Prevalence of Depression Among People Living with HIV on Antiretroviral Therapy in Africa: A Systematic Review and Meta-Analysis
Abstract
1. Introduction
2. Methods
2.1. Search Strategy and Literature Search
2.2. Eligibility Criteria (Inclusion and Exclusion Criteria) and Study Selection
2.3. Data Extraction, Data Synthesis, Quality Assessment, and Data Analysis
2.4. Risk the Quality Assessment
3. Results
3.1. General Overview of Search and Selection
3.2. Characteristics of Included Studies
3.3. Quality of Included Trials
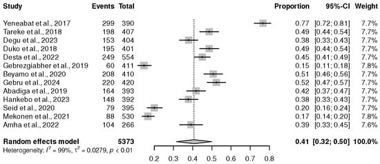
3.4. Prevalence of Depression in PLWHIV Who Are on ART in Africa
3.4.1. Subgroup Analysis Based on Region in the African Continent
3.4.2. Depression in Southern Africa Among PLWHIV on ART
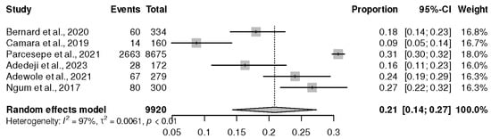
3.4.3. Depression in Western Africa Among PLWHIV on ART
3.4.4. Depression in Northern Africa Among PLWHIV on ART
3.4.5. Depression in Eastern Africa Among PLWHIV on ART
3.4.6. Subgroup Based on the Methods of Measuring Depression
3.4.7. Association Between Depression and Moderators in PLWHIV on ART
3.4.8. Publication Bias
4. Discussion
5. Research Study Limitations and Strengths
6. Conclusions and Recommendations
Supplementary Materials
Author Contributions
Funding
Acknowledgments
Conflicts of Interest
References
- Ngocho, J.S.; Watt, M.H.; Minja, L.; Knettel, B.A.; Mmbaga, B.T.; Williams, P.; Sorsdahl, K. Depression and Anxiety among Pregnant Women Living with HIV in Kilimanjaro Region, Tanzania. PLoS ONE 2019, 14, e0224515. [Google Scholar] [CrossRef]
- 2024 Mid-Year Population Estimates. Available online: https://www.statssa.gov.za/?p=17440 (accessed on 15 October 2024).
- van Heuvel, Y.; Schatz, S.; Rosengarten, J.F.; Stitz, J. Infectious RNA: Human Immunodeficiency Virus (HIV) Biology, Therapeutic Intervention, and the Quest for a Vaccine. Toxins 2022, 14, 138. [Google Scholar] [CrossRef]
- HIV and AIDS. Available online: https://www.who.int/news-room/fact-sheets/detail/hiv-aids (accessed on 12 May 2024).
- Gaebler, C.; Kor, S.; Allers, K.; Mwangi, D.; Perotti, M.; Hanke, K.; Meixenberger, K.; Corman, V.; Burmeister, T.; Blau, O.; et al. The Next Berlin Patient: Sustained HIV Remission Surpassing Five Years Without Antiretroviral Therapy After Heterozygous CCR5 WT/Δ32 Allogeneic Hematopoietic Stem Cell Transplantation. In Proceedings of the 25th International AIDS Conference, Munich, Germany, 22–26 July 2024; Lewin, S., Klepikov, A., Spinner, C., Eds.; [Google Scholar]
- Ma, H.; Bu, M.; Zhai, H.; Li, B.; Xiong, L. New Insight into HIV-Related Psychological Distress: A Concept Analysis. Clin. Nurs. Res. 2023, 32, 60–72. [Google Scholar] [CrossRef]
- Junaid, K.; Afzal, S.; Daood, M.; Siddiqui, M. Substance Abuse and Mental Health Issues Among HIV/AIDS Patients. J. Coll. Physicians Surg. Pak. 2023, 33, 325–334. [Google Scholar] [CrossRef]
