Next Article in Journal
Global Perspectives on Patient Safety: The Central Role of Nursing Management
Previous Article in Journal
Development and Validation of the Pregnancy Guilt Assessment Scale (PGAS): A Specific Tool for Assessing Guilt in Pregnancy
Previous Article in Special Issue
Emotional Health: Improving Emotional Intelligence Through Physical Education
 
 
Font Type:
Arial Georgia Verdana
Font Size:
Aa Aa Aa
Line Spacing:
Column Width:
Background:
This is an early access version, the complete PDF, HTML, and XML versions will be available soon.
Article

Comparison of Acute Irisin and Cognitive Responses to Different Exercise Modalities Among Late Adolescents

by
Yakup Zühtü Birinci
1,* and
Serkan Pancar
2
1
Faculty of Sport Sciences, Bursa Uludağ University, Bursa 16059, Türkiye
2
Faculty of Sport Sciences, Aksaray University, Aksaray 68100, Türkiye
*
Author to whom correspondence should be addressed.
Healthcare 2025, 13(24), 3242; https://doi.org/10.3390/healthcare13243242 (registering DOI)
Submission received: 5 November 2025 / Revised: 4 December 2025 / Accepted: 8 December 2025 / Published: 10 December 2025

Abstract

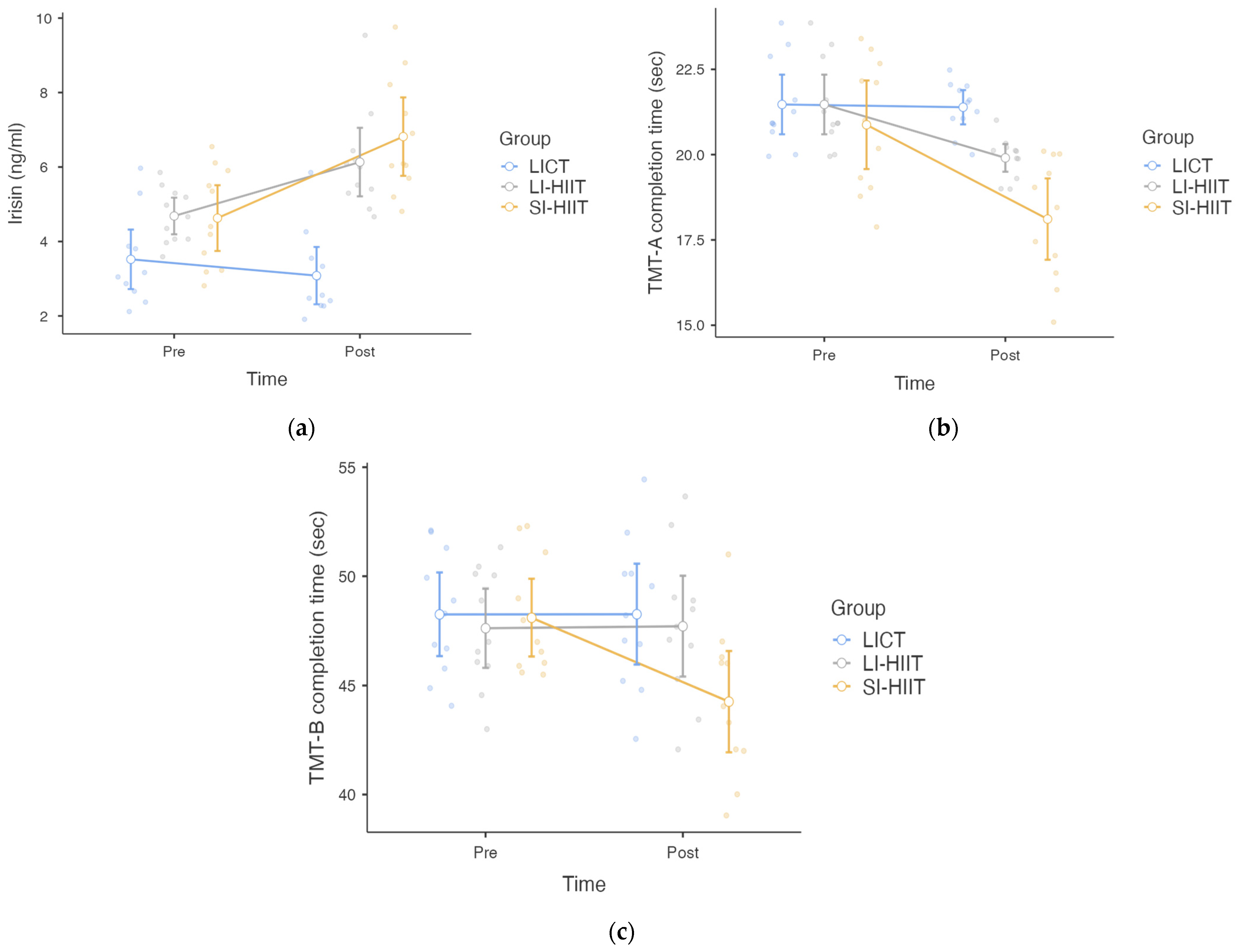
Background/Objectives: Exercise supports physical and cognitive health through neurotrophin-mediated pathways, with irisin playing a key role in neuroprotection and synaptic plasticity. As adolescence represents a period of heightened neuroplasticity and metabolic adaptation, determining how different exercise modalities influence neurotrophic and cognitive responses is critical for health promotion in youth. This study aimed to compare the acute effects of low-intensity continuous training (LICT), short-interval high-intensity interval training (SI-HIIT), and long-interval HIIT (LI-HIIT) on circulating irisin levels and executive function in healthy late adolescent males. Methods: Eleven participants completed all conditions in a randomized crossover design with a 7-day washout. Venous blood samples and the Trail-Making Test, Parts A and B (TMT-A, TMT-B) were