Impact of Incorporating Future Mandatory Price Reductions with Generic Drug Entry on the Cost-Effectiveness of New Drugs: A Policy Simulation Study of Dupilumab in Atopic Dermatitis Treatment
Abstract
1. Introduction
2. Materials and Methods
2.1. Study Design
2.2. Model Structure
2.3. Patients
2.4. Transition Probabilities
2.5. Adverse Events
2.6. Cost Estimation
2.7. QALY Estimation
2.8. EPED Configuration
2.9. Analysis
3. Results
3.1. Cost-Effectiveness of Dupilumab after EPED Policy Adjustment
3.2. Impact of EPED on the Relationship of the ICER and Dupilumab’s Price
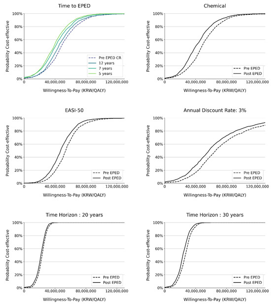
3.3. Impacts of Changes in EPED Configurations
3.4. Other Factors Impacting the Cost-Effectiveness of Dupilumab
3.5. One-Way Sensitivity Analysis
4. Discussion
5. Conclusions
Supplementary Materials
Author Contributions
Funding
Institutional Review Board Statement
Informed Consent Statement
Data Availability Statement
Acknowledgments
Conflicts of Interest
References
- Makurvet, F.D. Biologics vs. small molecules: Drug costs and patient access. Med. Drug Discov. 2021, 9, 100075. [Google Scholar] [CrossRef]
- Phuong, J.M.; Penm, J.; Chaar, B.; Oldfield, L.D.; Moles, R. The impacts of medication shortages on patient outcomes: A scoping review. PLoS ONE 2019, 14, e0215837. [Google Scholar] [CrossRef] [PubMed]
- Rome, B.N.; Egilman, A.C.; Kesselheim, A.S. Trends in Prescription Drug Launch Prices, 2008–2021. JAMA 2022, 327, 2145–2147. [Google Scholar] [CrossRef] [PubMed]
- Latimer, N.R.; Towse, A.; Henshall, C. Not cost-effective at zero price: Valuing and paying for combination therapies in cancer. Expert. Rev. Pharmacoeconomics Outcomes Res. Taylor Fr. 2021, 21, 331–333. [Google Scholar] [CrossRef] [PubMed]
- Hoyle, M. Future Drug Prices and Cost-Effectiveness Analyses. Pharmacoeconomics 2008, 26, 589–602. [Google Scholar] [CrossRef]
- Hoyle, M. Accounting for the drug life cycle and future drug prices in cost-effectiveness analysis. Pharmacoeconomics 2011, 29, 1–15. [Google Scholar] [CrossRef] [PubMed]
- Whose Costs and Benefits? Why Economic Evaluations Should Simulate Both Prevalent and All Future Incident Patient Cohorts—Martin Hoyle, Rob Anderson. 2010. Available online: https://journals.sagepub.com/doi/abs/10.1177/0272989X09353946 (accessed on 29 August 2023).
- Danzon, P.M.; Kim, J.D. The Life Cycle of Pharmaceuticals: A Cross-National Perspective; Office of Health Economics OHE: London, UK, 2002; ISBN 978-1-899040-27-8. [Google Scholar]
- Guertin, J.R.; Mitchell, D.; Ali, F.; LeLorier, J. Bias within economic evaluations—The impact of considering the future entry of lower-cost generics on currently estimated incremental cost-effectiveness ratios of a new drug. Clin. Outcomes Res. 2015, 7, 497–503. [Google Scholar] [PubMed]
- Cohen, J.T. The Impact on Cost-Effectiveness of Accounting for Generic Drug Pricing: Four Case Studies. Value Health 2023, 26, 344–350. [Google Scholar] [CrossRef]
- Hua, L.H.; Hersh, C.M.; Morten, P.; Kusel, J.; Lin, F.; Cave, J.; Varga, S.; Herrera, V.; Ko, J.J. The Impact of Price Reductions After Loss of Exclusivity in a Cost-Effectiveness Analysis: Fingolimod Versus Interferon Beta-1a for the Treatment of Relapsing-Remitting Multiple Sclerosis. J. Manag. Care Spec. Pharm. 2019, 25, 490–498. [Google Scholar] [CrossRef] [PubMed]
- Vondeling, G.T.; Cao, Q.; Postma, M.J.; Rozenbaum, M.H. The Impact of Patent Expiry on Drug Prices: A Systematic Literature Review. Appl. Health Econ. Health Policy 2018, 16, 653–660. [Google Scholar] [CrossRef]
- Refoios Camejo, R.; McGrath, C.; Herings, R. A dynamic perspective on pharmaceutical competition, drug development and cost effectiveness. Health Policy 2011, 100, 18–24. [Google Scholar] [CrossRef] [PubMed]
- Shih, Y.-C.T.; Han, S.; Cantor, S.B. Impact of Generic Drug Entry on Cost-Effectiveness Analysis. Med. Decis. Making 2005, 25, 71–80. [Google Scholar] [CrossRef] [PubMed]
- Kim, D.; Son, H.; Park, S. Changes in Prescription Patterns of Pharmaceuticals Related to Drug Price Reduction Policy. Review and Assessment Research Dept, Health Insurance Review & Assessment Service, Republic of Korea. 2016. Available online: https://repository.hira.or.kr/handle/2019.oak/1690 (accessed on 21 June 2023).
