Modeling Multivariate Distributions of Lipid Panel Biomarkers for Reference Interval Estimation and Comorbidity Analysis
Abstract
1. Introduction
2. Materials and Methods
2.1. Data
2.2. Methods
2.2.1. Transformation
2.2.2. Joint Distribution
2.2.3. Marginal and Conditional Distributions
- Marginals
- Conditionals
3. Results
3.1. Joint Distribution
3.2. Marginal Distributions and Reference Intervals
4. Discussion
4.1. RI Interpretation
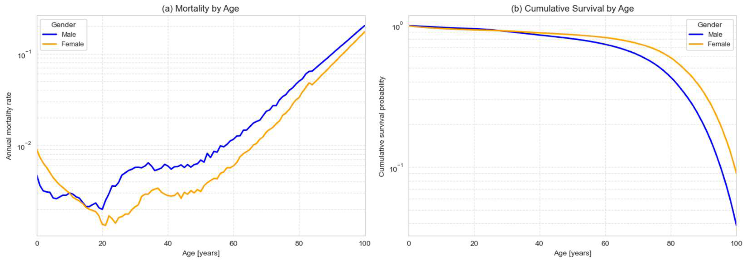
4.2. Selective Mortality
4.3. Implication Network
4.4. Limitations and Future Work
4.4.1. Ground Truth and Laboratory Data Limitations
4.4.2. Data Standardization and Harmonization
4.4.3. Future Work
5. Conclusions
Supplementary Materials
Author Contributions
Funding
Institutional Review Board Statement
Informed Consent Statement
Data Availability Statement
Conflicts of Interest
Abbreviations
| PR | Puerto Rico |
| PII | Personally identifiable information |
| LP | Lipid panel |
| CMP | Comprehensive metabolic panel |
| RI | Reference interval |
| GMM | Gaussian mixture model |
| BGMM | Bayesian Gaussian mixture model |
| CHOL | Total cholesterol |
| TRIG | Triglycerides |
| LDL | Low-density lipoprotein |
| HDL | High-density lipoprotein |
| A1C | Hemoglobin A1c |
| CREA | Serum creatinine |
| DM | Diabetes mellitus |
| CVD | Cardiovascular disease |
| CAD | Coronary artery disease |
| CKD | Chronic kidney disease |
| CLD | Chronic liver disease |
References
- Tsao, C.W.; Aday, A.W.; Almarzooq, Z.I.; Anderson, C.A.M.; Arora, P.; Avery, C.L.; Baker-Smith, C.M.; Beaton, A.Z.; Boehme, A.K.; Buxton, A.E.; et al. Heart Disease and Stroke Statistics—2023 Update: A Report from the American Heart Association. Circulation 2023, 147, 8. [Google Scholar] [CrossRef] [PubMed]
- Centers for Disease Control and Prevention (CDC) Heart Disease Facts. Available online: https://www.cdc.gov/heart-disease/data-research/facts-stats/ (accessed on 23 August 2025).
- Centers for Disease Control and Prevention (CDC) Heart Disease Deaths. Available online: https://www.cdc.gov/nchs/hus/topics/heart-disease-deaths.htm (accessed on 23 August 2025).
- Martin, S.S.; Aday, A.W.; Almarzooq, Z.I.; Anderson, C.A.M.; Arora, P.; Avery, C.L.; Baker-Smith, C.M.; Barone Gibbs, B.; Beaton, A.Z.; Boehme, A.K.; et al. 2024 Heart Disease and Stroke Statistics: A Report of US and Global Data from the American Heart Association. Circulation 2024, 149, 8. [Google Scholar] [CrossRef] [PubMed]
- Van Leeuwen, A.M.; Bladh, M.L. Davis’s Comprehensive Manual of Laboratory and Diagnostic Tests with Nursing Implications, 9th ed.; F.A. Davis Company: Philadelphia, PA, USA, 2021; ISBN 9781719640589. [Google Scholar]
- Arrobas Velilla, T.; Guijarro, C.; Ruiz, R.C.; Piñero, M.R.; Valderrama Marcos, J.F.; Pérez Pérez, A.; Botana López, A.M.; López, A.M.; García Donaire, J.A.; Obaya, J.C.; et al. Consensus Document for Lipid Profile Testing and Reporting in Spanish Clinical Laboratories: What Parameters Should a Basic Lipid Profile Include? Adv. Lab. Med. Av. Med. Lab. 2023, 4, 138–146. [Google Scholar] [CrossRef] [PubMed]
- Davidson, M.H.; Altenburg, M. Dyslipidemia. Available online: https://www.merckmanuals.com/professional/endocrine-and-metabolic-disorders/lipid-disorders/dyslipidemia (accessed on 23 August 2025).
