91 Years with a Focus on the Boston Naming Test, Trail Making Test and Category Fluency. J. Int. Neuropsychol. Soc. 2023, 30, 389–401. [Google Scholar] [CrossRef] [PubMed]
- Innocenti, F.; Candel, M.J.J.M.; Tan, F.E.S.; Van Breukelen, G.J.P. Sample Size Calculation and Optimal Design for Multivariate Regression-Based Norming. J. Educ. Behav. Stat. 2023, 49, 817–847. [Google Scholar] [CrossRef]
- Silver, C.H.; Blackburn, L.B.; Arffa, S.; Barth, J.T.; Bush, S.S.; Koffler, S.P.; Pliskin, N.H.; Reynolds, C.R.; Ruff, R.M.; Troster, A.I.; et al. The Importance of Neuropsychological Assessment for the Evaluation of Childhood Learning disordersNAN Policy and Planning Committee. Arch. Clin. Neuropsychol. 2006, 21, 741–744. [Google Scholar] [CrossRef] [PubMed]
- Mascialino, G.; Adana-Diaz, L.; Rodriguez-Lorenzana, A.; Rivera, D.; Arango-Lasprilla, J.C. Práctica de la neuropsicología en Ecuador. Revecuatneurol 2022, 31, 49–58. [Google Scholar] [CrossRef]
- Rodríguez-Lorenzana, A.; Ramos-Usuga, D.; Díaz, L.A.; Mascialino, G.; Yacelga Ponce, T.; Rivera, D.; Arango-Lasprilla, J.C. Normative Data of Neuropsychological Tests of Attention and Executive Functions in Ecuadorian Adult Population. Aging Neuropsychol. Cogn. 2021, 28, 508–527. [Google Scholar] [CrossRef]
- Rivera, D.; Arango-Lasprilla, J.C. Methodology for the Development of Normative Data for Spanish-Speaking Pediatric Populations. NeuroRehabilitation 2017, 41, 581–592. [Google Scholar] [CrossRef]
- Brucato, M.; Frick, A.; Pichelmann, S.; Nazareth, A.; Newcombe, N.S. Measuring Spatial Perspective Taking: Analysis of Four Measures Using Item Response Theory. Top. Cogn. Sci. 2023, 15, 46–74. [Google Scholar] [CrossRef]
- Nima, A.A. The Measurement of Subjective Well-Being. Item Response Theory, Classical Test Theory, and Multidimensional Item Response Theory; Stema Specialtryck, A.B., Ed.; Borås: Gothenburg, Sweden, 2022; ISBN 978-91-8009-800-7. [Google Scholar]
- Abad, F.; Olea, J.; Ponsoda, V.; García, C. Medicion en Ciencias Sociales y de la Salud; Editorial Sintesis: Madrid, Spain, 2011; ISBN 978-84-9958-614-4. [Google Scholar]
- Brown, L.; Sherbenou, R.J.; Johnsen, S.K. Test de Inteligencia No Verbal: TONI-2; TEA Ediciones: Madrid, Spain, 1995. [Google Scholar]
- Kovacs, M. Children’s Depression Inventory. CDI, Manual/Multi-Health Systems Inc. 1992. Available online: https://psycnet.apa.org/doiLanding?doi=10.1037%2Ft19482-000 (accessed on 1 July 2022).