- Roughead, E.E.; Kim, D.-S.; Ong, B.; Kemp-Casey, A. Pricing policies for generic medicines in Australia, New Zealand, the Republic of Korea and Singapore: Patent expiry and influence on atorvastatin price. WHO South. East. Asia J. Public Health 2018, 7, 99–106. [Google Scholar] [PubMed]
- Kim, S.; Lee, J.H. Price-Cutting Trends in New Drugs after Listing in South Korea: The Effect of the Reimbursement Review Pathway on Price Reduction. Healthcare 2020, 8, 233. [Google Scholar] [CrossRef] [PubMed]
- Kwon, H.-Y.; Kim, H.; Godman, B.; Reich, M.R. The impact of South Korea’s new drug-pricing policy on market competition among off-patent drugs. Expert. Rev. Pharmacoecon Outcomes Res. 2015, 15, 1007–1014. [Google Scholar] [CrossRef] [PubMed]
- Things That Change from January 1st. Ministry of Health and Welfare, Republic of Korea. Available online: http://www.mohw.go.kr/react/al/sal0301vw.jsp?PAR_MENU_ID=04&MENU_ID=0403&CONT_SEQ=262721 (accessed on 21 June 2023).
- Son, K.-B. Generic atorvastatin and rosuvastatin in the South Korean market: Time of introduction in relation to manufacturer characteristics. Expert. Rev. Pharmacoecon Outcomes Res. 2020, 20, 541–548. [Google Scholar] [CrossRef] [PubMed]
- Kwon, S.-H.; Park, H.-S.; Na, Y.-J.; Park, C.; Shin, J.-Y.; Kim, H.-L. Price Reduction of Anticancer Drugs from 2007 to 2019 in South Korea: The Impact of Pharmaceutical Cost-Containment Policies. Appl Health Econ Health Policy 2021, 19, 439–450. [Google Scholar] [CrossRef] [PubMed]
- Dionne, P.-A.; Ali, F.; Grobler, M. The Impact of Recent Generic Drug Price Policies on Pharmaceutical Innovation: A Theoretical Rationale and Proposal of a Method Supporting Innovation in Areas of Unmet Medical Need. JHEOR Columbia Data Anal. LLC 2016, 3, 13–23. [Google Scholar] [CrossRef]
- Refoios Camejo, R.; McGrath, C.; Herings, R.; Meerding, W.-J.; Rutten, F. Antihypertensive Drugs: A Perspective on Pharmaceutical Price Erosion and Its Impact on Cost-Effectiveness. Value Health 2012, 15, 381–388. [Google Scholar] [CrossRef]
- Notice 2019-341. Health Insurance Review & Assessment Service, Republic of Korea. Available online: https://www.hira.or.kr/bbsDummy.do?pgmid=HIRAA020002000100&brdScnBltNo=4&brdBltNo=7690#none (accessed on 12 July 2023).
- 300 mg Dupixent Prefilled Inj. 300 mg. Korea Pharmaceutical Information Center. 2020. Available online: https://www.health.kr/searchDrug/result_drug.asp?drug_cd=2018040200003 (accessed on 12 July 2023).
- Guidelines for Economic Evaluation of Pharmaceuticals. 2021. Available online: https://www.hira.or.kr/bbsDummy.do?pgmid=HIRAA020002000100&brdScnBltNo=4&brdBltNo=8661 (accessed on 20 August 2023).