- Sherr, L.; Nagra, N.; Kulubya, G.; Catalan, J.; Clucas, C.; Harding, R. HIV Infection Associated Post-Traumatic Stress Disorder and Post-Traumatic Growth—A Systematic Review. Psychol. Health Med. 2011, 16, 612–629. [Google Scholar] [CrossRef] [PubMed]
- Huang, Y.; Luo, D.; Chen, X.; Zhang, D.; Wang, M.; Qiu, Y.; Liu, Y.; Peng, B.; Niu, L.; Xiao, S. Changes and Determinants of Health-Related Quality of Life Among People Newly Diagnosed with HIV in China: A 1-Year Follow-Up Study. Qual. Life Res. 2019, 28, 35–46. [Google Scholar] [CrossRef]
- Waldron, E.M.; Burnett-Zeigler, I.; Wee, V.; Ng, Y.W.; Koenig, L.J.; Pederson, A.B.; Tomaszewski, E.; Miller, E.S. Mental Health in Women Living with HIV: The Unique and Unmet Needs. J. Int. Assoc. Provid. AIDS Care 2021, 20, 2325958220985665. [Google Scholar] [CrossRef]
- Xie, J.; Wang, Z.; Li, Q.; He, Q.; Xu, G.; Li, Y.; Zhou, K.; Li, L.; Gu, J. Associations Between Antiretroviral Therapy-Related Experiences and Mental Health Status Among People Living with HIV in China: A Prospective Observational Cohort Study. AIDS Res. Ther. 2021, 18, 60. [Google Scholar] [CrossRef]
- Moore, D.J.; Posada, C.; Parikh, M.; Arce, M.; Vaida, F.; Riggs, P.K.; Gouaux, B.; Ellis, R.J.; Letendre, S.L.; Grant, I.; et al. HIV-Infected Individuals with Co-Occurring Bipolar Disorder Evidence Poor Antiretroviral and Psychiatric Medication Adherence. AIDS Behav. 2012, 16, 2257–2266. [Google Scholar] [CrossRef] [PubMed]
- Felker-Kantor, E.A.; Wallace, M.E.; Madkour, A.S.; Duncan, D.T.; Andrinopoulos, K.; Theall, K. HIV Stigma, Mental Health, and Alcohol Use Disorders Among People Living with HIV/AIDS in New Orleans. J. Urban Health 2019, 96, 878–888. [Google Scholar] [CrossRef]
- Di Gennaro, F.; Papagni, R.; Segala, F.V.; Pellegrino, C.; Panico, G.G.; Frallonardo, L.; Diella, L.; Belati, A.; Santoro, C.R.; Brindicci, G.; et al. Stigma and Mental Health Among People Living with HIV Across the COVID-19 Pandemic: A Cross-Sectional Study. BMC Infect. Dis. 2024, 24, 423. [Google Scholar] [CrossRef] [PubMed]
- Huynh, V.A.N.; To, K.G.; Do, D.V.; To, Q.G.; Nguyen, M.T.H. Changes in Depressive Symptoms and Correlates in HIV+ People at an Hoa Clinic in Ho Chi Minh City, Vietnam. BMC Psychiatry 2017, 17, 35. [Google Scholar] [CrossRef] [PubMed][Green Version]
- Page, M.J.; McKenzie, J.E.; Bossuyt, P.M.; Boutron, I.; Hoffmann, T.C.; Mulrow, C.D.; Shamseer, L.; Tetzlaff, J.M.; Akl, E.A.; Brennan, S.E.; et al. The PRISMA 2020 Statement: An Updated Guideline for Reporting Systematic Reviews. BMJ 2021, 372, n71. [Google Scholar] [CrossRef]
- Wells, G.A.; Shea, B.; O’ Connell, D.; Peterson, J.; Welch, V.; Losos, M.; Tugwell, P.; Stubbs, B.; Solmi. The Newcastle-Ottawa Scale (NOS) for Assessing the Quality of Nonrandomised Studies in Meta-Analyses. 2014. Available online: https://www.ohri.ca/programs/clinical_epidemiology/oxford.asp (accessed on 18 October 2024).
