Latent Profile Analysis of Occupational Stress and Psychological Capital and the Dual Mechanisms of Psychological Capital in Healthcare Workers’ Sleep Quality
Abstract
1. Introduction
2. Methods
2.1. Study Design and Data Collection
2.2. Questionnaires
2.2.1. General Characteristics
2.2.2. Psychological Capital
2.2.3. Occupational Stress
2.2.4. Sleep Quality
2.3. Statistical Analysis
3. Results
3.1. Characteristics of Participants
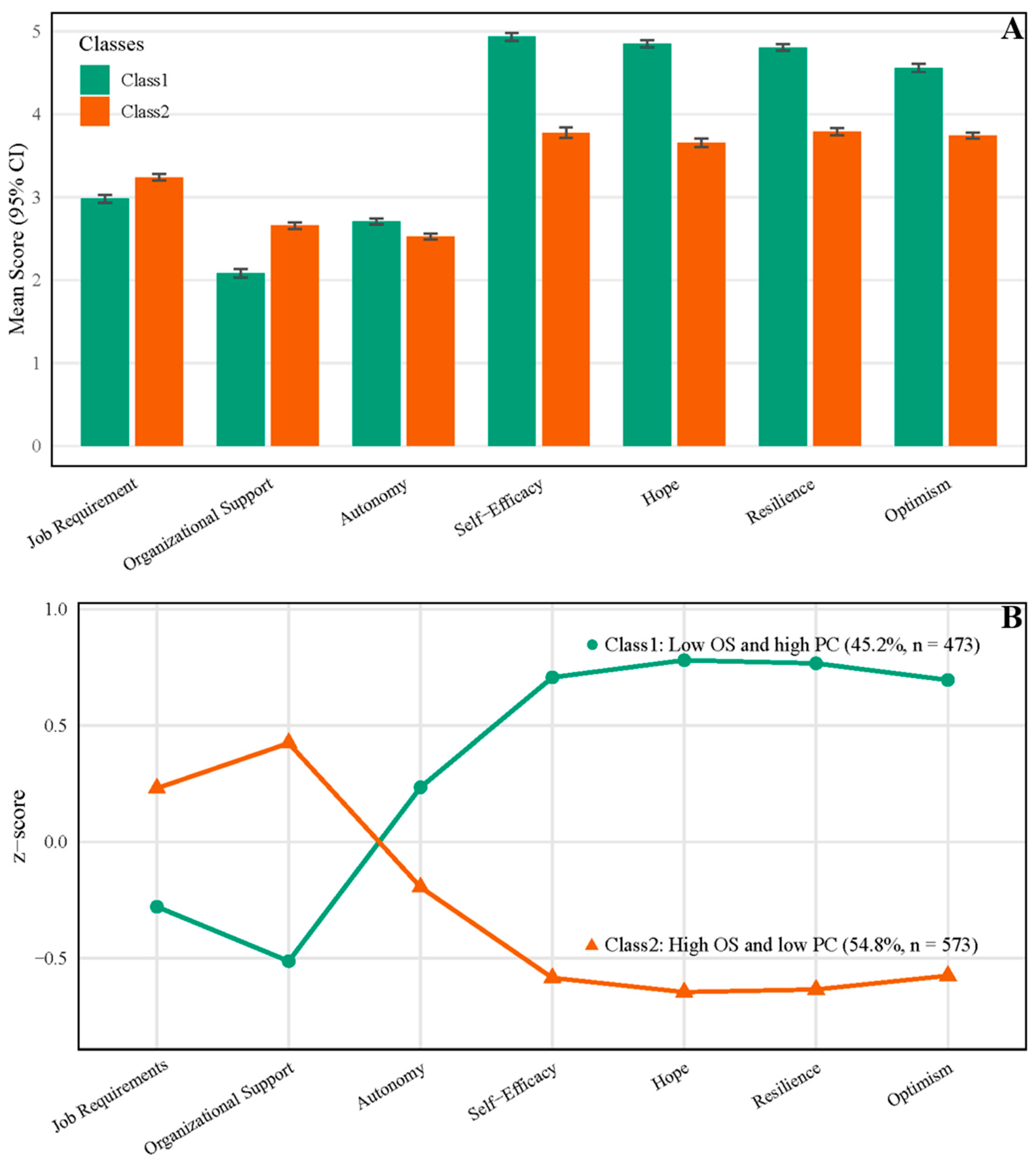
3.2. Classes Derived from LPA
3.3. Associations of Sleep Quality with Occupational Stress, Psychological Capital, and Latent Profile
3.4. The Modifying Effect of Psychological Capital on Occupational Stress–Sleep Quality Associations
3.5. The Mediation Effect of Psychological Capital on Occupational Stress–Sleep Quality Associations
4. Discussion
5. Conclusions
Supplementary Materials
Author Contributions
Funding
Institutional Review Board Statement
Informed Consent Statement
Data Availability Statement
Conflicts of Interest
References
- Xia, L.; Chen, C.; Liu, Z.; Luo, X.; Guo, C.; Liu, Z.; Zhang, K.; Liu, H. Prevalence of Sleep Disturbances and Sleep Quality in Chinese Healthcare Workers During the COVID-19 Pandemic: A Systematic Review and Meta-Analysis. Front. Psychiatry 2021, 12, 646342. [Google Scholar] [CrossRef]
- Tahernejad, S.; Ghaffari, S.; Farahmandnia, H.; Farahi-Ashtiani, I.; Sahebi, A.; Tahernejd, A. Sleep disorders among healthcare workers during the COVID-19 pandemic: An umbrella review and meta-analysis. Nurs. Pract. Today 2024, 11, 22–33. [Google Scholar] [CrossRef]
- Shi, L.; Lu, Z.A.; Que, J.Y.; Huang, X.L.; Liu, L.; Ran, M.S.; Gong, Y.M.; Yuan, K.; Yan, W.; Sun, Y.K.; et al. Prevalence of and Risk Factors Associated With Mental Health Symptoms Among the General Population in China During the Coronavirus Disease 2019 Pandemic. JAMA Netw Open 2020, 3, e2014053. [Google Scholar] [CrossRef]
- Bu, Y.; Yuan, L.; Tian, C.Y.; Zhao, C.Y.; Ji, C.L.; Gao, X.X.; Cai, Y.; Sun, D.J.; Liu, Y. 24 h urinary creatinine excretion during pregnancy and its application in appropriate estimation of 24 h urinary iodine excretion. J. Trace Elem. Med. Biol. 2021, 66, 126751. [Google Scholar] [CrossRef] [PubMed]
- Weaver, M.D.; Vetter, C.; Rajaratnam, S.M.W.; O’Brien, C.S.; Qadri, S.; Benca, R.M.; Rogers, A.E.; Leary, E.B.; Walsh, J.K.; Czeisler, C.A.; et al. Sleep disorders, depression and anxiety are associated with adverse safety outcomes in healthcare workers: A prospective cohort study. J. Sleep Res. 2018, 27, e12722. [Google Scholar] [CrossRef]
- Zeng, L.N.; Yang, Y.; Wang, C.; Li, X.H.; Xiang, Y.F.; Hall, B.J.; Ungvari, G.S.; Li, C.Y.; Chen, C.; Chen, L.G.; et al. Prevalence of Poor Sleep Quality in Nursing Staff: A Meta-Analysis of Observational Studies. Behav. Sleep Med. 2020, 18, 746–759. [Google Scholar] [CrossRef] [PubMed]
- Qiu, D.; Yu, Y.; Li, R.Q.; Li, Y.L.; Xiao, S.Y. Prevalence of sleep disturbances in Chinese healthcare professionals: A systematic review and meta-analysis. Sleep Med. 2020, 67, 258–266. [Google Scholar] [CrossRef] [PubMed]
- Cao, W.; Li, X.; Yan, Y.; Zhou, J.; Ye, J.; Lv, Q. Changes in sleep patterns in primary care workers during the first wave of the COVID-19 pandemic in 2022 in Shanghai: A cross-sectional study. Sci. Rep. 2024, 14, 12373. [Google Scholar] [CrossRef]
- Wang, Q.; Ding, J.; Dai, Y.; Yang, S.; Zhou, Z. Occupational Stress, Burnout, and Fatigue Among Healthcare Workers in Shanghai, China: A Questionnaire-Based Cross-Sectional Survey. Healthcare 2025, 13, 1600. [Google Scholar] [CrossRef]
