Development of a Standard Tool of Pattern Identification for Functional Dyspepsia: A Cross-Sectional Study from Korea
Abstract
1. Introduction
2. Materials and Methods
2.1. Development of a Draft of the Standard Tool of Pattern Identification for FD (STPI-FD)
2.1.1. Selection of the Relevant Literature
2.1.2. Selection of Major Pattern Identifications
2.1.3. Selection of Major Symptoms
2.1.4. Korean Translation of Symptoms
2.1.5. Evaluation on Importance via Delphi Method
- (1)
- Evaluation and Confirmation of Pattern Identification Importance
- (2)
- Evaluation and Confirmation of Symptom Importance
- (3)
- Translation Validity Evaluation
2.1.6. Draft of the STPI-FD
2.2. Evaluation of Clinical Applicability of the Draft of STPI-FD in Clinical Setting
2.2.1. Recruitment of Participants
- (1)
- Inclusion Criteria
- a.
- Patients aged 19–75 years diagnosed with FD according to the Rome IV criteria.
- b.
- Patients with an overall dyspeptic symptom severity of ≥40 assessed on a visual analog scale (VAS, 0–100).
- (2)
- Exclusion Criteria
- a.
- Organic gastrointestinal causes or alarm symptoms.
- b.
- Severe structural or psychiatric disorders.
- c.
- History of gastrointestinal surgery owing to a prior gastrointestinal disease.
- d.
- Patients who had recently taken medications affecting the gastrointestinal tract, including prokinetic agents, proton pump inhibitors, anti-ulcer drugs, antiemetics, and anticholinergics.
2.2.2. Demographics
2.2.3. Pattern Identification Diagnosis Using STPI-FD
2.2.4. Dyspepsia-Related Scales
- (1)
- VAS for Dyspepsia
- (2)
- Total Dyspepsia Symptom Scale
- (3)
- Single Dyspepsia Symptom Scale
- (4)
- Functional Dyspepsia-Related Quality of Life
2.3. Statistical Analyses
3. Results
3.1. Demographic Characteristics of Patients with FD
3.2. Reliability of the STPI-FD
3.2.1. Evaluator-Assessed Items of the STPI-FD
3.2.2. Patient-Assessed Items of the STPI-FD
3.3. Clinical Validity of the STPI-FD
3.3.1. Correlation Analysis Between FD Pattern Identification and Rome IV Subtypes
3.3.2. Analysis of Symptom Scores Across Pattern Identifications
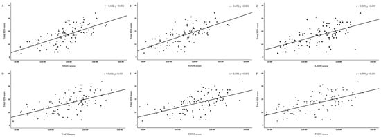
3.3.3. Correlation Analysis of STPI-FD and Other Dyspepsia-Related Questionnaires
4. Discussion
4.1. Summary of the Study
4.2. Clinical Application of the Study
4.3. Limitations of the Study
4.4. Significance of the Study
5. Conclusions
Supplementary Materials
Author Contributions
Funding
Institutional Review Board Statement
Informed Consent Statement
Data Availability Statement
Acknowledgments
Conflicts of Interest
References
- Tack, J.; Talley, N.J.; Camilleri, M.; Holtmann, G.; Hu, P.; Malagelada, J.R.; Stanghellini, V. Functional gastroduodenal disorders. Gastroenterology 2006, 130, 1466–1479. [Google Scholar] [CrossRef] [PubMed]
- Mahadeva, S.; Goh, K.L. Epidemiology of functional dyspepsia: A global perspective. World J. Gastroenterol. 2006, 12, 2661–2666. [Google Scholar] [CrossRef] [PubMed]
- Filipović, B.F.; Randjelovic, T.; Ille, T.; Markovic, O.; Milovanović, B.; Kovacevic, N.; Filipović, B.R. Anxiety, personality traits and quality of life in functional dyspepsia-suffering patients. Eur. J. Intern. Med. 2013, 24, 83–86. [Google Scholar] [CrossRef] [PubMed]