- Husereau, D.; Drummond, M.; Augustovski, F.; de Bekker-Grob, E.; Briggs, A.H.; Carswell, C.; Caulley, L.; Chaiyakunapruk, N.; Greenberg, D.; Loder, E.; et al. Consolidated Health Economic Evaluation Reporting Standards 2022 (CHEERS 2022) Statement: Updated Reporting Guidance for Health Economic Evaluations. PharmacoEconomics 2022, 40, 601–609. [Google Scholar] [CrossRef]
- Zimmermann, M.; Rind, D.; Chapman, R.; Kumar, V.; Kahn, S.; Carlson, J. Economic Evaluation of Dupilumab for Moderate-to-Severe Atopic Dermatitis: A Cost-Utility Analysis. J. Drugs Dermatol. 2018, 17, 750–756. [Google Scholar] [PubMed]
- Kuznik, A.; Bégo-Le-Bagousse, G.; Eckert, L.; Gadkari, A.; Simpson, E.; Graham, C.N.; Miles, L.; Mastey, V.; Mahajan, P.; Sullivan, S.D. Economic Evaluation of Dupilumab for the Treatment of Moderate-to-Severe Atopic Dermatitis in Adults. Dermatol. Ther. 2017, 7, 493–505. [Google Scholar] [CrossRef] [PubMed]
- Simpson, E.L.; Bieber, T.; Guttman-Yassky, E.; Beck, L.A.; Blauvelt, A.; Cork, M.J.; Silverberg, J.I.; Deleuran, M.; Kataoka, Y.; Lacour, J.-P.; et al. Two Phase 3 Trials of Dupilumab versus Placebo in Atopic Dermatitis. N. Engl. J. Med. Mass. Med. Soc. 2016, 375, 2335–2348. [Google Scholar] [CrossRef] [PubMed]
- 2021 Complete Life Table. Korean Statistical Information Service, Republic of Korea. Available online: https://kosis.kr/index/index.do (accessed on 21 June 2023).
- Peserico, A.; Städtler, G.; Sebastian, M.; Fernandez, R.S.; Vick, K.; Bieber, T. Reduction of relapses of atopic dermatitis with methylprednisolone aceponate cream twice weekly in addition to maintenance treatment with emollient: A multicentre, randomized, double-blind, controlled study. Br. J. Dermatol. 2008, 158, 801–807. [Google Scholar] [CrossRef] [PubMed]
- Gidwani, R.; Russell, L.B. Estimating Transition Probabilities from Published Evidence: A Tutorial for Decision Modelers. PharmacoEconomics 2020, 38, 1153–1164. [Google Scholar] [CrossRef]
- Drug Price Master. Health Insurance Review & Assessment Service, Republic of Korea. Available online: https://www.data.go.kr/data/15067459/fileData.do (accessed on 23 June 2023).
- Kim, C.; Park, K.Y.; Ahn, S.; Kim, D.H.; Li, K.; Kim, D.W.; Kim, M.-B.; Jo, S.-J.; Yim, H.W.; Seo, S.J. Economic Impact of Atopic Dermatitis in Korean Patients. Ann. Dermatol. Korean Dermatol. Assoc. Korean Soc. Investig. Dermatol. 2015, 27, 298–305. [Google Scholar] [CrossRef] [PubMed]
- Medical Statistics Open Portal. Health Insurance Review & Assessment Service, Republic of Korea. 2021. Available online: https://opendata.hira.or.kr/op/opc/olap4thDsInfoTab1.do#none (accessed on 20 August 2023).
- Simpson, E.L. Dupilumab Improves General Health-Related Quality-of-Life in Patients with Moderate-to-Severe Atopic Dermatitis: Pooled Results from Two Randomized, Controlled Phase 3 Clinical Trials. Dermatol. Ther. 2017, 7, 243–248. [Google Scholar] [CrossRef] [PubMed]
- Pharmaceutical Integrated Information System. Ministry of Food and Drug Safety, Republic of Korea. 2022. Available online: https://nedrug.mfds.go.kr/pbp/CCBBB01/getItemDetailCache?cacheSeq=202202110aupdateTs2023-04-11%2016:07:06.477921b (accessed on 6 August 2023).