- Zou, X.; Liu, S.; Li, J.; Chen, W.; Ye, J.; Yang, Y.; Zhou, F.; Ling, L. Factors Associated With Healthcare Workers’ Insomnia Symptoms and Fatigue in the Fight Against COVID-19, and the Role of Organizational Support. Front. Psychiatry 2021, 12, 652717. [Google Scholar] [CrossRef]
- Yang, F.; Di, N.; Guo, W.; Ding, W.; Yin, Y. Association between long working hours and occupational stress/fatigue accumulation in medical staff of tertiary grade A hospitals in Shanghai. J. Environ. Occup. Med. 2023, 40, 536–544. [Google Scholar] [CrossRef]
- Marvaldi, M.; Mallet, J.; Dubertret, C.; Moro, M.R.; Guessoum, S.B. Anxiety, depression, trauma-related, and sleep disorders among healthcare workers during the COVID-19 pandemic: A systematic review and meta-analysis. Neurosci. Biobehav. Rev. 2021, 126, 252–264. [Google Scholar] [CrossRef]
- Antza, C.; Kostopoulos, G.; Mostafa, S.; Nirantharakumar, K.; Tahrani, A. The links between sleep duration, obesity and type 2 diabetes mellitus. J. Endocrinol. 2021, 252, 125–141. [Google Scholar] [CrossRef]
- Jaspan, V.N.; Greenberg, G.S.; Parihar, S.; Park, C.M.; Somers, V.K.; Shapiro, M.D.; Lavie, C.J.; Virani, S.S.; Slipczuk, L. The Role of Sleep in Cardiovascular Disease. Curr. Atheroscler. Rep. 2024, 26, 249–262. [Google Scholar] [CrossRef]
- de Castro, A.B.; Fujishiro, K.; Rue, T.; Tagalog, E.A.; Samaco-Paquiz, L.P.; Gee, G.C. Associations between work schedule characteristics and occupational injury and illness. Int. Nurs. Rev. 2010, 57, 188–194. [Google Scholar] [CrossRef] [PubMed]
- Gershon, R.R.; Pearson, J.M.; Sherman, M.F.; Samar, S.M.; Canton, A.N.; Stone, P.W. The prevalence and risk factors for percutaneous injuries in registered nurses in the home health care sector. Am. J. Infect. Control 2009, 37, 525–533. [Google Scholar] [CrossRef] [PubMed]
- Caruso, C.C. Negative impacts of shiftwork and long work hours. Rehabil. Nurs. 2014, 39, 16–25. [Google Scholar] [CrossRef]
- Kalmbach, D.A.; Arnedt, J.T.; Song, P.X.; Guille, C.; Sen, S. Sleep Disturbance and Short Sleep as Risk Factors for Depression and Perceived Medical Errors in First-Year Residents. Sleep 2017, 40, zsw073. [Google Scholar] [CrossRef]
- Młynarska, A.; Bronder, M.; Kolarczyk, E.; Manulik, S.; Młynarski, R. Determinants of Sleep Disorders and Occupational Burnout among Nurses: A Cross-Sectional Study. Int. J. Environ. Res. Public Health 2022, 19, 6218. [Google Scholar] [CrossRef]
- Kalimo, R.; Tenkanen, L.; Härmä, M.; Poppius, E.; Heinsalmi, P. Job stress and sleep disorders: Findings from the Helsinki Heart Study. Stress Med. 2000, 16, 65–75. [Google Scholar] [CrossRef]
- Alabduljabbar, Z.M.; Al Beshri, Z.S.; Alhejji, E.A.; Qismayn, A.I.; Al Shuhaib, J.Y.; Abushomi, H.Q.; Abdulelah A, M.A.; Saud S, A.B.; Abdulaziz, A.A.; Alghanem, A.M.A. A Review of Psychological and Moral Challenges Faced by Medical Staff in High-Stress Environments. J. Ecohumanism 2024, 3, 983–990. [Google Scholar] [CrossRef]
- Landsbergis, P.A. Occupational stress among health care workers: A test of the job demands-control model. J. Organ. Behav. 1988, 9, 217–239. [Google Scholar] [CrossRef]
- Khammissa, R.A.; Nemutandani, S.; Shangase, S.L.; Feller, G.; Lemmer, J.; Feller, L. The burnout construct with reference to healthcare providers: A narrative review. SAGE Open Med. 2022, 10, 20503121221083080. [Google Scholar] [CrossRef]