- Van Coppenhagen, B.; Duvenage, H.S. Prevalence of depression in people living with HIV and AIDS at Kalafong Provincial Tertiary Hospital Antiviral Clinic. S. Afr. J. Psychiatry 2019, 25, a1175. [Google Scholar] [CrossRef]
- Mandlate, F.M.; Greene, M.C.; Pereira, L.F.; Gouveia, M.L.; Mari, J.J.; Cournos, F.; Duarte, C.S.; Oquendo, M.A.; Mello, M.F.; Wainberg, M.L. Association Between Mental Disorders and Adherence to Antiretroviral Treatment in Health Facilities in Two Mozambican Provinces in 2018: A Cross-Sectional Study. BMC Psychiatry 2023, 23, 274. [Google Scholar] [CrossRef]
- Manne-Goehler, J.; Kakuhikire, B.; Abaasabyoona, S.; Bärnighausen, T.W.; Okello, S.; Tsai, A.C.; Siedner, M.J. Depressive Symptoms Before and After Antiretroviral Therapy Initiation Among Older-Aged Individuals in Rural Uganda. AIDS Behav. 2019, 23, 564–571. [Google Scholar] [CrossRef]
- Gebru, T.; Ejara, D.; Yalew, A.; Deyessa, N. Prevalence of Depression and Associated Factors among HIV/AIDS Patients Attending Antiretroviral Therapy Clinic at Adama Hospital Medical College, Adama, Central Ethiopia. Sci. Rep. 2024, 14, 1642. [Google Scholar] [CrossRef]
- Degu, F.S. Anxiety and Depression Disorder Among Adult People Living with HIV/AIDS on Follow-Up at Dessie Public Health Facilities Antiretroviral Therapy Clinics, Northeast Ethiopia: A Multicenter Cross-Sectional Study. Open AIDS J. 2023, 17, e187461362307140. [Google Scholar] [CrossRef]
- Malava, J.K.; Lancaster, K.E.; Hosseinipour, M.C.; Rosenberg, N.E.; O’donnell, J.K.; Kauye, F.; Mbirimtengerenji, N.; Chaweza, T.; Tweya, H.; Phiri, S.; et al. Prevalence and Correlates of Probable Depression Diagnosis and Suicidal Ideation among Patients Receiving HIV Care in Lilongwe, Malawi. Malawi Med. J. 2018, 30, 236–242. [Google Scholar] [CrossRef] [PubMed]
- Mekonen, T.; Belete, H.; Fekadu, W. Depressive Symptoms among People with HIV/AIDS in Northwest Ethiopia: Comparative Study. BMJ Open 2021, 11, e048931. [Google Scholar] [CrossRef]
- Desta, F.; Tasew, A.; Tekalegn, Y.; Zenbaba, D.; Sahiledengle, B.; Assefa, T.; Negash, W.; Tahir, A.; Regasa, T.; Mamo, A.; et al. Prevalence of Depression and Associated Factors among People Living with HIV/AIDS in Public Hospitals of Southeast Ethiopia. BMC Psychiatry 2022, 22, 765. [Google Scholar] [CrossRef] [PubMed]
- Adedeji, W.A.; Ma, Q.; Raji, A.M.; Cha, R.; Rasaki, O.M.; Hutson, A.; Taiwo, B.O.; Charurat, M.E.; Yusuf, O.B.; Fehintola, F.A.; et al. Prevalence of Depression among People Living with HIV in Rural Hospitals in South-Western Nigeria-Association with Clinico-Demographic Factors. AIDS Res. Ther. 2023, 20, 89. [Google Scholar] [CrossRef] [PubMed]
- Yeji, F.; Klipstein-Grobusch, K.; Newell, M.L.; Hirschhorn, L.R.; Hosegood, V.; Bärnighausen, T. Are Social Support and HIV Coping Strategies Associated with Lower Depression in Adults on Antiretroviral Treatment? Evidence from Rural KwaZulu-Natal, South Africa. AIDS Care—Psychol. Socio-Med. Asp. AIDS/HIV 2014, 26, 1482–1489. [Google Scholar] [CrossRef]
- Hankebo, M.; Fikru, C.; Lemma, L.; Aregago, G. Depression and Associated Factors among People Living with Human Immunodeficiency Virus Attending Antiretroviral Therapy in Public Health Facilities, Hosanna Town, Southern Ethiopia. Depress. Res. Treat. 2023, 2023, 7665247. [Google Scholar] [CrossRef]
- Madundo, K.; Knettel, B.A.; Knippler, E.; Mbwambo, J. Prevalence, Severity, and Associated Factors of Depression in Newly Diagnosed People Living with HIV in Kilimanjaro, Tanzania: A Cross-Sectional Study. BMC Psychiatry 2023, 23, 83. [Google Scholar] [CrossRef]