- Bush, K. The AUDIT Alcohol Consumption Questions (AUDIT-C)An Effective Brief Screening Test for Problem Drinking. Arch. Intern. Med. 1998, 158, 1789. [Google Scholar] [CrossRef]
- Rey, A. Test de Copia y de Reproducción de Memoria de Figuras Geométricas Complejas: Manual, 8th ed.; revisada y ampliada; TEA: Madrid, Spain, 2003; ISBN 978-84-7174-750-1. [Google Scholar]
- De Renzi, E.; Faglioni, P. Normative Data and Screening Power of a Shortened Version of the Token Test. Cortex 1978, 14, 41–49. [Google Scholar] [CrossRef] [PubMed]
- Dunn, L.M.; Dunn, L.M.; Arribas, D. PPVT-III Peabody Test de Vocabulario en Imágenes: Manual, 2nd ed.; TEA: Madrid, Spain, 2010; ISBN 978-84-7174-877-5. [Google Scholar]
- Schreiber, J.B.; Nora, A.; Stage, F.K.; Barlow, E.A.; King, J. Reporting Structural Equation Modeling and Confirmatory Factor Analysis Results: A Review. J. Educ. Res. 2006, 99, 323–338. [Google Scholar] [CrossRef]
- Flora, D.B. Your Coefficient Alpha Is Probably Wrong, but Which Coefficient Omega Is Right? A Tutorial on Using R to Obtain Better Reliability Estimates. Adv. Methods Pract. Psychol. Sci. 2020, 3, 484–501. [Google Scholar] [CrossRef]
- Viladrich, C.; Angulo-Brunet, A.; Doval, E. Un Viaje Alrededor de Alfa y Omega Para Estimar La Fiabilidad de Consistencia Interna. Ann. Psychol. 2017, 33, 755. [Google Scholar] [CrossRef]
- Mair, P. Modern Psychometrics with R; Use R! Springer International Publishing: Cham, Switzerland, 2018; ISBN 978-3-319-93175-3. [Google Scholar]
- Sethar, W.A.; Pitafi, A.; Bhutto, A.; Nassani, A.A.; Haffar, M.; Kamran, S.M. Application of Item Response Theory (IRT)-Graded Response Model (GRM) to Entrepreneurial Ecosystem Scale. Sustainability 2022, 14, 5532. [Google Scholar] [CrossRef]
- Van Der Elst, W.; Van Boxtel, M.P.J.; Van Breukelen, G.J.P.; Jolles, J. A Large-Scale Cross-Sectional and Longitudinal Study into the Ecological Validity of Neuropsychological Test Measures in Neurologically Intact People. Arch. Clin. Neuropsychol. 2008, 23, 787–800. [Google Scholar] [CrossRef] [PubMed]
- James, G.; Witten, D.; Hastie, T.; Tibshirani, R. An Introduction to Statistical Learning; Springer Texts in Statistics; Springer: New York, NY, USA, 2013; Volume 103, ISBN 978-1-4614-7137-0. [Google Scholar]
- Cook, R.D. Detection of Influential Observation in Linear Regression. Technometrics 1977, 19, 15. [Google Scholar] [CrossRef]
- Van Der Elst, W.; Ouwehand, C.; Van Rijn, P.; Lee, N.; Van Boxtel, M.; Jolles, J. The Shortened Raven Standard Progressive Matrices: Item Response Theory–Based Psychometric Analyses and Normative Data. Assessment 2013, 20, 48–59. [Google Scholar] [CrossRef] [PubMed]
- R Core Team: The R Stats Package. 2021. Available online: https://stat.ethz.ch/R-manual/R-devel/RHOME/library/stats/html/00Index.html (accessed on 20 November 2024).