- Mao, Y.; Raju, G.; Zabidi, M.A. Association Between Occupational Stress and Sleep Quality: A Systematic Review. Nat. Sci. Sleep 2023, 15, 931–947. [Google Scholar] [CrossRef]
- Drake, C.; Richardson, G.; Roehrs, T.; Scofield, H.; Roth, T. Vulnerability to stress-related sleep disturbance and hyperarousal. Sleep 2004, 27, 285–291. [Google Scholar] [CrossRef]
- Wang, J.Q.; Chen, J.Y.; Zheng, L.Z.; Zeng, B.J.; Yan, X.T.; Xia, M.J.; Chen, L.L. Influence of psychological capital on core competency for new nurses. PLoS ONE 2023, 18, e0289105. [Google Scholar] [CrossRef]
- Alessandri, G.; Consiglio, C.; Luthans, F.; Borgogni, L. Testing a dynamic model of the impact of psychological capital on work engagement and job performance. Career Dev. Int. 2018, 23, 33–47. [Google Scholar] [CrossRef]
- Widianto, S.; Wilderom, C.P.M. Followers’ PsyCap and Job Performance: A Longitudinal COR Approach to Transformational Leadership as a Key Resource. Sage Open 2023, 13. [Google Scholar] [CrossRef]
- Mensah, J.T.; Amponsah-Tawiah, K. Mitigating occupational stress: The role of psychological capital. J. Workplace Behav. Health 2016, 31, 189–203. [Google Scholar] [CrossRef]
- Youssef-Morgan, C.M.; Craig, L. Work–life balance, stress and well-being: Moderating effects of psychological capital. In Creating Psychologically Healthy Workplaces; Edward Elgar Publishing: Cheltenham, UK, 2019. [Google Scholar]
- Du, J.; He, S.Z.; Li, M.J.; Wu, C.; Zheng, W.K.; Zhang, L.Y.; Heng, C.N.; Ni, C.P.; Lang, H.J. The relationship between psychosocial job stressors and insomnia: The mediating role of psychological capital. Nurs. Open 2023. [Google Scholar] [CrossRef] [PubMed]
- Cao, Q.; Wu, H.; Tang, X.; Zhang, Q.; Zhang, Y. Effect of occupational stress and resilience on insomnia among nurses during COVID-19 in China: A structural equation modelling analysis. BMJ Open 2024, 14, e080058. [Google Scholar] [CrossRef]
- Uchino, B.N.; Cribbet, M.; de Grey, R.G.; Cronan, S.; Trettevik, R.; Smith, T.W. Dispositional optimism and sleep quality: A test of mediating pathways. J. Behav. Med. 2017, 40, 360–365. [Google Scholar] [CrossRef]
- Yan, Y.; Yang, Y.; Li, Y.; Guo, J.; Zhu, P.; Tuoheti, B.; Chen, L.; Gu, J.; Huang, J.; Shen, J. Association of leisure-time physical activity and sleep quality among healthcare workers in China: A cross-sectional study. BMC Public Health 2025, 25, 2136. [Google Scholar] [CrossRef]
- Hofmans, J.; Morin, A.J.S.; Bal, I.M. Person-Centered Approaches; Edward Elgar Publishing: Cheltenham, UK, 2024. [Google Scholar]
- Riolli, L.; Savicki, V.; Richards, J. Psychological Capital as a Buffer to Student Stress. Psychology 2012, 3, 1202–1207. [Google Scholar] [CrossRef]
- Valdersnes, K.B.; Eid, J.; Hystad, S.W.; Nielsen, M.B. Does psychological capital moderate the relationship between worries about accidents and sleepiness? Int. Marit. Health 2017, 68, 245–251. [Google Scholar] [CrossRef] [PubMed]
- Lin, P.C.; Chen, C.H.; Pan, S.M.; Chen, Y.M.; Pan, C.H.; Hung, H.C.; Wu, M.T. The association between rotating shift work and increased occupational stress in nurses. J. Occup. Health 2015, 57, 307–315. [Google Scholar] [CrossRef]
- Ganesan, S.; Magee, M.; Stone, J.E.; Mulhall, M.D.; Collins, A.; Howard, M.E.; Lockley, S.W.; Rajaratnam, S.M.W.; Sletten, T.L. The Impact of Shift Work on Sleep, Alertness and Performance in Healthcare Workers. Sci. Rep. 2019, 9, 4635. [Google Scholar] [CrossRef]