assessed pre- and postexercise, with continuous heart rate monitoring. Results: Post-exercise irisin levels were significantly greater in both HIIT protocols (SI-HIIT, p < 0.001; LI-HIIT, p < 0.038) than in the LICT protocol. Only the SI-HIIT group presented significantly shorter TMT-A (vs. LICT, p < 0.001; vs. LI-HIIT, p = 0.016) and TMT-B (vs. LICT, p < 0.001; vs. LI-HIIT, p < 0.001) completion times post-exercise. Conclusions: A single HIIT session elicited greater increases in circulating irisin and executive function compared with LICT. These findings highlight exercise intensity and interval structure as key factors for enhancing neurocognitive health, offering valuable insight for developing early-life training strategies to promote brain health.
Keywords: BDNF; executive function; exercise; high-intensity interval training; irisin; lactate; neurotrophin BDNF; executive function; exercise; high-intensity interval training; irisin; lactate; neurotrophin

Share and Cite

MDPI and ACS Style

Birinci, Y.Z.; Pancar, S. Comparison of Acute Irisin and Cognitive Responses to Different Exercise Modalities Among Late Adolescents. Healthcare 2025, 13, 3242. https://doi.org/10.3390/healthcare13243242

AMA Style

Birinci YZ, Pancar S. Comparison of Acute Irisin and Cognitive Responses to Different Exercise Modalities Among Late Adolescents. Healthcare. 2025; 13(24):3242. https://doi.org/10.3390/healthcare13243242

Chicago/Turabian Style

Birinci, Yakup Zühtü, and Serkan Pancar. 2025. "Comparison of Acute Irisin and Cognitive Responses to Different Exercise Modalities Among Late Adolescents" Healthcare 13, no. 24: 3242. https://doi.org/10.3390/healthcare13243242

APA Style

Birinci, Y. Z., & Pancar, S. (2025). Comparison of Acute Irisin and Cognitive Responses to Different Exercise Modalities Among Late Adolescents. Healthcare, 13(24), 3242. https://doi.org/10.3390/healthcare13243242

Note that from the first issue of 2016, this journal uses article numbers instead of page numbers. See further details here.

Article Metrics

Back to TopTop