- Rosseel, Y. Lavaan: An R Package for Structural Equation Modeling. J. Stat. Softw. 2012, 48, 1–36. [Google Scholar] [CrossRef]
- Chalmers, R.P. Mirt: A Multidimensional Item Response Theory Package for the R Environment. J. Stat. Soft. 2012, 48, 1–29. [Google Scholar] [CrossRef]
- Rizopoulos, D. Ltm: An R. Package for Latent Variable Modeling and Item Response Theory Analyses. J. Stat. Soft. 2006, 17, 1–25. [Google Scholar] [CrossRef]
- Hattie, J. Methodology Review: Assessing Unidimensionality of Tests and Ltenls. Appl. Psychol. Meas. 1985, 9, 139–164. [Google Scholar] [CrossRef]
- Hahn, A.; Kim, Y.J.; Kim, H.J.; Jang, H.; Cho, H.; Choi, S.H.; Kim, B.C.; Park, K.W.; Na, D.L.; Chin, J.; et al. The Preclinical Amyloid Sensitive Composite to Determine Subtle Cognitive Differences in Preclinical Alzheimer’s Disease. Sci. Rep. 2020, 10, 13583. [Google Scholar] [CrossRef] [PubMed]
- Guo, Q.; Lu, C.; Hong, Z. Application of Rey-Osterrieth Complex Figure Test in Chinese Normal Old People. Chin. J. Clin. Psychol. 2000, 8, 205–207. [Google Scholar]
- Liberman, J.; Stewart, W.; Seines, O.; Gordon, B. Rater Agreement for the Rey-Osterrieth Complex Figure Test. J. Clin. Psychol. 1994, 50, 615–624. [Google Scholar] [CrossRef] [PubMed]
- Tupler, L.A.; Welsh, K.A.; Asare-aboagye, Y.; Dawson, D.V. Reliability of the Rey-Osterrieth Complex Figure in Use with Memory-Impaired Patients. J. Clin. Exp. Neuropsychol. 1995, 17, 566–579. [Google Scholar] [CrossRef]
- Alkhamra, R.A.; Al-Jazi, A.B. Validity and Reliability of the Arabic Token Test for Children. Int. J. Lang. Commun. Disord. 2016, 51, 183–191. [Google Scholar] [CrossRef]
- Gallardo, G.; Guàrdia, J.; Villaseñor, T.; McNeil, M.R. Psychometric Data for the Revised Token Test in Normally Developing Mexican Children Ages 4–12 Years. Arch. Clin. Neuropsychol. 2011, 26, 225–234. [Google Scholar] [CrossRef]
- Kennedy, W.J.; Gentle, J.E. Statistical Computing; Statistics; 7th print; Dekker: New York, NY, USA, 1980; ISBN 978-0-8247-8406-5. [Google Scholar]
- Cermakova, P.; Chlapečka, A.; Csajbók, Z.; Andrýsková, L.; Brázdil, M.; Marečková, K. Parental Education, Cognition and Functional Connectivity of the Salience Network. Sci. Rep. 2023, 13, 2761. [Google Scholar] [CrossRef] [PubMed]
- Arango-Lasprilla, J.C.; Rivera, D.; Ertl, M.M.; Muñoz Mancilla, J.M.; García-Guerrero, C.E.; Rodriguez-Irizarry, W.; Aguayo Arelis, A.; Rodríguez-Agudelo, Y.; Barrios Nevado, M.D.; Vélez-Coto, M.; et al. Rey–Osterrieth Complex Figure—Copy and Immediate Recall (3 Minutes): Normative Data for Spanish-Speaking Pediatric Populations. NeuroRehabilitation 2017, 41, 593–603. [Google Scholar] [CrossRef] [PubMed]
- Olabarrieta-Landa, L.; Rivera, D.; Rodríguez-Lorenzana, A.; Pohlenz Amador, S.; García-Guerrero, C.E.; Padilla-López, A.; Sánchez-SanSegundo, M.; Velázquez-Cardoso, J.; Díaz Marante, J.P.; Caparros-Gonzalez, R.A.; et al. Shortened Version of the Token Test: Normative Data for Spanish-Speaking Pediatric Population. NeuroRehabilitation 2017, 41, 649–659. [Google Scholar] [CrossRef]