- Ouimet, M.; Barrett, T.J.; Fisher, E.A. HDL and Reverse Cholesterol Transport. Circ. Res. 2019, 124, 1505–1518. [Google Scholar] [CrossRef]
- Miller, M.; Stone, N.J.; Ballantyne, C.; Bittner, V.; Criqui, M.H.; Ginsberg, H.N.; Goldberg, A.C.; Howard, W.J.; Jacobson, M.S.; Kris-Etherton, P.M.; et al. Triglycerides and Cardiovascular Disease. Circulation 2011, 123, 2292–2333. [Google Scholar] [CrossRef]
- Kosmas, C.E.; Bousvarou, M.D.; Kostara, C.E.; Papakonstantinou, E.J.; Salamou, E.; Guzman, E. Insulin Resistance and Cardiovascular Disease. J. Int. Med. Res. 2023, 51. [Google Scholar] [CrossRef]
- Tonelli, M.; Wanner, C. Kidney Disease: Improving Global Outcomes Lipid Guideline Development Work Group Members Lipid Management in Chronic Kidney Disease: Synopsis of the Kidney Disease: Improving Global Outcomes 2013 Clinical Practice Guideline. Ann. Intern. Med. 2014, 160, 182. [Google Scholar] [CrossRef]
- Geffré, A.; Friedrichs, K.; Harr, K.; Concordet, D.; Trumel, C.; Braun, J.-P. Reference Values: A Review. Vet. Clin. Pathol. 2009, 38, 288–298. [Google Scholar] [CrossRef]
- Ceriotti, F.; Hinzmann, R.; Panteghini, M. Reference Intervals: The Way Forward. Ann. Clin. Biochem. Int. J. Lab. Med. 2009, 46, 8–17. [Google Scholar] [CrossRef]
- Gräsbeck, R. The Evolution of the Reference Value Concept. Clin. Chem. Lab. Med. 2004, 42, 692–697. [Google Scholar] [CrossRef]
- Siest, G.; Henny, J.; Gräsbeck, R.; Wilding, P.; Petitclerc, C.; Queraltó, J.M.; Petersen, P.H. The Theory of Reference Values: An Unfinished Symphony. Clin. Chem. Lab. Med. (CCLM) 2013, 51, 47–64. [Google Scholar] [CrossRef]
- Grasbeck, R.; Saris, N.E. Establishment and Use of Normal Values. Scand. J. Clin. Lab. Investig. 1969, 26, 62–63. [Google Scholar]
- Horowitz, G.L.; Altaie, S.; Boyd, J.C.; Ceriotti, F.; Garg, U.; Horn, P.; Pesce, A.; Sine, H.E.; Zakowski, J. Defining, Establishing, and Verifying Reference Intervals in the Clinical Laboratory: Approved Guideline; Clinical and Laboratory Standards Institute: Wayne, PA, USA, 2008; ISBN 1-56238-682-4. [Google Scholar]
- Colantonio, D.A.; Kyriakopoulou, L.; Chan, M.K.; Daly, C.H.; Brinc, D.; Venner, A.A.; Pasic, M.D.; Armbruster, D.; Adeli, K. Closing the Gaps in Pediatric Laboratory Reference Intervals: A CALIPER Database of 40 Biochemical Markers in a Healthy and Multiethnic Population of Children. Clin. Chem. 2012, 58, 854–868. [Google Scholar] [CrossRef]
- Yang-Chun, F.; Min, F.; Di, Z.; Yan-Chun, H. Retrospective Study to Determine Diagnostic Utility of 6 Commonly Used Lung Cancer Biomarkers Among Han and Uygur Population in Xinjiang Uygur Autonomous Region of People’s Republic of China. Medicine 2016, 95, e3568. [Google Scholar] [CrossRef]
- Schini, M.; Nicklin, P.; Eastell, R. Establishing Race-, Gender- and Age-Specific Reference Intervals for Pyridoxal 5’-Phosphate in the NHANES Population to Better Identify Adult Hypophosphatasia. Bone 2020, 141, 115577. [Google Scholar] [CrossRef]
- Mayr, F.X.; Bertram, A.; Cario, H.; Frühwald, M.C.; Groß, H.-J.; Groening, A.; Grützner, S.; Gscheidmeier, T.; Hoffmann, R.; Krebs, A.; et al. Influence of Turkish Origin on Hematology Reference Intervals in the German Population. Sci. Rep. 2021, 11, 21074. [Google Scholar] [CrossRef] [PubMed]
- Sasamoto, N.; Vitonis, A.F.; Fichorova, R.N.; Yamamoto, H.S.; Terry, K.L.; Cramer, D.W. Racial/Ethnic Differences in Average CA125 and CA15.3 Values and Its Correlates among Postmenopausal Women in the USA. Cancer Causes Control 2021, 32, 299–309. [Google Scholar] [CrossRef] [PubMed]
- Ma, S.; Yu, J.; Qin, X.; Liu, J. Current Status and Challenges in Establishing Reference Intervals Based on Real-World Data. Crit. Rev. Clin. Lab. Sci. 2023, 60, 427–441. [Google Scholar] [CrossRef] [PubMed]