- Dong, H.; Zhang, Q.; Sun, Z.; Sang, F.; Xu, Y. Sleep disturbances among Chinese clinical nurses in general hospitals and its influencing factors. BMC Psychiatry 2017, 17, 241. [Google Scholar] [CrossRef]
- Stefan, L.; Sporis, G.; Kristicevic, T. The associations between sleep duration and sleep quality with self-rated health in young adults: A population-based study. Int. J. Adolesc. Med. Health 2018, 32, 20180007. [Google Scholar] [CrossRef]
- Karasek, R.; Brisson, C.; Kawakami, N.; Houtman, I.; Bongers, P.; Amick, B. The Job Content Questionnaire (JCQ): An instrument for internationally comparative assessments of psychosocial job characteristics. J. Occup. Health Psychol. 1998, 3, 322–355. [Google Scholar] [CrossRef]
- Li, J.; Yang, W.; Liu, P.; Xu, Z.; Cho, S.I. Psychometric evaluation of the Chinese (mainland) version of Job Content Questionnaire: A study in university hospitals. Ind. Health 2004, 42, 260–267. [Google Scholar] [CrossRef] [PubMed]
- Liu, X.C.; Tang, M.Q.; Hu, L.; Wang, A.Z.; Wu, H.X.; Zhao, G.F.; Gao, C.N.; Li, W.S. Reliability and validity of the Pittsburgh sleep quality index. Chin. J. Psychiatry 1996, 29, 103–107. [Google Scholar]
- Buysse, D.J.; Reynolds, C.F.; Monk, T.H.; Berman, S.R.; Kupfer, D.J. The Pittsburgh Sleep Quality Index—A New Instrument for Psychiatric Practice and Research. Psychiatry Res. 1989, 28, 193–213. [Google Scholar] [CrossRef]
- Liu, C.Q.; Luo, Q.; Luo, D.Y.; Zhou, Y.; Feng, X.; Wang, Z.H.; Xiao, J.J.; Bi, Q.L.; Smith, G.D. Quality of life profiles and its association with predictors amongst Chinese older adults in nursing homes: A latent profile analysis. BMC Geriatr. 2023, 23, 740. [Google Scholar] [CrossRef]
- Bajenaru, L.; Balog, A.; Dobre, C.; Draghici, R.; Prada, G.I. Latent profile analysis for quality of life in older patients. BMC Geriatr. 2022, 22, 1–7. [Google Scholar] [CrossRef]
- Vagetti, G.C.; Barbosa, V.C.; Moreira, N.B.; de Oliveira, V.; Mazzardo, O.; de Campos, W. Association between physical activity and quality of life in the elderly: A systematic review, 2000–2012. Rev. Bras. Psiquiatr. 2014, 36, 76–88. [Google Scholar] [CrossRef]
- Lönnqvist, K.; Sinervo, T.; Kaihlanen, A.M.; Elovainio, M. Psychosocial work characteristic profiles and health outcomes in registered nurses at different stages of their careers: A cross-sectional study. BMC Health Serv. Res. 2025, 25, 214. [Google Scholar] [CrossRef]
- Keller, A.C.; Igic, I.; Meier, L.L.; Semmer, N.K.; Schaubroeck, J.M.; Brunner, B.; Elfering, A. Testing job typologies and identifying at-risk subpopulations using factor mixture models. J. Occup. Health Psychol. 2017, 22, 503–517. [Google Scholar] [CrossRef]
- Hanson, L.L.; Åkerstedt, T.; Näswall, K.; Leineweber, C.; Theorell, T.; Westerlund, H. Cross-lagged relationships between workplace demands, control, support, and sleep problems. Sleep 2011, 34, 1403–1410. [Google Scholar] [CrossRef] [PubMed]
- Van Laethem, M.; Beckers, D.G.; Kompier, M.A.; Dijksterhuis, A.; Geurts, S.A. Psychosocial work characteristics and sleep quality: A systematic review of longitudinal and intervention research. Scand. J. Work Environ. Health 2013, 39, 535–549. [Google Scholar] [CrossRef] [PubMed]
- Van Laethem, M.; Beckers, D.G.J.; Geurts, S.A.E.; Garefelt, J.; Magnusson Hanson, L.L.; Leineweber, C. Perseverative Cognition as an Explanatory Mechanism in the Relation Between Job Demands and Sleep Quality. Int. J. Behav. Med. 2018, 25, 231–242. [Google Scholar] [CrossRef]