- Aranciva, F.; Casals-Coll, M.; Sánchez-Benavides, G.; Quintana, M.; Manero, R.M.; Rognoni, T.; Calvo, L.; Palomo, R.; Tamayo, F.; Peña-Casanova, J. Spanish Normative Studies in a Young Adult Population (NEURONORMA Young Adults Project): Norms for the Boston Naming Test and the Token Test. Neurologia 2012, 27, 394–399. [Google Scholar] [CrossRef] [PubMed]
- Pena-Casanova, J.; Quinones-Ubeda, S.; Gramunt-Fombuena, N.; Aguilar, M.; Casas, L.; Molinuevo, J.L.; Robles, A.; Rodriguez, D.; Barquero, M.S.; Antunez, C.; et al. Spanish Multicenter Normative Studies (NEURONORMA Project): Norms for Boston Naming Test and Token Test. Arch. Clin. Neuropsychol. 2009, 24, 343–354. [Google Scholar] [CrossRef]
- Olabarrieta-Landa, L.; Rivera, D.; Ibáñez-Alfonso, J.A.; Albaladejo-Blázquez, N.; Martín-Lobo, P.; Delgado-Mejía, I.D.; Lara, L.; Rabago Barajas, B.V.; Rodriguez Salgado, A.M.; Paredes Quispe, L.A.; et al. Peabody Picture Vocabulary Test-III: Normative Data for Spanish-Speaking Pediatric Population. NeuroRehabilitation 2017, 41, 687–694. [Google Scholar] [CrossRef] [PubMed]
- Van der Elst, W.; Hurks, P.; Wassenberg, R.; Meijs, C.; Jolles, J. Animal Verbal Fluency and Design Fluency in School-Aged Children: Effects of Age, Sex, and Mean Level of Parental Education, and Regression-Based Normative Data. J. Clin. Exp. Neuropsychol. 2011, 33, 1005–1015. [Google Scholar] [CrossRef]

| Item | ROCF Copy | ROCF Immediate Recall | ||||||
|---|---|---|---|---|---|---|---|---|
| Boundary 1 | Boundary 2 | Boundary 3 | a | Boundary 1 | Boundary 2 | Boundary 3 | a | |
| Item 1 [cross] | −2.168 | −0.797 | 4.563 | 2.11 | −0.931 | 1.18 | 5.102 | 1.089 |
| Item 2 [large rectangle] | −1.614 | −0.834 | 7.093 | 2.404 | −1.143 | −0.209 | 3.474 | 2.037 |
| Item 3 [diagonal cross] | −1.419 | −0.578 | 10.19 | 2.036 | −0.428 | 0.285 | 4.044 | 1.595 |
| Item 4 [horizontal median] | −1.672 | −0.917 | 6.629 | 2.192 | −0.845 | −0.204 | 4.01 | 1.698 |
| Item 5 [vertical median] | −1.931 | −1.081 | 5.839 | 1.974 | −0.759 | −0.132 | 3.768 | 1.704 |
| Item 6 [small rectangle] | −1.952 | −0.775 | 6.204 | 2.033 | −0.633 | 1.086 | 6.558 | 0.911 |
| Item 7 [small segment] | −1.059 | −0.618 | 18.061 | 1.329 | 1.192 | 1.675 | 4.402 | 1.241 |
| Item 8 [four parallel lines] | −1.475 | −0.237 | 5.069 | 1.899 | 0.239 | 1.575 | 4.658 | 1.173 |
| Item 9 [triangle] | −1.737 | −0.834 | 8.723 | 1.843 | 0.198 | 1.179 | 5.599 | 1.048 |
| Item 10 [small perpendicular] | −1.66 | −0.839 | 7.871 | 1.852 | 2.187 | 3.067 | 4.811 | 1.06 |
| Item 11 [circle with 3 dots] | −2.08 | −0.975 | 4.29 | 2.598 | −1.144 | 0.414 | 4.24 | 1.514 |
| Item 12 [five parallel lines] | −1.999 | −0.808 | 6.058 | 1.946 | −0.085 | 1.042 | 5.346 | 1.121 |
| Item 13 [isosceles] | −2.017 | −0.862 | 4.304 | 2.517 | −1.4 | 0.094 | 4.335 | 1.692 |
| Item 14 [rhombus] | −1.793 | −0.566 | 8.214 | 1.684 | −1.039 | 0.444 | 5.277 | 1.092 |
| Item 15 [vertical segment] | −2.068 | −0.986 | 5.636 | 1.901 | −0.259 | 0.937 | 6.259 | 0.914 |
| Item 16 [extension right] | −1.921 | −0.943 | 5.367 | 2.091 | −0.625 | 0.27 | 5.15 | 1.066 |