- Beyamo, A.; Bashe, T.; Facha, W.; Moshago, T. Depression and Associated Factors among Adult Hiv/Aids Patients Attending Antiretroviral Therapy at Wolaita Sodo University Teaching and Referral Hospital, Southern Ethiopia. HIV/AIDS—Res. Palliat. Care 2020, 12, 707–715. [Google Scholar] [CrossRef]
- Shumba, C.; Atukunda, R.; Imakit, R.; Memiah, P. Prevalence of Depressive Symptoms amongst Highly Active Antiretroviral Therapy (HAART) Patients in AIDSrelief Uganda. J. Public. Health Afr. 2013, 4, 84–87. [Google Scholar] [CrossRef] [PubMed]
- Dlulane, Y.Z.; Apalata, T.; Abaver, D.T. Prevalence of Depression among HIV Positive Adults on Antiretroviral Therapy in O.R. Tambo District, Eastern Cape, South Africa: A Descriptive Cross-Sectional Study. Afr. J. Phys. Act. Health Sci. 2021, 27, 472–484. [Google Scholar] [CrossRef]
- Abadiga, M. Depression and Its Associated Factors among HIV/AIDS Patients Attending ART Clinics at Gimbi General Hospital, West Ethiopia, 2018. BMC Res. Notes 2019, 12, 527. [Google Scholar] [CrossRef]
- Duko, B.; Geja, E.; Zewude, M.; Mekonen, S. Prevalence and Associated Factors of Depression among Patients with HIV/AIDS in Hawassa, Ethiopia, Cross-Sectional Study. Ann. Gen. Psychiatry 2018, 17, 45. [Google Scholar] [CrossRef] [PubMed]
- Parcesepe, A.M.; Remch, M.; Dzudie, A.; Ajeh, R.; Nash, D.; Anastos, K.; Yotebieng, M.; Adedimeji, A.; Pefura-Yone, E.; Lancaster, K. Depressive Symptoms, Gender, Disclosure, and HIV Care Stage Among People Living with HIV in Cameroon. AIDS Behav. 2022, 26, 651–661. [Google Scholar] [CrossRef] [PubMed]
- Seid, S.; Abdu, O.; Mitiku, M.; Tamirat, K.S. Prevalence of Depression and Associated Factors among HIV/AIDS Patients Attending Antiretroviral Therapy Clinic at Dessie Referral Hospital, South Wollo, Ethiopia. Int. J. Ment. Health Syst. 2020, 14, 55. [Google Scholar] [CrossRef]
- Bernard, C.; Font, H.; Diallo, Z.; Ahonon, R.; Tine, J.M.; N’Guessan Abouo, F.; Tanon, A.; Messou, E.; Seydi, M.; Dabis, F.; et al. Prevalence and Factors Associated with Severe Depressive Symptoms in Older West African People Living with HIV. BMC Psychiatry 2020, 20, 442. [Google Scholar] [CrossRef] [PubMed]
- Bongongo, T.; Tumbo, J.; Govender, I. Depressive Features among Adult Patients Receiving Antiretroviral Therapy for HIV in Rustenburg District, SA. S. Afr. J. Psychiatry 2013, 19, 31–34. [Google Scholar] [CrossRef][Green Version]
- Namagga, J.K.; Rukundo, G.Z.; Niyonzima, V.; Voss, J. Depression and HIV Associated Neurocognitive Disorders among HIV Infected Adults in Rural Southwestern Uganda: A Cross-Sectional Quantitative Study. BMC Psychiatry 2021, 21, 350. [Google Scholar] [CrossRef] [PubMed]
- Adewole, O.E.; Olagundoye, O.A.; Ajumobi, I.O. Depression and Its Associated Factors among People Living with Hiv/Aids Attending the Hiv/Aids Clinic in Southwest Nigeria. Fam. Med. Prim. Care Rev. 2021, 23, 7–12. [Google Scholar] [CrossRef]
- Yeneabat, T.; Bedaso, A.; Amare, T. Factors Associated with Depressive Symptoms in People Living with HIV Attending Antiretroviral Clinic at Fitche Zonal Hospital, Central Ethiopia: Cross-Sectional Study Conducted in 2012. Neuropsychiatr. Dis. Treat. 2017, 13, 2125–2131. [Google Scholar] [CrossRef]
- Kitshoff, C.; Campbell, L.; Naidoo, S.S. The Association between Depression and Adherence to Antiretroviral Therapy in HIV-Positive Patients, KwaZulu-Natal, South Africa. S. Afr. Fam. Pract. 2012, 54, 145–150. [Google Scholar] [CrossRef]