- Lacy, B.E.; Weiser, K.T.; Kennedy, A.T.; Crowell, M.D.; Talley, N.J. Functional dyspepsia: The economic impact to patients. Aliment. Pharmacol. Ther. 2013, 38, 170–177. [Google Scholar] [CrossRef]
- Sarnelli, G.; Caenepeel, P.; Geypens, B.; Janssens, J.; Tack, J. Symptoms associated with impaired gastric emptying of solids and liquids in functional dyspepsia. Am. J. Gastroenterol. 2003, 98, 783–788. [Google Scholar] [CrossRef]
- Tack, J.; Piessevaux, H.; Coulie, B.; Caenepeel, P.; Janssens, J. Role of impaired gastric accommodation to a meal in functional dyspepsia. Gastroenterology 1998, 115, 1346–1352. [Google Scholar] [CrossRef]
- Tack, J.; Caenepeel, P.; Fischler, B.; Piessevaux, H.; Janssens, J. Symptoms associated with hypersensitivity to gastric distention in functional dyspepsia. Gastroenterology 2001, 121, 526–535. [Google Scholar] [CrossRef]
- Mearin, F.; Cucala, M.; Azpiroz, F.; Malagelada, J.R. The origin of symptoms on the brain-gut axis in functional dyspepsia. Gastroenterology 1991, 101, 999–1006. [Google Scholar] [CrossRef]
- Lacy, B.E.; Talley, N.J.; Locke, G.R., III; Bouras, E.P.; DiBaise, J.K.; El-Serag, H.B.; Abraham, B.P.; Howden, C.W.; Moayyedi, P.; Prather, C. Review article: Current treatment options and management of functional dyspepsia. Aliment. Pharmacol. Ther. 2012, 36, 3–15. [Google Scholar] [CrossRef]
- Stanghellini, V.; Chan, F.K.; Hasler, W.L.; Malagelada, J.R.; Suzuki, H.; Tack, J.; Talley, N.J. Gastroduodenal disorders. Gastroenterology 2016, 150, 1380–1392. [Google Scholar] [CrossRef]
- Jiang, M.; Lu, C.; Zhang, C.; Yang, J.; Tan, Y.; Lu, A.; Chan, K. Syndrome differentiation in modern research of traditional Chinese medicine. J. Ethnopharmacol 2012, 140, 634–642. [Google Scholar] [CrossRef] [PubMed]
- Ryu, H.H.; Lee, H.J.; Jang, E.S.; Choi, S.M.; Lee, S.G.; Lee, S.W. Study on development of cold-heat pattern questionnaire. J. Physiol. Pathol. Korean Med. 2008, 22, 1410–1415. [Google Scholar]
- Ryu, H.H.; Lee, H.J.; Jang, E.S.; Lee, S.W.; Lee, G.S.; Kim, J.Y. Study on deficiency-excess pattern questionnaire development possibility. J. Physiol. Pathol. Korean Med. 2009, 23, 534–539. [Google Scholar]
- Park, Y.J.; Yang, D.H.; Lee, J.M.; Park, Y.B. Development of a valid and reliable blood stasis questionnaire and its relationship to heart rate variability. Complement. Ther. Med. 2013, 21, 633–640. [Google Scholar] [CrossRef]
- Park, J.S.; Yang, D.H.; Kim, M.Y.; Lee, S.C.; Park, Y.J.; Park, Y.B. Development of questionnaire for Damum patternization. J. Soc. Korean Med. Diagn. 2006, 10, 64–77. [Google Scholar]
- Park, Y.J.; Lim, J.S.; Park, Y.B. Development of a valid and reliable food retention questionnaire. Eur. J. Integr. Med. 2013, 5, 432–437. [Google Scholar] [CrossRef]
- Oh, H.W.; Lee, J.W.; Kim, J.S.; Song, E.Y.; Shin, S.W.; Han, G.J.; Lu, H.; Lee, J.H. Study on the Development of a standard instrument of diagnosis and assessment for spleen qi deficiency pattern. J. Korean. Med. 2014, 35, 157–170. [Google Scholar] [CrossRef]
- Lee, J.; Park, J.W.; Ko, S.J.; Kim, J. Development and validation of a new pattern identification scale for Stomach Qi Deficiency. Eur. J. Integr. Med. 2018, 17, 56–63. [Google Scholar] [CrossRef]
- Zhang, S.S.; Wang, H.B.; Li, Q.J. Traditional Chinese medicine diagnostic and treatment guidelines for functional dyspepsia (draft). Chin. J. Integr. Tradit. West. Med. Dig. 2002, 4, 194. [Google Scholar] [CrossRef]