- Knudsen, H.K.; Ducharme, L.J.; Roman, P.M. Job stress and poor sleep quality: Data from an American sample of full-time workers. Soc. Sci. Med. 2007, 64, 1997–2007. [Google Scholar] [CrossRef] [PubMed]
- Kent de Grey, R.G.; Uchino, B.N.; Trettevik, R.; Cronan, S.; Hogan, J.N. Social support and sleep: A meta-analysis. Health Psychol. 2018, 37, 787–798. [Google Scholar] [CrossRef] [PubMed]
- Cho, H.; Sagherian, K.; Steege, L.M. Latent Profiles of Nurses’ Insomnia, Fatigue, Recovery, Psychological Distress and Burnout During the COVID-19 Pandemic: Examining the Role of Organisational Support. J. Adv. Nurs. 2025. [Google Scholar] [CrossRef] [PubMed]
- Maykrantz, S.A.; Nobiling, B.D.; Oxarart, R.A.; Langlinais, L.A.; Houghton, J.D. Coping with the crisis: The effects of psychological capital and coping behaviors on perceived stress. Int. J. Workplace Health Manag. 2021, 14, 650–665. [Google Scholar] [CrossRef]
- Kushida, C.A.; Chang, A.; Gadkary, C.; Guilleminault, C.; Carrillo, O.; Dement, W.C. Comparison of actigraphic, polysomnographic, and subjective assessment of sleep parameters in sleep-disordered patients. Sleep Med. 2001, 2, 389–396. [Google Scholar] [CrossRef]
- Abdou, A.H.; El-Amin, M.A.-M.M.; Refai, A.M.S.; Saleh, H.G.A.; Karar, H.A.D.; Bushara, M.A.; Ali, H.S.A.M.; Mohamed, A.S.D.; Hassan, M.B.M.; Elenain, A.S.A. The Synergy of Psychological Capital and Job Embeddedness: Extending The Conservation of Resources Theory in Hospitality Employee Retention. Geoj. Tour. Geosites 2025, 58, 344–353. [Google Scholar] [CrossRef]

| Variable | Total | Class 1 a | Class 2 b | p-Value c |
|---|---|---|---|---|
| Demographic characteristics | ||||
| Age (years) | 0.038 | |||
| ≤30 | 395 (37.8%) | 162 (34.2%) | 233 (40.7%) | |
| 31–40 | 334 (31.9%) | 162 (34.2%) | 172 (30.0%) | |
| 41–50 | 225 (21.5%) | 98 (20.7%) | 127 (22.2%) | |
| >50 | 92 (8.8%) | 51 (10.8%) | 41 (7.2%) | |
| Sex | 0.826 | |||
| female | 845 (80.8%) | 384 (81.2%) | 461 (80.5%) | |
| male | 201 (19.2%) | 89 (18.8%) | 112 (19.5%) | |
| Education level | 0.148 | |||
| junior college and lower | 291 (27.8%) | 145 (30.7%) | 146 (25.5%) | |
| bachelor’s degree | 685 (65.5%) | 300 (63.4%) | 385 (67.2%) | |
| master’s degree and higher | 70 (6.7%) | 28 (5.9%) | 42 (7.3%) | |
| Marital status | 0.187 | |||
| unmarried | 253 (24.2%) | 107 (22.6%) | 146 (25.5%) | |
| married without child/ren | 95 (9.1%) | 43 (9.1%) | 52 (9.1%) | |
| married with child/ren | 681 (65.1%) | 319 (67.4%) | 362 (63.2%) | |
| other | 17 (1.6%) | 4 (0.8%) | 13 (2.3%) | |
| Monthly income (CNY) | 0.025 | |||
| ≤1 w | 590 (56.4%) | 265 (56.0%) | 325 (56.7%) | |
| 1–1.5 w | 400 (38.2%) | 173 (36.6%) | 227 (39.6%) | |
| >1.5 w | 56 (5.4%) | 35 (7.4%) | 21 (3.7%) | |
| Work-related characteristics | ||||
| Department | ||||
| clinic | 617 (59.0%) | 252 (53.3%) | 365 (63.7%) | <0.001 |
| technology | 112 (10.7%) | 49 (10.4%) | 63 (11.0%) | |
| auxiliary | 317 (30.3%) | 172 (36.4%) | 145 (25.3%) | |
| Occupation | 0.005 | |||
| nurse | 512 (48.9%) | 245 (51.8%) | 267 (46.6%) | |
| physician | 278 (26.6%) | 103 (21.8%) | 175 (30.5%) | |
| technician | 70 (6.7%) | 29 (6.1%) | 41 (7.2%) | |
| apothecary | 82 (7.8%) | 37 (7.8%) | 45 (7.9%) | |
| others | 104 (9.9%) | 59 (12.5%) | 45 (7.9%) | |
| Job title | 0.339 | |||
| primary | 577 (55.2%) | 253 (53.5%) | 324 (56.5%) | |
| intermediate | 397 (38.0%) | 182 (38.5%) | 215 (37.5%) | |