- Ngum, P.A.; Fon, P.N.; Ngu, R.C.; Verla, V.S.; Luma, H.N. Depression Among HIV/AIDS Patients on Highly Active Antiretroviral Therapy in the Southwest Regional Hospitals of Cameroon: A Cross-Sectional Study. Neurol. Ther. 2017, 6, 103–114. [Google Scholar] [CrossRef]
- Mohamud, A.K.; Ahmed, O.A.; Mohamud, A.A.; Dirie, N.I. Prevalence of and Factors Associated with Depression among Adult Patients Living with HIV/AIDs Undergoing ART Unit in Banadir Hospital, Mogadishu Somalia. BMC Psychiatry 2023, 23, 232. [Google Scholar] [CrossRef]
- Beyene Gebrezgiabher, B.; Huluf Abraha, T.; Hailu, E.; Siyum, H.; Mebrahtu, G.; Gidey, B.; Abay, M.; Hintsa, S.; Angesom, T. Depression Among Adult HIV/AIDS Patients Attending ART Clinics at Aksum Town, Aksum, Ethiopia: A Cross-Sectional Study. Depress. Res. Treat. 2019, 2019, 3250431. [Google Scholar] [CrossRef] [PubMed]
- Hanass-Hancock, J.; Carpenter, B.; Myezwa, H. The Missing Link: Exploring the Intersection of Gender, Capabilities, and Depressive Symptoms in the Context of Chronic HIV. Women Health 2019, 59, 1212–1226. [Google Scholar] [CrossRef] [PubMed]
- Camara, A.; Sow, M.S.; Touré, A.; Sako, F.B.; Camara, I.; Soumaoro, K.; Delamou, A.; Doukouré, M. Anxiety and Depression among HIV Patients of the Infectious Disease Department of Conakry University Hospital in 2018. Epidemiol. Infect. 2020, 148, e8. [Google Scholar] [CrossRef] [PubMed]
- Tareke, M.; Addisu, F.; Abate, A. Depression Among Patients Attending Antiretroviral Treatment Program in Public Health Facilities in Bahir Dar City, Ethiopia. J. Affect. Disord. 2018, 232, 370–374. [Google Scholar] [CrossRef]
- Nyongesa, M.K.; Mwangi, P.; Wanjala, S.W.; Mutua, A.M.; Newton, C.R.J.C.; Abubakar, A. Prevalence and Correlates of Depressive Symptoms Among Adults Living with HIV in Rural Kilifi, Kenya. BMC Psychiatry 2019, 19, 333. [Google Scholar] [CrossRef]
- Amha, H.; Denekew, B.; Asnakew, S. Depressive Symptoms and Associated Factors Among Adults Attending Antiretroviral Therapy Clinic in Debre Markos Comprehensive Specialized Hospital, Amhara, Ethiopia. SAGE Open Med. 2022, 10, 20503121221100992. [Google Scholar] [CrossRef] [PubMed]
- Vezi, Z.L.; Rangiah, S.; Naidoo, K. Depression among People Living with HIV at a District Hospital in KwaZulu-Natal, South Africa. S. Afr. Fam. Pract. 2024, 66, 5821. [Google Scholar] [CrossRef]
- Joshi, K.; Lessler, J.; Olawore, O.; Loevinsohn, G.; Bushey, S.; Tobian, A.A.R.; Grabowski, M.K. Declining HIV Incidence in Sub-Saharan Africa: A Systematic Review and Meta-Analysis of Empiric Data. J. Int. AIDS Soc. 2021, 24, 25818. [Google Scholar] [CrossRef] [PubMed]
- Babatunde, A.O.; Akin-Ajani, O.D.; Abdullateef, R.O.; Togunwa, T.O.; Isah, H.O. Review of Antiretroviral Therapy Coverage in 10 Highest Burden HIV Countries in Africa: 2015–2020. J. Med. Virol. 2023, 95, e28320. [Google Scholar] [CrossRef]
- Tao, J.; Vermund, S.H.; Qian, H.Z. Association Between Depression and Antiretroviral Therapy Use Among People Living with HIV: A Meta-Analysis. AIDS Behav. 2018, 22, 1542–1550. [Google Scholar] [CrossRef] [PubMed]
- Luthuli, M.Q.; John-Langba, J. Interaction of Social Support and Depressive Symptoms on Antiretroviral Therapy Adherence among People Living with HIV in South Africa. Health SA Gesondheid 2024, 29, 10. [Google Scholar] [CrossRef]
- UNAIDS Access to Antiretroviral Therapy in Africa. Available online: https://www.unaids.org/sites/default/files/media_asset/20131219_AccessARTAfricaStatusReportProgresstowards2015Targets_en_0.pdf (accessed on 30 December 2024).