- Han, G.J.; Kim, J.S.; Park, J.W.; Ryu, B.H. Pattern identification of 97 functional dyspepsia patients and the characteristics of each pattern type. J. Korean. Med. 2011, 32, 42–62. [Google Scholar]
- Kim, J.B.; Kim, J.H.; Son, C.G.; Kang, W.C.; Cho, J.H. Development of instrument of pattern identification for functional dyspepsia. J. Physiol. Pathol. Korean Med. 2010, 24, 1094–1098. [Google Scholar]
- Page, M.J.; McKenzie, J.E.; Bossuyt, P.M.; Boutron, I.; Hoffmann, T.C.; Mulrow, C.D.; Shamseer, L.; Tetzlaff, J.M.; Akl, E.A.; Brennan, S.E.; et al. The PRISMA 2020 statement: An updated guideline for reporting systematic reviews. BMJ 2021, 372, n71. [Google Scholar] [CrossRef] [PubMed]
- Han, G.J.; Leem, J.T.; Lee, N.L.; Kim, J.S.; Park, J.W.; Lee, J.H. Development of a standard tool for pattern identification of gastroesophageal reflux disease (GERD). J. Intern. Korean Med. 2015, 36, 122–152. [Google Scholar]
- Zhang, S.; Zhao, L.; Wang, H.; Wang, C.; Huang, S.; Shen, H.; Wei, W.; Tao, L.; Zhou, T. Efficacy of modified LiuJunZi decoction on functional dyspepsia of spleen-deficiency and qi-stagnation syndrome: A randomized controlled trial. BMC Complement. Altern. Med. 2013, 13, 54. [Google Scholar] [CrossRef]
- Lee, E.H.; Hahm, K.B.; Lee, J.H.; Park, J.J.; Lee, D.H.; Kim, S.K.; Choi, S.R.; Lee, S.T. Development and validation of a functional dyspepsia-related quality of life (FD-QOL) scale in South Korea. J. Gastroenterol. Hepatol. 2006, 21, 268–274. [Google Scholar] [CrossRef]
- Tavakol, M.; Dennick, R. Making sense of Cronbach’s alpha. Int. J. Med. Educ. 2011, 2, 53–55. [Google Scholar] [CrossRef]
- Zha, Q.L.; He, Y.T.; Yu, J.P. Correlations between diagnostic information and therapeutic efficacy in rheumatoid arthritis analyzed with decision tree model. Chin. J. Integr. Tradit. West. Med. 2006, 26, 871–876. [Google Scholar]
- Mist, S.; Ritenbaugh, C.; Aickin, M. Effects of questionnaire-based diagnosis and training on inter-rater reliability among practitioners of traditional Chinese medicine. J. Altern. Complement. Med. 2009, 15, 703–709. [Google Scholar] [CrossRef]
- Byun, J.S.; Yang, S.Y.; Kang, W.C.; Park, Y.C. Primary study to develop the instrument of pattern identification for common cold. J. Physiol. Pathol. Korean Med. 2009, 23, 1226–1233. [Google Scholar]
- Park, E.J.; Jang, S.B.; Baek, S.E.; Kim, S.K.; Yoo, H.R.; Yoo, J.E.; Jung, I.C. Preliminary study on development of pattern identification instrument for polycystic ovarian syndrome. J. Korean Obstet. Gynecol. 2017, 30, 68–84. [Google Scholar] [CrossRef][Green Version]
- Lee, E.H.; Choi, W.C.; Jung, I.C. Preliminary study to develop the instrument on pattern identifications for depression. J. Orient. Neuropsychiatry 2013, 24, 435–450. [Google Scholar] [CrossRef]
- Wei, Y.M.; Lee, G.E.; Jung, S.H.; Lee, H.K.; Lyu, Y.S.; Kang, H.W. A Study on the Reliability and Factor analysis of Pattern Identification for Tic Disorders in children. J. Orient. Neuropsychiatry 2012, 23, 59–82. [Google Scholar] [CrossRef]
- Kim, K.K.; Seo, B.N.; Kang, W.C.; Jung, I.C. Guidelines for the reliability and validity of the instrument on pattern identifications for Hwa-byung. J. Orient. Neuropsychiatry 2013, 24, 331–342. [Google Scholar] [CrossRef]