- Iino, H.; Hashiguchi, M.; Hori, S. Estimating the range of incremental cost-effectiveness thresholds for healthcare based on willingness to pay and GDP per capita: A systematic review. PLoS ONE 2022, 17, e0266934. [Google Scholar] [CrossRef] [PubMed]
- Kazibwe, J.; Gheorghe, A.; Wilson, D.; Ruiz, F.; Chalkidou, K.; Chi, Y.-L. The Use of Cost-Effectiveness Thresholds for Evaluating Health Interventions in Low- and Middle-Income Countries From 2015 to 2020: A Review. Value Health 2022, 25, 385–389. [Google Scholar] [CrossRef]
- Information on ICERs for Rugs Submitted for Economic Evaluation. Health Insurance Review & Assessment Service, Republic of Korea. 2022. Available online: https://www.hira.or.kr/bbsDummy.do?pgmid=HIRAA020002000100&brdScnBltNo=4&brdBltNo=10021&pageIndex=1 (accessed on 2 January 2024).
- 2022 Impact Assessment of License-Patent Linkage System. Ministry of Food and Drug Safety. 2022. Available online: https://www.mfds.go.kr/brd/m_74/view.do?seq=44493&srchFr=&srchTo=&srchWord=&srchTp=&itm_seq_1=0&itm_seq_2=0&multi_itm_seq=0&company_cd=&company_nm=&page=121 (accessed on 6 October 2023).
- Schöttler, M.H.; Coerts, F.B.; Postma, M.J.; Boersma, C.; Rozenbaum, M.H. The Effect of the Drug Life Cycle Price on Cost-Effectiveness: Case Studies Using Real-World Pricing Data. Value Health 2023, 26, 91–98. [Google Scholar] [CrossRef]
- Lee, T.; Bae, E.; Bae, S.; Son, K.; Yang, D.; Lee, B.; Lee, Y.; Jang, S.; Choi, H. Post-Management Measures for the Drugs under Risk Sharing Agreement Scheme. Health Insurance Review & Assessment Service, Republic of Korea. 2016. Available online: https://repository.hira.or.kr/handle/2019.oak/1674 (accessed on 19 December 2023).






| Parameters | Mean | Distribution | References |
|---|---|---|---|
| EASI-75 response | |||
| Dupilumab group | 47.7% | Beta (alpha = 218, beta = 239) | [30] |
| SC group | 13.3% | Beta (alpha = 61, beta = 399) | [30] |
| Annual discontinuation probability of dupilumab | 6.3% | Beta (alpha = 24, beta = 357) | [28,29] |
| Relapse after 16-week of emollient | 36.7% | Beta (alpha = 40, beta = 69) | [32] |
| Adverse event rate | |||
| Dupilumab | |||
| Injection site reaction | 11.0% | Beta (alpha = 51, beta = 414) | [30] |
| Allergic conjunctivitis | 3.0% | Beta (alpha = 14, beta = 451) | [30] |
| Infectious conjunctivitis | 4.3% | Beta (alpha = 20, beta = 445) | [30] |
| SC | |||
| Injection site reaction | - | - | [28,29] |
| Allergic conjunctivitis | 0.9% | Beta (alpha = 4, beta = 452) | [30] |
| Infectious conjunctivitis | 0.7% | Beta (alpha = 3, beta = 453) | [30] |
| Cost (KRW) | |||
| a 300-mg injection of dupilumab | |||
| Pre-entry | 710,000 | - | [34] |
| Post-entry | 497,000 | - | - |
| Healthcare cost per cycle | |||
| No response (SE) | 1,058,567 | Gamma (SE = 395,690) | [35] |
| Response (SE) | 522,041 | Gamma (SE = 135,946) | [35] |
| Adverse event annual cost (KRW) | |||
| Injection site reaction | 39,512 | Gamma (SE assumed to be 10% of mean) | [36] |
| Allergic conjunctivitis | 25,129 | Gamma (SE assumed to be 10% of mean) | [36] |
| Infectious conjunctivitis | 22,524 | Gamma (SE assumed to be 10% of mean) | [36] |
| Utility | |||
| Dupilumab | |||
| No response (SE) | 0.63 | Gamma (SE = 0.015) | [37] |
| Response (SE) | 0.89 | Gamma (SE = 0.024) | [37] |
| SC | |||
| No response (SE) | 0.61 | Gamma (SE = 0.016) | [37] |
| Response (SE) | 0.86 | Gamma (SE = 0.046) | [37] |
| Outcome 1 | Pre-EPED | Post-EPED | Difference | ||
|---|---|---|---|---|---|
| Dupilumab | SC | Dupilumab | SC | ||
| Drug Cost | 90,579,395 | - | 82,460,271 | - | |