- Necho, M.; Belete, A.; Tsehay, M. Depressive Symptoms and Their Determinants in Patients Who Are on Antiretroviral Therapy in the Case of a Low-Income Country, Ethiopia: A Systematic Review and Meta-Analysis. Int. J. Ment. Health Syst. 2021, 15, 3. [Google Scholar] [CrossRef]
- Zewudie, B.T.; Geze, S.; Mesfin, Y.; Argaw, M.; Abebe, H.; Mekonnen, Z.; Tesfa, S.; Chekole, B.; Tadesse, B.; Aynalem, A.; et al. A Systematic Review and Meta-Analysis on Depression and Associated Factors among Adult HIV/AIDS-Positive Patients Attending ART Clinics of Ethiopia: 2021. Depress. Res. Treat. 2021, 2021, 8545934. [Google Scholar] [CrossRef]
- Slaven, F.; Cameron, D. HIV and Depression: A Scoping Review of the South African Literature. New Voices Psychol. 2017, 12, 21–38. [Google Scholar] [CrossRef]
- Speech for the Minister of Police, Mr Senzo Mchunu, at the Release of the Quarterly Crime Statistics, in Cape Town. 2024. Available online: https://www.saps.gov.za/newsroom/msspeechdetail.php?nid=55460 (accessed on 20 October 2024).
- Stockton, M.A.; Udedi, M.; Kulisewa, K.; Hosseinipour, M.C.; Gaynes, B.N.; Mphonda, S.M.; Maselko, J.; Pettifor, A.E.; Verhey, R.; Chibanda, D.; et al. The Impact of an Integrated Depression and HIV Treatment Program on Mental Health and HIV Care Outcomes Among People Newly Initiating Antiretroviral Therapy in Malawi. PLoS ONE 2020, 15, e0231872. [Google Scholar] [CrossRef] [PubMed]
- Garnett, G.P. Reductions in HIV Incidence Are Likely to Increase the Importance of Key Population Programmes for HIV Control in Sub-Saharan Africa. J. Int. AIDS Soc. 2021, 24, e25727. [Google Scholar] [CrossRef]
- Saidu, Y.; Vouking, M.; Njoh, A.A.; Bachire, H.B.; Tonga, C.; Mofor, R.; Bayiha, C.; Ewane, L.; Cornelius, C.; Mbida, N.D.D.; et al. The Effect of the Ongoing Civil Strife on Key Immunisation Outcomes in the North West and South West Regions of Cameroon. Confl. Health 2021, 15, 8. [Google Scholar] [CrossRef]
- Okonkwo, P.; Sagay, A.S.; Agaba, P.A.; Yohanna, S.; Agbaji, O.O.; Imade, G.E.; Banigbe, B.; Adeola, J.; Oyebode, T.A.; Idoko, J.A.; et al. Treatment Outcomes in a Decentralized Antiretroviral Therapy Program: A Comparison of Two Levels of Care in North Central Nigeria. AIDS Res. Treat. 2014, 2014, 560623. [Google Scholar] [CrossRef] [PubMed]
- Oladele, E.A.; Badejo, O.A.; Obanubi, C.; Okechukwu, E.F.; James, E.; Owhonda, G.; Abass, M.; Negedu-Momoh, O.R.; Ojehomon, N.; Oqua, D.; et al. Bridging the HIV Treatment Gap in Nigeria: Examining Community Antiretroviral Treatment Models. J. Int. AIDS Soc. 2018, 21, e25108. [Google Scholar] [CrossRef]
- Checa, A.; Castillo, A.; Camacho, M.; Tapia, W.; Hernandez, I.; Teran, E. Depression Is Associated with Efavirenz-Containing Treatments in Newly Antiretroviral Therapy Initiated HIV Patients in Ecuador. AIDS Res. Ther. 2020, 17, 47. [Google Scholar] [CrossRef] [PubMed]
- Gonzalez, J.S.; Batchelder, A.W.; Psaros, C.; Safren, S.A. Depression and HIV/AIDS Treatment Nonadherence: A Review and Meta-Analysis. J. Acquir. Immune Defic. Syndr. 2011, 58, 181–187. [Google Scholar] [CrossRef] [PubMed]
- Alckmin-Carvalho, F.; Pereira, H.; Oliveira, A.; Nichiata, L. Associations between Stigma, Depression, and Adherence to Antiretroviral Therapy in Brazilian Men Who Have Sex with Men Living with HIV. Eur. J. Investig. Health Psychol. Educ. 2024, 14, 1489–1500. [Google Scholar] [CrossRef] [PubMed]







| Criteria | Determinants |
|---|---|
| Population | People living with HIV |
| Intervention | Antiretroviral therapy |