- Kim, J.; Kim, J.; Kim, J.; Kim, K.H. Reliability and validity analysis of a standard instrument of diagnosis and assessment for spleen Qi deficiency pattern in chronic dyspepsia patients. J. Korean Med. 2015, 36, 23–34. [Google Scholar] [CrossRef]
- Nam, S.; Park, J.; Kim, J. Correlation analysis between stomach qi deficiency pattern and gastric emptying measured by abdominal ultrasonography in patients with functional dyspepsia. J. Intern. Korean Med. 2018, 39, 405–425. [Google Scholar] [CrossRef]
- Hwang, J.H.; Ko, D. Literature review of clinical studies for the relationship between ultrasonographic examination and syndrome differentiation classification in Chinese medicine. J. Physiol. Pathol. Korean Med. 2018, 32, 217–225. [Google Scholar] [CrossRef]
- Ha, N.Y.; Ko, S.J.; Park, J.W.; Kim, J. Efficacy and safety of the herbal formula Naesohwajung-tang for functional dyspepsia: A randomized, double-blind, placebo-controlled, multi-center trial. Front. Pharmacol. 2023, 14, 1157535. [Google Scholar] [CrossRef]
- Li, D.D.; Yue, Z.H.; Xu, L.C.; Xie, T.; Hu, G.Z.; Yang, J. Clinical evaluation study on long-term effect of acupuncture with pattern/syndrome differentiation on functional dyspepsia. Zhounguo Zhen Jiu 2014, 34, 431–434. [Google Scholar]
- Chen, P.; Chen, A.P. Clinical observation of “experienced ten acupoints” for functional dyspepsia of liver stagnation and spleen deficiency. Zhongguo Zhen Jiu 2020, 40, 1169–1171. [Google Scholar]
- Taherdoost, H. Validity and Reliability of the Research Instrument; How to Test the Validation of a Questionnaire/Survey in a Research. Int. J. Acad. Res. Manag. 2016, 5, 28–36. [Google Scholar] [CrossRef]
- Bujang, M.A.; Omar, E.D.; Baharum, N.A. A review on sample size determination for Cronbach’s alpha test: A simple guide for researchers. Malays. J. Med. Sci. 2018, 25, 85–99. [Google Scholar] [CrossRef] [PubMed]
- Kang, H. A guide on the use of factor analysis in the assessment of construct validity. J. Korean. Acad. Nurs. 2013, 43, 587–594. [Google Scholar] [CrossRef] [PubMed]
- Tally, N.J.; Verlinden, M.; Jone, M. Quality of life in functional dyspepsia: Responsiveness of the Nepean Dyspepsia Index and development of a new 10-item short form. Aliment. Pharmacol. Ther. 2001, 15, 207–216. [Google Scholar] [CrossRef] [PubMed]
- Lee, B.; Ha, N.Y.; Park, H.J.; Kim, A.R.; Kwon, O.J.; Cho, J.H.; Shin, S.M.; Kim, J.; Yang, C. Herbal Medicine Yukgunja-Tang for Functional Dyspepsia: A Protocol for a Randomized, Controlled, Multicenter Clinical Trial. Healthcare 2023, 11, 1456. [Google Scholar] [CrossRef]
- Ko, S.J.; Park, J.W.; Lee, J.H.; Lee, J.E.; Ha, N.Y.; Nam, S.U.; Lee, J.H.; Jeon, S.H.; Kim, J.W.; Kang, C.; et al. An Herbal Medicine, Yukgunja-Tang is more Effective in a Type of Functional Dyspepsia Categorized by Facial Shape Diagnosis: A Placebo-Controlled, Double-Blind, Randomized Trial. Evid. Based. Complement. Alternat. Med. 2018, 2018, 8546357. [Google Scholar] [CrossRef]
- Altman, D.G. Practical Statistics for Medical Research, 1st ed.; Chapman and Hall/CRC Press: Boca Raton, FL, USA, 1990. [Google Scholar]
- Lacy, B.E.; Everhart, K.; Crowell, M.D. Functional dyspepsia is associated with sleep disorders. Clin. Gastroenterol. Hepatol. 2011, 9, 410–414. [Google Scholar] [CrossRef]