| senior | 72 (6.9%) | 38 (8.0%) | 34 (5.9%) | |
| Hospital level | 0.868 | |||
| primary level | 167 (16.0%) | 77 (16.3%) | 90 (15.7%) | |
| secondary level | 879 (84.0%) | 396 (83.7%) | 483 (84.3%) | |
| Work year (year) | 0.088 | |||
| <5 | 266 (25.4%) | 117 (24.7%) | 149 (26.0%) | |
| 5–10 | 264 (25.2%) | 104 (22.0%) | 160 (27.9%) | |
| 10–20 | 248 (23.7%) | 122 (25.8%) | 126 (22.0%) | |
| >20 | 268 (25.6%) | 130 (27.5%) | 138 (24.1%) | |
| Weekly worktime (hour) | 0.031 | |||
| ≤40 | 312 (29.8%) | 147 (31.1%) | 165 (28.8%) | |
| 41–48 | 572 (54.7%) | 270 (57.1%) | 302 (52.7%) | |
| 49–54 | 101 (9.7%) | 34 (7.2%) | 67 (11.7%) | |
| ≥55 | 61 (5.8%) | 22 (4.7%) | 39 (6.8%) | |
| Daily break time (min) | 0.003 | |||
| no | 59 (5.6%) | 16 (3.4%) | 43 (7.5%) | |
| 10–30 | 228 (21.8%) | 91 (19.2%) | 137 (23.9%) | |
| 30–60 | 336 (32.1%) | 156 (33.0%) | 180 (31.4%) | |
| >60 | 423 (40.4%) | 210 (44.4%) | 213 (37.2%) | |
| Inter-day rest time (hour) | 0.072 | |||
| <8 | 118 (11.3%) | 53 (11.2%) | 65 (11.3%) | |
| 8–12 | 418 (40.0%) | 172 (36.4%) | 246 (42.9%) | |
| 12–24 | 452 (43.2%) | 215 (45.5%) | 237 (41.4%) | |
| >24 | 58 (5.5%) | 33 (7.0%) | 25 (4.4%) | |
| Night shifts per month | <0.001 | |||
| none | 528 (50.5%) | 273 (57.7%) | 255 (44.5%) | |
| 1–3 | 165 (15.8%) | 75 (15.9%) | 90 (15.7%) | |
| 4–7 | 318 (30.4%) | 112 (23.7%) | 206 (36.0%) | |
| >8 | 35 (3.3%) | 13 (2.7%) | 22 (3.8%) | |
| Lifestyle factors | ||||
| Drinking | 0.166 | |||
| no | 975 (93.2%) | 447 (94.5%) | 528 (92.1%) | |
| yes | 71 (6.8%) | 26 (5.5%) | 45 (7.9%) | |
| Smoking | 0.849 | |||
| no | 1006 (96.2%) | 456 (96.4%) | 550 (96.0%) | |
| yes | 40 (3.8%) | 17 (3.6%) | 23 (4.0%) | |
| Physical exercise | 0.026 | |||
| no | 804 (76.9%) | 348 (73.6%) | 456 (79.6%) | |
| yes | 242 (23.1%) | 125 (26.4%) | 117 (20.4%) | |
| Health status | ||||
| Self-health evaluation | <0.001 | |||
| good | 239 (22.8%) | 168 (35.5%) | 71 (12.4%) | |
| general | 646 (61.8%) | 271 (57.3%) | 375 (65.4%) | |
| poor | 161 (15.4%) | 34 (7.2%) | 127 (22.2%) | |
| Occupational stress | <0.001 | |||
| no | 275 (26.3%) | 173 (36.6%) | 102 (17.8%) | |
| yes | 771 (73.7%) | 300 (63.4%) | 471 (82.2%) | |
| Sleep disturbance | <0.001 | |||
| no | 684 (65.4%) | 371 (78.4%) | 313 (54.6%) | |
| yes | 362 (34.6%) | 102 (21.6%) | 260 (45.4%) | |
| Sleep Quality | Subjective Sleep Quality | Daytime Dysfunction | Sleep Latency | Sleep Duration | ||||
|---|---|---|---|---|---|---|---|---|
| β (95%CI) | p Value | β (95%CI) | p Value | β (95%CI) | p Value | β (95%CI) | p Value | |
| Occupational stress | ||||||||
| Job requirements | 0.21 (0.11, 0.30) | <0.001 | 0.36 (0.27, 0.45) | <0.001 | 0.18 (0.06, 0.31) | 0.004 | 0.22 (0.12, 0.31) | <0.001 |
| Organizational support | 0.16 (0.08, 0.24) | <0.001 | 0.25 (0.18, 0.33) | <0.001 | 0.18 (0.08, 0.29) | <0.001 | 0.18 (0.10, 0.26) | <0.001 |
| Autonomy | −0.20 (−0.30, −0.09) | <0.001 | −0.20 (−0.30, −0.10) | <0.001 | −0.19 (−0.33, −0.05) | 0.007 | −0.18 (−0.28, −0.07) | 0.001 |
| Total score | 0.29 (0.17, 0.40) | <0.001 | 0.39 (0.28, 0.50) | <0.001 | 0.21 (0.06, 0.37) | 0.007 | 0.25 (0.13, 0.37) | <0.001 |
| Psychological capital | ||||||||
| Self-efficacy | −0.15 (−0.20, −0.10) | <0.001 | −0.18 (−0.23, −0.13) | <0.001 | −0.16 (−0.23, −0.09) | <0.001 | −0.08 (−0.14, −0.03) | 0.002 |
| Hope | −0.19 (−0.25, −0.14) | <0.001 | −0.23 (−0.28, −0.18) | <0.001 | −0.18 (−0.26, −0.11) | <0.001 | −0.11 (−0.17, −0.05) | <0.001 |