| Other Healthcare Cost | 54,179,490 | 61,279,752 | 54,179,490 | 61,279,752 | |
| Total Cost | 144,758,885 | 61,279,752 | 136,639,761 | 61,279,752 | |
| Total QALY | 13.33 | 11.58 | 13.33 | 11.58 | |
| Incremental Cost | 83,479,133 | 75,360,009 | −8,119,123 | ||
| Incremental QALY | 1.76 | 1.76 | |||
| Incremental Cost-Effective Ratio | 47,564,187 | 42,938,127 | −4,626,060 (−9.7%) | ||
| Acceptability Change 2 (%) | 30.7% | 45.3% | +14.6′% | ||
| Value Based Price (KRW) | Difference | ||||
|---|---|---|---|---|---|
| WTP Thresholds | Pre-EPED | Post-EPED | per Unit (KRW) | % Change | per Year (KRW) |
| 1GDP-based | 606,656 | 666,388 | 59,732 | +9.85% | 1,553,032 |
| Anticancer-based | 679,126 | 745,994 | 66,867 | +9.85% | 1,738,555 |
| Rare disease-based | 583,927 | 641,421 | 57,494 | +9.85% | 1,494,846 |
| General disease-based | 291,864 | 320,601 | 28,737 | +9.85% | 747,169 |
| Variables | Pre-EPED ICER (KRW/QALY) | Post-EPED ICER (KRW/QALY) | ICER Change (KRW/QALY) (%) | Acceptability Change (%) |
|---|---|---|---|---|
| EPED Configuration | ||||
| Time to EPED | ||||
| 5 years | 47,564,187 | 39,085,632 | −8,478,555 (−17.8%) | 23.1% |
| 7 years | 47,564,187 | 40,801,064 | −6,763,123 (−14.2%) | 18.0% |
| 12 years | 47,564,187 | 43,744,542 | −3,819,645 (−8.0%) | 8.8% |
| Type of EPED | ||||
| Chemical-based | 47,564,187 | 40,496,608 | −7,067,579 (−14.9%) | 19.1% |
| Scenario Analysis | ||||
| Time Horizon | ||||
| 30 years | 26,058,505 | 23,690,242 | −2,368,264 (−9.1%) | 3.7% |
| 20 years | 22,777,541 | 21,117,578 | −1,659,963 (−7.3%) | 0% |
| Response | ||||
| EASI-50 | 52,221,640 | 47,035,535 | −5,186,105 (−9.9%) | 12.9% |
| Discount Rate | ||||
| 3% | 65,458,658 | 58,078,211 | −7,380,447 (−11.3%) | 10.8% |
Disclaimer/Publisher’s Note: The statements, opinions and data contained in all publications are solely those of the individual author(s) and contributor(s) and not of MDPI and/or the editor(s). MDPI and/or the editor(s) disclaim responsibility for any injury to people or property resulting from any ideas, methods, instructions or products referred to in the content. |
© 2024 by the authors. Licensee MDPI, Basel, Switzerland. This article is an open access article distributed under the terms and conditions of the Creative Commons Attribution (CC BY) license (https://creativecommons.org/licenses/by/4.0/).
Share and Cite
Kim, M.; Quan, G.; Noh, Y.; Hong, S.H. Impact of Incorporating Future Mandatory Price Reductions with Generic Drug Entry on the Cost-Effectiveness of New Drugs: A Policy Simulation Study of Dupilumab in Atopic Dermatitis Treatment. Healthcare 2024, 12, 938. https://doi.org/10.3390/healthcare12090938
Kim M, Quan G, Noh Y, Hong SH. Impact of Incorporating Future Mandatory Price Reductions with Generic Drug Entry on the Cost-Effectiveness of New Drugs: A Policy Simulation Study of Dupilumab in Atopic Dermatitis Treatment. Healthcare. 2024; 12(9):938. https://doi.org/10.3390/healthcare12090938
Chicago/Turabian StyleKim, Maryanne, Guiguan Quan, Youran Noh, and Song Hee Hong. 2024. "Impact of Incorporating Future Mandatory Price Reductions with Generic Drug Entry on the Cost-Effectiveness of New Drugs: A Policy Simulation Study of Dupilumab in Atopic Dermatitis Treatment" Healthcare 12, no. 9: 938. https://doi.org/10.3390/healthcare12090938
APA StyleKim, M., Quan, G., Noh, Y., & Hong, S. H. (2024). Impact of Incorporating Future Mandatory Price Reductions with Generic Drug Entry on the Cost-Effectiveness of New Drugs: A Policy Simulation Study of Dupilumab in Atopic Dermatitis Treatment. Healthcare, 12(9), 938. https://doi.org/10.3390/healthcare12090938