| Comparison | There was no control, as this was a one-arm study. |
| Outcome | Depression/depressive symptoms |
| Design | Cross-sectional |
| Author | Sample Size | Age (Years) Mean ± SD | Gender (m/f) | Number with Depression | % with Depression | Study Design | Method of Measuring Depression | Country | Overall Quality |
|---|---|---|---|---|---|---|---|---|---|
| Shumba et al., 2013 [31] | 732 | NR | 228/504 | 431 | 59.00 | Cross-sectional | Adherence survey questionnaire that included a depressive symptoms score. | Uganda | High |
| Namagga et al., 2021 [39] | 393 | NR | 105/288 | 106 | 27.00 | Cross-sectional | Beck Depression Inventory Scale I (BDI- I) | Uganda | High |
| Dlulane et al., 2021 [32] | 334 | NR | 104/230 | 145 | 44.00 | Cross-sectional | Beck Depression Inventory (BDI-II) | South Africa | High |
| Bernard et al., 2020 [37] | 334 | NR | 109/165 | 60 | 17.9 | Cross-sectional | Centre for Epidemiological Studies Depression Scale (CES-D) | Cote D’Ivoire and Senegal | Moderate |
| Kitshoff et al., 2014 [42] | 146 | NR | 40/106 | 91 | 62.00 | Cross-sectional | CES-D | South Africa | Moderate |
| Hanass-Hancock et al., 2019 [46] | 1042 | 38.1 ± NR | 358/684 | 271 | 26.00 | Cross-sectional | CES-D | South Africa | High |
| Yeneabat et al., 2017 [41] | 390 | 35.78 ± 9.26 | 128/262 | 299 | 76.7 | Cross-sectional | CES-D | Ethiopia | Moderate |
| Coppenhagen and Duvenage, 2019 [18] | 479 | 38.9 ± 8.72 | 227/395 | 248 | 51.7 | Cross-sectional | CES-D | South Africa | High |
| Yeji (a) et al., 2014 [27] | 272 | 37 ± 8.6 | 58/214 | 90 | 33.00 | Cross-sectional | General Health Questionnaire (GHQ12) | South Africa | Moderate |
| Yeji (b) et al., 2014 [27] | 272 | 37 ± 8.6 | 58/214 | 98 | 36.00 | Cross-sectional | C-GHQ | South Africa | Moderate |
| Yeji (c) et al., 2014 [27] | 272 | 37 ± 8.6 | 58/214 | 103 | 38.00 | Cross-sectional | Likert Method | South Africa | Moderate |
| Goehler et al., 2018 [20] | 154 | NR | 84/73 | 33 | 21.4 | Cross-sectional | Hopkins Symptom Checklist for Depression (HSCL) | Uganda | Moderate |
| Tareke et al., 2018 [48] | 407 | 36.9 ± 10.5 | 173/234 | 198 | 48.6 | Cross-sectional | Hospital Anxiety and Depression Scale (HADS) questionnaire | Ethiopia | High |
| Degu et al., 2023 [22] | 404 | 36.75 ± NR | 149/255 | 153 | 38.00 | Cross-sectional | HADS questionnaire | Ethiopia | High |
| Camara et al., 2019 [47] | 160 | 40.6 ± 10.8 | 42/118 | 14 | 51.90 | Cross-sectional | HADS questionnaire | Republic of Guinea | Moderate |
| Malava et al., 2018 [23] | 103 | 38 ± 10 | 37/66 | 9 | 9.00 | Cross-sectional | Patient Health Questionnaire (PHQ-9) | Malawi | High |
| Parcesepe et al., 2021 [35] | 8675 | NR | 4196/8280 | 2663 | 30.7 | Cross-sectional | PHQ-9 | Cameroon | High |
| Duko et al., 2018 [34] | 401 | 38 ± 10.23 | 272/129 | 195 | 48.6 | Cross-sectional | PHQ-9 | Ethiopia | High |
| Desta et al., 2022 [25] | 554 | 38 ± 9.86 | 277/277 | 249 | 44.9 | Cross-sectional | PHQ-9 | Ethiopia | High |
| Gebrezgiabher et al., 2019 [45] | 411 | 36.1 ± 9.2 | 239/172 | 60 | 14.6 | Cross-sectional | PHQ-9 | Ethiopia | High |
| Mohamud et al., 2023 [44] | 331 | NR | 162/169 | 111 | 33.5 | Cross-sectional | PHQ-9 | Somalia | High |
| Adedeji et al., 2023 [26] | 172 | 44.3 ± 11.7 | 44/128 | 28 | 16.3 | Cross-sectional | PHQ-9 | Nigeria | Moderate |
| Adewole et al., 2021 [40] | 279 | 43.1 ± 10.3 | 90/189 | 67 | 24.00 | Cross-sectional | PHQ-9 | Nigeria | High |