- Sikaris, K.A. Separating Disease and Health for Indirect Reference Intervals. J. Lab. Med. 2021, 45, 55–68. [Google Scholar] [CrossRef]
- Farrell, C.J.L.; Nguyen, L. Indirect Reference Intervals: Harnessing the Power of Stored Laboratory Data. Clin. Biochem. Rev. 2019, 40, 99–111. [Google Scholar] [CrossRef]
- Jones, G.R.D.; Haeckel, R.; Loh, T.P.; Sikaris, K.; Streichert, T.; Katayev, A.; Barth, J.H.; Ozarda, Y. Indirect Methods for Reference Interval Determination-Review and Recommendations. Clin. Chem. Lab. Med. 2019, 57, 20–29. [Google Scholar] [CrossRef]
- Velev, J.; LeBien, J.; Roche-Lima, A. Unsupervised Machine Learning Method for Indirect Estimation of Reference Intervals for Chronic Kidney Disease in the Puerto Rican Population. Sci. Rep. 2023, 13, 17198. [Google Scholar] [CrossRef]
- LeBien, J.; Velev, J.; Roche-Lima, A. Indirect Reference Interval Estimation Using a Convolutional Neural Network with Application to Cancer Antigen 125. Sci. Rep. 2024, 14, 19332. [Google Scholar] [CrossRef] [PubMed]
- Velev, J.; Lebien, J.; Hernandez-Suarez, D.; Roche-Lima, A. Machine Learning Method to Estimate Multivariate Reference Surfaces from Real-World Data Applied to Liver Disease Diagnostics in the Puerto Rican Population. BMC Med. Inform. Decis. Mak. 2025. submitted. [Google Scholar]
- Ammer, T.; Schützenmeister, A.; Prokosch, H.-U.; Zierk, J.; Rank, C.M.; Rauh, M. RIbench: A Proposed Benchmark for the Standardized Evaluation of Indirect Methods for Reference Interval Estimation. Clin. Chem. 2022, 68, 1410–1424. [Google Scholar] [CrossRef] [PubMed]
- Murphy, K.P. Machine Learning: A Probabilistic Perspective; MIT Press: Cambridge, MA, USA, 2012; ISBN 9780262018029. [Google Scholar]
- Pedregosa, F.; Varoquaux, G.; Gramfort, A.; Michel, V.; Thirion, B.; Grisel, O.; Blondel, M.; Prettenhofer, P. and Weiss, R.; Dubourg, V.; Vanderplas, J.; Passos, A.; et al. Scikit-Learn: Machine Learning in Python. J. Mach. Learn. Res. 2011, 12, 2825–2830. [Google Scholar]
- Scikit-Learn 1.3.0 Bayesian Gaussian Mixture Model. Available online: https://scikit-learn.org/stable/modules/generated/sklearn.mixture.BayesianGaussianMixture.html (accessed on 29 August 2023).
- Friedewald, W.T.; Levy, R.I.; Fredrickson, D.S. Estimation of the Concentration of Low-Density Lipoprotein Cholesterol in Plasma, without Use of the Preparative Ultracentrifuge. Clin. Chem. 1972, 18, 499–502. [Google Scholar] [CrossRef]
- Ravnskov, U.; Diamond, D.M.; Hama, R.; Hamazaki, T.; Hammarskjöld, B.; Hynes, N.; Kendrick, M.; Langsjoen, P.H.; Malhotra, A.; Mascitelli, L.; et al. Lack of an Association or an Inverse Association between Low-Density-Lipoprotein Cholesterol and Mortality in the Elderly: A Systematic Review. BMJ Open 2016, 6, e010401. [Google Scholar] [CrossRef]
- Jacobs, D.; Blackburn, H.; Higgins, M.; Reed, D.; Iso, H.; McMillan, G.; Neaton, J.; Nelson, J.; Potter, J.; Rifkind, B. Report of the Conference on Low Blood Cholesterol: Mortality Associations. Circulation 1992, 86, 1046–1060. [Google Scholar] [CrossRef]
- Hu, F.; Wang, Z.; Liu, Y.; Gao, Y.; Liu, S.; Xu, C.; Wang, Y.; Cai, Y. Association between Total Cholesterol and All-Cause Mortality in Oldest Old: A National Longitudinal Study. Front. Endocrinol. 2024, 15. [Google Scholar] [CrossRef]
- Ferrara, A.; Barrett-Connor, E.; Shan, J. Total, LDL, and HDL Cholesterol Decrease with Age in Older Men and Women. Circulation 1997, 96, 37–43. [Google Scholar] [CrossRef]
- US Census Bureau Puerto Rico Commonwealth Population by Characteristics: 2020–2024. Available online: https://www.census.gov/data/tables/time-series/demo/popest/2020s-detail-puerto-rico.html (accessed on 23 August 2025).