| Resilience | −0.19 (−0.25, −0.13) | <0.001 | −0.25 (−0.31, −0.20) | <0.001 | −0.16 (−0.25, −0.08) | <0.001 | −0.10 (−0.16, −0.03) | 0.004 |
| Optimism | −0.24 (−0.31, −0.17) | <0.001 | −0.27 (−0.33, −0.20) | <0.001 | −0.25 (−0.34, −0.15) | <0.001 | −0.16 (−0.23, −0.08) | <0.001 |
| Total score | −0.26 (−0.33, −0.19) | <0.001 | −0.31 (−0.38, −0.25) | <0.001 | −0.25 (−0.34, −0.16) | <0.001 | −0.15 (−0.22, −0.07) | <0.001 |
| Latent profile (Refer to Class 1) | ||||||||
| Class 2 | 0.26 (0.17, 0.35) | <0.001 | 0.34 (0.26, 0.43) | <0.001 | 0.28 (0.16, 0.40) | <0.001 | 0.17 (0.07, 0.26) | 0.001 |
| Sleep Quality | Sleep Efficiency | Sleep Disturbances | Use of Sleeping Medications | PSQI | ||||
| β (95%CI) | p Value | β (95%CI) | p Value | β (95%CI) | p Value | β (95%CI) | p Value | |
| Occupational stress | ||||||||
| Job requirements | 0.03 (−0.07, 0.13) | 0.573 | 0.24 (0.16, 0.32) | <0.001 | 0.04 (−0.04, 0.11) | 0.307 | 1.28 (0.89, 1.66) | <0.001 |
| Organizational support | 0.06 (−0.02, 0.15) | 0.136 | 0.17 (0.10, 0.23) | <0.001 | 0.04 (−0.02, 0.10) | 0.206 | 1.05 (0.73, 1.37) | <0.001 |
| Autonomy | −0.05 (−0.16, 0.06) | 0.404 | −0.19 (−0.28, −0.10) | <0.001 | 0.05 (−0.04, 0.13) | 0.263 | −0.96 (−1.39, −0.52) | <0.001 |
| Total score | 0.07 (−0.05, 0.20) | 0.260 | 0.31 (0.21, 0.41) | <0.001 | 0.02 (−0.08, 0.11) | 0.744 | 1.55 (1.06, 2.03) | <0.001 |
| Psychological capital | ||||||||
| Self-efficacy | −0.06 (−0.12, −0.01) | 0.026 | −0.11 (−0.15, −0.07) | <0.001 | −0.06 (−0.10, −0.02) | 0.006 | −0.80 (−1.02, −0.59) | <0.001 |
| Hope | −0.04 (−0.10, 0.02) | 0.177 | −0.13 (−0.18, −0.08) | <0.001 | −0.04 (−0.08, 0.00) | 0.074 | −0.93 (−1.15, −0.70) | <0.001 |
| Resilience | −0.04 (−0.11, 0.02) | 0.195 | −0.14 (−0.20, −0.09) | <0.001 | −0.07 (−0.12, −0.02) | 0.005 | −0.96 (−1.22, −0.70) | <0.001 |
| Optimism | −0.08 (−0.16, −0.00) | 0.040 | −0.15 (−0.21, −0.08) | <0.001 | −0.06 (−0.12, −0.00) | 0.034 | −1.20 (−1.49, −0.90) | <0.001 |
| Total score | −0.08 (−0.15, −0.00) | 0.041 | −0.18 (−0.24, −0.12) | <0.001 | −0.08 (−0.13, −0.02) | 0.005 | −1.31 (−1.59, −1.02) | <0.001 |
| Latent profile (Refer to Class 1) | ||||||||
| Class 2 | 0.09 (−0.00, 0.19) | 0.063 | 0.21 (0.13, 0.28) | <0.001 | 0.08 (0.01, 0.15) | 0.027 | 1.43 (1.06, 1.81) | <0.001 |
| Total Score of Psychological Capital | Subjective Sleep Quality | Daytime Dysfunction | Sleep Latency | Sleep Duration | ||||
|---|---|---|---|---|---|---|---|---|
| β (95%CI) | p Value | β (95%CI) | p Value | β (95%CI) | p Value | β (95%CI) | p Value | |
| Below median | ||||||||
| Job requirements | 0.18 (0.04, 0.32) | 0.011 | 0.33 (0.20, 0.45) | <0.001 | 0.11 (−0.08, 0.30) | 0.247 | 0.15 (0.00, 0.29) | 0.043 |
| Organizational support | 0.12 (−0.01, 0.24) | 0.069 | 0.20 (0.08, 0.32) | 0.001 | 0.09 (−0.07, 0.26) | 0.279 | 0.16 (0.04, 0.29) | 0.012 |
| Autonomy | −0.18 (−0.33, −0.03) | 0.022 | −0.07 (−0.22, 0.07) | 0.325 | −0.12 (−0.33, 0.08) | 0.235 | −0.19 (−0.34, −0.03) | 0.019 |
| Total score | 0.24 (0.09, 0.40) | 0.002 | 0.25 (0.11, 0.40) | 0.001 | 0.13 (−0.07, 0.34) | 0.210 | 0.20 (0.04, 0.35) | 0.016 |
| Equal or above median | ||||||||
| Job requirements | 0.20 (0.06, 0.33) | 0.004 | 0.30 (0.18, 0.42) | <0.001 | 0.20 (0.04, 0.37) | 0.017 | 0.25 (0.11, 0.39) | <0.001 |
| Organizational support | 0.09 (−0.02, 0.20) | 0.110 | 0.16 (0.06, 0.26) | 0.002 | 0.13 (−0.01, 0.27) | 0.064 | 0.16 (0.04, 0.27) | 0.007 |