| Item 17 [lower cross] | −1.903 | −0.873 | 6.251 | 2.193 | −0.603 | 1.262 | 5.426 | 1.062 |
| Item 18 [square and diagonal] | −2.413 | −1.209 | 5.604 | 2.182 | −1.268 | 1 | 6.544 | 0.873 |
| Items | a | b | Items | a | b |
|---|---|---|---|---|---|
| #01 [Touch a circle] | 1.06 | −3.97 | #19 [Touch the white circle and the red circle] | 1.39 | −1.02 |
| #02 [Touch a square] | 1.29 | −3.89 | #20 [Touch the large ·white circle and the small green square] | 1.57 | −0.89 |
| #03 [Touch a yellow token] | 1.41 | −3.26 | #21 [Touch the small black circle and the large yellow square] | 1.57 | −1.20 |
| #04 [Touch a red one] | 1.42 | −3.98 | #22 [Touch the large green square and the large red square] | 1.90 | −1.32 |
| #05 [Touch a black one] | 1.35 | −4.10 | #23 [Touch the large white square and the small green circle] | 1.56 | −1.40 |
| #06 [Touch a green one] | 2.24 | −2.93 | #24 [Put the red circle on the green square] | 1.97 | −0.87 |
| #07 [Touch a white one] | 2.27 | −3.16 | #25 [Touch the black circle with the red square] | 1.37 | −0.30 |
| #08 [Touch the yellow square] | 1.42 | −2.43 | #26 [Touch the black circle and the red square] | 1.19 | −1.14 |
| #09 [Touch the black circle] | 1.65 | −2.62 | #27 [Touch the black circle or the red square] | 1.42 | −0.70 |
| #10 [Touch the green circle] | 1.47 | −2.38 | #28 [Put the green square away from the yellow square] | 1.13 | −1.23 |
| #11 [Touch the white square] | 1.47 | −2.56 | #29 [If there is a blue circle, touch the red square] | 0.89 | −0.72 |
| #12 [Touch the small white circle] | 1.27 | −2.28 | #30 [Put the green square next to the red circle] | 1.28 | −0.51 |
| #13 [Touch the large yellow square] | 1.11 | −2.47 | #31 [Touch· the squares slowly and the circles quickly] | 2.05 | −0.79 |
| #14 Touch the large green square] | 1.06 | −3.49 | #32 [Put the red circle between the yellow square and the green square] | 1.46 | −0.15 |
| #15 Touch the small black circle] | 1.18 | −2.56 | #33 [Touch all the circles, except the green one] | 1.99 | −1.18 |
| #16 [Touch the red circle and the green square] | 1.39 | −1.29 | #34 [Touch the red circle—no—the white square] | 0.99 | −1.36 |
| #17 [Touch the yellow square and the black square] | 1.27 | −1.35 | #35 [Instead of the white square, touch the yellow circle] | 1.82 | −1.32 |
| #18 [Touch the white square and the green circle] | 2.02 | −1.55 | #36 [In addition to touching the yellow circle, touch the black circle] | 1.09 | −0.26 |
| Score | Predictor | Estimate | Std. Error | t | Sig. | Adjusted R2 | SDe |
|---|---|---|---|---|---|---|---|
| ROCF copy | Intercept | −1.121 | 0.164 | −6.840 | <0.001 | 0.347 | 0.758 |
| Age | 8.945 | 3.037 | 2.945 | 0.003 | |||
| Age2 | 2.657 | 2.996 | 0.887 | 0.375 | |||
| In(MPE) | 0.102 | 0.075 | 1.346 | 0.178 | |||
| Age*In(MPE) | 0.392 | 1.421 | 0.276 | 0.782 | |||
| Age2*In(MPE) | −3.561 | 1.394 | −2.554 | 0.011 | |||
| ROCF immediate recall | Intercept | −1.046 | 0.190 | −5.486 | <0.001 | 0.253 | 0.882 |