- Gompertz, B. XXIV. On the Nature of the Function Expressive of the Law of Human Mortality, and on a New Mode of Determining the Value of Life Contingencies. In a Letter to Francis Baily, Esq. F. R. S. & c. Philos. Trans. R. Soc. Lond. 1825, 115, 513–583. [Google Scholar] [CrossRef]
- Hidalgo, C.A.; Blumm, N.; Barabási, A.-L.; Christakis, N.A. A Dynamic Network Approach for the Study of Human Phenotypes. PLoS Comput. Biol. 2009, 5, e1000353. [Google Scholar] [CrossRef]
- Barabási, A.-L.; Gulbahce, N.; Loscalzo, J. Network Medicine: A Network-Based Approach to Human Disease. Nat. Rev. Genet. 2011, 12, 56–68. [Google Scholar] [CrossRef]
- Kleinberg, J.M. Authoritative Sources in a Hyperlinked Environment. J. ACM 1999, 46, 604–632. [Google Scholar] [CrossRef]







| Biomarker | Results | Persons | Male | Female |
|---|---|---|---|---|
| Total cholesterol (CHOL) Triglycerides (TRIG) Low-density lipoprotein (LDL) High-density lipoprotein (HDL) | 4,349,050 | 1,353,928 | 574,275 | 779,653 |
| Hemoglobin A1c (A1C) | 2,322,403 | 842,429 | 347,790 | 494,639 |
| Creatinine (CREA) | 6,003,119 | 1,613,033 | 689,537 | 923,496 |
| Joined | 1,775,134 | 717,312 | 296,470 | 420,842 |
| Biomarker | Results |
|---|---|
| Hypercholesterolemia | cholesterol > 200 |
| Hypertriglyceridemia | triglycerides > 150 |
| CVD (High Risk) | (cholesterol/hdl > 5.0) or (ldl/hdl > 3.5) |
| CVD (Moderate Risk) | (4.0 < cholesterol/hdl < 5.0) or (2.5 < ldl/hdl <3.5) |
| Diabetes Mellitus | hga1c > 6.5 |
| Chronic Kidney Disease | creatinine > 1.3 |
Disclaimer/Publisher’s Note: The statements, opinions and data contained in all publications are solely those of the individual author(s) and contributor(s) and not of MDPI and/or the editor(s). MDPI and/or the editor(s) disclaim responsibility for any injury to people or property resulting from any ideas, methods, instructions or products referred to in the content. |
© 2025 by the authors. Licensee MDPI, Basel, Switzerland. This article is an open access article distributed under the terms and conditions of the Creative Commons Attribution (CC BY) license (https://creativecommons.org/licenses/by/4.0/).
Share and Cite
Velev, J.; Velázquez-Sosa, L.; Lebien, J.; Janwa, H.; Roche-Lima, A. Modeling Multivariate Distributions of Lipid Panel Biomarkers for Reference Interval Estimation and Comorbidity Analysis. Healthcare 2025, 13, 2499. https://doi.org/10.3390/healthcare13192499
Velev J, Velázquez-Sosa L, Lebien J, Janwa H, Roche-Lima A. Modeling Multivariate Distributions of Lipid Panel Biomarkers for Reference Interval Estimation and Comorbidity Analysis. Healthcare. 2025; 13(19):2499. https://doi.org/10.3390/healthcare13192499
Chicago/Turabian StyleVelev, Julian, Luis Velázquez-Sosa, Jack Lebien, Heeralal Janwa, and Abiel Roche-Lima. 2025. "Modeling Multivariate Distributions of Lipid Panel Biomarkers for Reference Interval Estimation and Comorbidity Analysis" Healthcare 13, no. 19: 2499. https://doi.org/10.3390/healthcare13192499
APA StyleVelev, J., Velázquez-Sosa, L., Lebien, J., Janwa, H., & Roche-Lima, A. (2025). Modeling Multivariate Distributions of Lipid Panel Biomarkers for Reference Interval Estimation and Comorbidity Analysis. Healthcare, 13(19), 2499. https://doi.org/10.3390/healthcare13192499