| Beyamo et al., 2020 [30] | 410 | 33.05 ± 9.341 | 177/233 | 208 | 50.5 | Cross-sectional | PHQ-9 | Ethiopia | High |
| Gebru et al., 2024 [21] | 420 | 42.8 ± 10.7 | 151/269 | 220 | 52.4 | Cross-sectional | PHQ-9 | Ethiopia | High |
| Abadiga et al., 2019 [33] | 393 | 25.6 ± 9.45 | 177/216 | 164 | 41.7 | Cross-sectional | PHQ-9 | Ethiopia | High |
| Hankebo et al., 2023 [28] | 392 | 42.8 ± 10.7 | 168/224 | 148 | 37.8 | Cross-sectional | PHQ-9 | Ethiopia | High |
| Seid et al., 2020 [36] | 395 | NR | 153/242 | 79 | 20.00 | Cross-sectional | PHQ-9 | Ethiopia | High |
| Mekonen et al., 2021 [24] | 530 | 38.85 ± 10.72 | 160/370 | 88 | 16.6 | Cross-sectional | PHQ-9 | Ethiopia | High |
| Madundo et al., 2023 [52] | 272 | 41 ± 12 | 106/166 | 112 | 41.00 | Cross-sectional | PHQ-9 | Tanzania | High |
| Ngum et al., 2017 [43] | 300 | 40.9 ± 9.7 | 80/220 | 80 | 26.7 | Cross-sectional | PHQ-9 | Cameroon | Moderate |
| Mandlate et al., 2023 [19] | 395 | 36.7 ± 9.8 | 120/275 | 108 | 27.34 | Cross-sectional | Structured diagnostic interview, the Brazilian version of the Portuguese language Mini InternationalNeuropsychiatric Interview (MINI) Plus 4.0.0 | Mozambique | Moderate |
| Bongongo et al., 2013 [38] | 117 | NR | 35/82 | 84 | 71.8 | Cross-sectional | Zung Self-Rating Depression Scale | South Africa | Moderate |
| Vezi et al., 2024 [51] | 121 | NR | 57/64 | 21 | 17.4 | Cross-sectional | PHQ-9 | South Africa | Moderate |
| Amha et al., 2022 [50] | 266 | NR | 102/164 | 104 | 39.1 | Cross-sectional | PHQ-9 | Ethiopia | High |
| Nyogesa et al., 2029 [49] | 450 | 42.7 ± 9.7 | 94/356 | 153 | 37.7 | Cross-sectional | PHQ-9 | Kenya | High |
| Moderator | Estimate | SE | Z | p | CI Lower Bound | CI Upper Bound |
|---|---|---|---|---|---|---|
| African region | 0.0116 | 0.0259 | 0.447 | 0.655 | −0.039 | 0.062 |
| Method of measuring depression | 0.0173 | 0.0150 | 1.15 | 0.250 | −0.012 | 0.047 |
Disclaimer/Publisher’s Note: The statements, opinions and data contained in all publications are solely those of the individual author(s) and contributor(s) and not of MDPI and/or the editor(s). MDPI and/or the editor(s) disclaim responsibility for any injury to people or property resulting from any ideas, methods, instructions or products referred to in the content. |
© 2025 by the authors. Licensee MDPI, Basel, Switzerland. This article is an open access article distributed under the terms and conditions of the Creative Commons Attribution (CC BY) license (https://creativecommons.org/licenses/by/4.0/).
Share and Cite
Molapo, D.M.; Mokgalaboni, K.; Phoswa, W.N. Prevalence of Depression Among People Living with HIV on Antiretroviral Therapy in Africa: A Systematic Review and Meta-Analysis. Healthcare 2025, 13, 85. https://doi.org/10.3390/healthcare13010085
Molapo DM, Mokgalaboni K, Phoswa WN. Prevalence of Depression Among People Living with HIV on Antiretroviral Therapy in Africa: A Systematic Review and Meta-Analysis. Healthcare. 2025; 13(1):85. https://doi.org/10.3390/healthcare13010085
Chicago/Turabian StyleMolapo, Dimakatso M., Kabelo Mokgalaboni, and Wendy N. Phoswa. 2025. "Prevalence of Depression Among People Living with HIV on Antiretroviral Therapy in Africa: A Systematic Review and Meta-Analysis" Healthcare 13, no. 1: 85. https://doi.org/10.3390/healthcare13010085
APA StyleMolapo, D. M., Mokgalaboni, K., & Phoswa, W. N. (2025). Prevalence of Depression Among People Living with HIV on Antiretroviral Therapy in Africa: A Systematic Review and Meta-Analysis. Healthcare, 13(1), 85. https://doi.org/10.3390/healthcare13010085