| Autonomy | −0.16 (−0.31, −0.01) | 0.032 | −0.26 (−0.39, −0.12) | <0.001 | −0.21 (−0.40, −0.03) | 0.026 | −0.13 (−0.28, 0.03) | 0.104 |
| Total score | 0.29 (0.09, 0.48) | 0.004 | 0.47 (0.29, 0.64) | <0.001 | 0.29 (0.05, 0.53) | 0.019 | 0.30 (0.10, 0.50) | 0.003 |
| Sleep Efficiency | Sleep Disturbances | Use of sleeping Medications | PSQI | |||||
| β (95%CI) | p Value | β (95%CI) | p Value | β (95%CI) | p Value | β (95%CI) | p Value | |
| Below median | ||||||||
| Job requirements | 0.07 (−0.09, 0.23) | 0.398 | 0.29 (0.17, 0.41) | <0.001 | −0.00 (−0.12, 0.12) | 0.999 | 1.12 (0.54, 1.70) | <0.001 |
| Organizational support | 0.10 (−0.04, 0.24) | 0.177 | 0.16 (0.05, 0.28) | 0.004 | 0.06 (−0.05, 0.18) | 0.269 | 0.90 (0.37, 1.42) | 0.001 |
| Autonomy | −0.10 (−0.27, 0.07) | 0.253 | −0.22 (−0.35, −0.08) | 0.002 | 0.07 (−0.07, 0.20) | 0.332 | −0.81 (−1.45, −0.17) | 0.014 |
| Total score | 0.10 (−0.08, 0.27) | 0.270 | 0.33 (0.20, 0.47) | <0.001 | 0.01 (−0.13, 0.15) | 0.929 | 1.26 (0.61, 1.91) | <0.001 |
| Equal or above median | ||||||||
| Job requirements | −0.05 (−0.18, 0.08) | 0.424 | 0.15 (0.05, 0.26) | 0.005 | 0.05 (−0.04, 0.14) | 0.242 | 1.10 (0.59, 1.62) | <0.001 |
| Organizational support | 0.02 (−0.09, 0.13) | 0.748 | 0.09 (−0.00, 0.18) | 0.057 | −0.02 (−0.09, 0.05) | 0.629 | 0.63 (0.19, 1.07) | 0.005 |
| Autonomy | 0.01 (−0.14, 0.15) | 0.904 | −0.13 (−0.25, −0.01) | 0.031 | 0.06 (−0.04, 0.15) | 0.251 | −0.83 (−1.41, −0.24) | 0.006 |
| Total score | −0.01 (−0.20, 0.18) | 0.937 | 0.23 (0.08, 0.39) | 0.004 | −0.02 (−0.15, 0.11) | 0.746 | 1.55 (0.79, 2.30) | <0.001 |
Disclaimer/Publisher’s Note: The statements, opinions and data contained in all publications are solely those of the individual author(s) and contributor(s) and not of MDPI and/or the editor(s). MDPI and/or the editor(s) disclaim responsibility for any injury to people or property resulting from any ideas, methods, instructions or products referred to in the content. |
© 2025 by the authors. Licensee MDPI, Basel, Switzerland. This article is an open access article distributed under the terms and conditions of the Creative Commons Attribution (CC BY) license (https://creativecommons.org/licenses/by/4.0/).
Share and Cite
Yang, S.; Zhang, B.; Chen, J.; Li, J.; Zhang, B.; Zhou, Z. Latent Profile Analysis of Occupational Stress and Psychological Capital and the Dual Mechanisms of Psychological Capital in Healthcare Workers’ Sleep Quality. Healthcare 2025, 13, 3109. https://doi.org/10.3390/healthcare13233109
Yang S, Zhang B, Chen J, Li J, Zhang B, Zhou Z. Latent Profile Analysis of Occupational Stress and Psychological Capital and the Dual Mechanisms of Psychological Capital in Healthcare Workers’ Sleep Quality. Healthcare. 2025; 13(23):3109. https://doi.org/10.3390/healthcare13233109
Chicago/Turabian StyleYang, Sijia, Boya Zhang, Jian Chen, Jiahui Li, Bo Zhang, and Zhijun Zhou. 2025. "Latent Profile Analysis of Occupational Stress and Psychological Capital and the Dual Mechanisms of Psychological Capital in Healthcare Workers’ Sleep Quality" Healthcare 13, no. 23: 3109. https://doi.org/10.3390/healthcare13233109
APA StyleYang, S., Zhang, B., Chen, J., Li, J., Zhang, B., & Zhou, Z. (2025). Latent Profile Analysis of Occupational Stress and Psychological Capital and the Dual Mechanisms of Psychological Capital in Healthcare Workers’ Sleep Quality. Healthcare, 13(23), 3109. https://doi.org/10.3390/healthcare13233109