- Cremonini, F.; Talley, N.J. Review article: The overlap between functional dyspepsia and irritable bowel syndrome—A tale of one or two disorders? Aliment. Pharmacol. Ther. 2004, 20, 40–49. [Google Scholar] [CrossRef]
- Oudenhove, L.V.; Vandenberghe, J.; Vos, R.; Holvoet, L.; Tack, J. Factors associated with co-morbid irritable bowel syndrome and chronic fatigue-like symptoms in functional dyspepsia. Neurogastroenterol. Motil. 2011, 23, 524-e202. [Google Scholar] [CrossRef]
- Charter, R.A. Sample size requirements for precise estimates of reliability, generalizability, and validity coefficients. J. Clin. Exp. Neuropsychol. 1999, 21, 559–566. [Google Scholar] [CrossRef]
- Son, J.Y.; Kim, J.S. Diagnostic values of tongue coating thickness and sterno-costal angle in functional dyspepsia. J. Int. Korean. Med. 2014, 35, 157–174. [Google Scholar]
- Kim, Y.M.; Park, Y.C.; Jo, J.H.; Kang, W.C.; Son, W.M.; Hong, K.E. Effect of herb medicine treatment for functional dyspepsia: A randomized placebo-controlled and compared standard treatment trial. J. Korean Med. 2010, 31, 1–13. [Google Scholar]
- Lee, J.J.; Son, M.W.; Hong, K.E. Effect of herb drug medicine treatment for functional dyspepsia: Controlled trial. J. Pharmacoacupunct. 2009, 12, 51–66. [Google Scholar] [CrossRef]
- Park, Y.C.; Cho, J.H.; Choi, S.M.; Son, C.G. Analytic study of 68 patients with functional dyspepsia according to syndrome differentiation. J. Int. Korean Med. 2008, 29, 574–581. [Google Scholar]
- Kim, D.W.; Choi, B.H.; Hur, J.I.; Park, K.; Kim, D.J.; Byun, J.S. Evaluation for therapeutic effectiveness of bowhatang in functional dyspepsia. Herb. Formula Sci. 2006, 14, 97–108. [Google Scholar]
- Kim, H.K.; Yoon, S.H.; Lee, J.S.; Eom, G.H.; Lee, S.Y.; Kim, S.Y.; Hur, W.Y.; Kim, J.S.; Ryu, B.H. Correlation study between fatigue degree and comprehensive diagnosis of Qui Xui Shui in patients with functional dyspepsia. J. Int. Korean Med. 2006, 27, 510–520. [Google Scholar]
- Oh, J.H.; Kim, B.S.; Lim, H.Y.; Kim, D.W.; Choi, B.H.; Hur, J.I.; Kim, D.J.; Cho, C.K.; Byun, J.S. Three cases report of functional dyspepsia patients who were administered by LJTG(Lijintang-Gamibang). J. Int. Korean Med. 2005, 26, 641–651. [Google Scholar]
- Han, S.Y.; Lim, J.H.; Ryu, J.M.; Jang, S.Y.; Kim, H.K.; Lee, J.S.; Yoon, S.H.; Kim, J.S.; Ryu, B.H.; Ryu, K.W. Analysis of symptom pattern through comprehensive diagnosis of Qui Xui Shui in patients with functional dyspepsia. J. Int. Korean Med. 2004, 25, 224–237. [Google Scholar]
- Jeong, H.D.; Yoon, S.H.; Kim, J.S.; Ryu, B.H.; Ryu, K.W. Relationship between gastric motility and health condition graded by total symptom scores in comprehensive diagnosis of Qui Xue Shui in functional dyspeptic patients. J. Int. Korean Med. 2004, 25, 158–166. [Google Scholar]
- Hong, S.H. Research on Korean Medicine Doctors’ Decision-Making on Diagnosis and Selection of Acupoints. Master’s Thesis, Kyung Hee University, Seoul, Republic of Korea, 2014. [Google Scholar]
- Department of Diagnosis Disease National Coalition Korean Medicine. Digestive Diseases, 1st ed.; Koonja: Seoul, Republic of Korea, 2008. [Google Scholar]
- Zhang, X. Clinical Observation on of Traditional Chinese Medicine Syndromes Differentiation in Treating Functional Dyspepsia. Guangming J. Chin. Med. 2018, 33, 955–957. [Google Scholar]