| Age | 5.226 | 3.534 | 1.479 | 0.140 | |||
| Age2 | 5.064 | 3.485 | 1.453 | 0.147 | |||
| In(MPE) | 0.188 | 0.088 | 2.139 | 0.033 | |||
| Age*In(MPE) | 2.053 | 1.653 | 1.242 | 0.214 | |||
| Age2*In(MPE) | −4.002 | 1.622 | −2.467 | 0.014 | |||
| SVTT | Intercept | 0.028 | 0.064 | 0.437 | 0.662 | 0.125 | 0.855 |
| Age | 4.886 | 1.286 | 3.797 | <0.001 | |||
| Age2 | −2.197 | 1.278 | −1.719 | 0.086 | |||
| Sex (Girl) | −0.051 | 0.086 | −0.593 | 0.553 | |||
| Age*Sex (Girl) | 0.129 | 1.726 | 0.075 | 0.940 | |||
| Age2*Sex (Girl) | −3.385 | 1.721 | −1.967 | 0.049 | |||
| PPVT-III | Intercept | 0.162 | 0.182 | 0.886 | 0.376 | 0.50 | 0.84 |
| Age | 7.031 | 3.388 | 2.075 | 0.038 | |||
| Age2 | 5.945 | 3.143 | 1.779 | 0.075 | |||
| In(MPE) | 0.038 | 3.341 | 0.456 | 0.648 | |||
| Age*In(MPE) | 4.536 | 0.084 | 2.862 | 0.004 | |||
| Age2*In(MPE) | −4.230 | 1.584 | −2.720 | 0.006 |
Disclaimer/Publisher’s Note: The statements, opinions and data contained in all publications are solely those of the individual author(s) and contributor(s) and not of MDPI and/or the editor(s). MDPI and/or the editor(s) disclaim responsibility for any injury to people or property resulting from any ideas, methods, instructions or products referred to in the content. |
© 2025 by the authors. Licensee MDPI, Basel, Switzerland. This article is an open access article distributed under the terms and conditions of the Creative Commons Attribution (CC BY) license (https://creativecommons.org/licenses/by/4.0/).
Share and Cite
Fierro Bósquez, M.J.; Fuentes Mendoza, E.M.; Olabarrieta-Landa, L.; Abiuso Lillo, T.; Orozco-Acosta, E.; Mascialino, G.; Arango-Lasprilla, J.C.; Rivera, D. Psychometric Properties and Normative Data Using Item Response Theory Approach for Three Neuropsychological Tests in Waranka Children Population. Healthcare 2025, 13, 423. https://doi.org/10.3390/healthcare13040423
Fierro Bósquez MJ, Fuentes Mendoza EM, Olabarrieta-Landa L, Abiuso Lillo T, Orozco-Acosta E, Mascialino G, Arango-Lasprilla JC, Rivera D. Psychometric Properties and Normative Data Using Item Response Theory Approach for Three Neuropsychological Tests in Waranka Children Population. Healthcare. 2025; 13(4):423. https://doi.org/10.3390/healthcare13040423
Chicago/Turabian StyleFierro Bósquez, María José, Eliana María Fuentes Mendoza, Laiene Olabarrieta-Landa, Trinidad Abiuso Lillo, Erick Orozco-Acosta, Guido Mascialino, Juan Carlos Arango-Lasprilla, and Diego Rivera. 2025. "Psychometric Properties and Normative Data Using Item Response Theory Approach for Three Neuropsychological Tests in Waranka Children Population" Healthcare 13, no. 4: 423. https://doi.org/10.3390/healthcare13040423
APA StyleFierro Bósquez, M. J., Fuentes Mendoza, E. M., Olabarrieta-Landa, L., Abiuso Lillo, T., Orozco-Acosta, E., Mascialino, G., Arango-Lasprilla, J. C., & Rivera, D. (2025). Psychometric Properties and Normative Data Using Item Response Theory Approach for Three Neuropsychological Tests in Waranka Children Population. Healthcare, 13(4), 423. https://doi.org/10.3390/healthcare13040423