- Zhu, W. Study on TCM Clinical Syndrome Differentiation of Functional Dyspepsia. Chin. Health Stand. Manag. 2018, 9, 108–109. [Google Scholar]
- Gou, X.; Wu, W.; Gao, N.; Wang, W. Treatment of functional dyspepsia with Traditional Chinese Medicine syndrome differentiation and modifications of classical prescriptions. Cardiovasc. Dis. J. Integr. Tradit. Chin. West. Med. 2018, 6, 135–138. [Google Scholar]
- Peng, W. Clinical Study on 60 Cases of Functional Dyspepsia Dialectical Treated by Modified Tiaowei Jianpi Soup. Master’s Thesis, Hubei University of Chinese Medicine, Wuhan, China, 2017. [Google Scholar]
- Cai, J. Clinical effect of TCM syndrome differentiation on spleen and stomach type of functional dyspepsia. Chin. J. Clin. Rational Drug Use. 2017, 10, 30–31. [Google Scholar]
- Wang, W. Study on the application effect of Traditional Chinese Medicine syndrome differentiation and treatment in patients with spleen-stomach qi deficiency type functional dyspepsia. J. Clin. Med. Lit. 2017, 4, 8353–8354. [Google Scholar]
- Fu, D. Clinical efficacy of Traditional Chinese Medicine syndrome differentiation in the treatment of spleen-stomach qi deficiency type functional dyspepsia. World Latest Med. Inf. 2017, 17, 172–173. [Google Scholar]
- Ye, A. Methods and Clinical Efficacy of TCM Syndrome Differentiation Treatment for Spleen and Stomach Deficiency Type Functional Dyspepsia. Nei Mongol J. Tradit. Chin. Med. 2016, 35, 35. [Google Scholar]
- Ge, X. Clinical observation of functional dyspepsia treated by syndrome differentiation in Traditional Chinese Medicine. J. New Chin. Med. 2016, 48, 46–47. [Google Scholar]
- Li, J. Clinical Experience in TCM Syndrome Differentiation and Treatment of 82 Cases of Functional Dyspepsia. Nei Mongol J. Tradit. Chin. Med. 2016, 35, 58. [Google Scholar]
- Deng, M.; Wang, L.; Jin, L.P.; Sun, S.Y.; Ren, Q.L. Spleen Qi Deficiency Functional Dyspepsia Efficacy of TCM Treatment. China Foreign Med. Treat. 2016, 35, 167–168. [Google Scholar]
- Wang, R.; Yang, Y. Clinical study on the treatment of functional dyspepsia with syndrome differentiation in Traditional Chinese Medicine. Asia-Pac. Tradit. Med. 2016, 12, 106–107. [Google Scholar]
- Zhong, H. Observation on the efficacy of treating spleen-stomach qi deficiency type functional dyspepsia with syndrome differentiation in Traditional Chinese Medicine. Cap. Food Med. 2016, 23, 65–66. [Google Scholar]
- Zhang, S.S.; Zhao, L.Q.; Wang, C.J.; Shen, H.; Huang, S.P.; Wei, W.; Wang, H.B.; Wu, B.; Li, Y.F.; Liu, Y.J.; et al. Efficacy of syndrome differentiation based on ’han,re,xu,shi’ on functional dyspepsia: A randomized controlled patient-reported trial. Chin. J. Tradit. Chin. Med. Pharm. 2016, 31, 65–71. [Google Scholar]
- Wu, Y. Evaluation of the effect of syndrome differentiation in Traditional Chinese Medicine for treating functional dyspepsia. For All Health 2015, 9, 36–37. [Google Scholar]
- Liu, Y.; Shen, H.; Cui, Y.; Li, H.; Ge, C.; Xu, Y. Clinical Study on Syndrome Differentiation Treatment of 50 Cases of Functional Dyspepsia. Jiangsu J. Tradit. Chin. Med. 2015, 47, 41–43. [Google Scholar]
- Guo, X.; Ren, L.; Lin, H.; Zhang, K.; Jiang, K.; Fu, S. Study of Acupuncture on Liver Stagnation Type of Functional Dyspepsia and Its Metabolomics. Liaoning J. Tradit. Chin. Med. 2015, 42, 1752–1754. [Google Scholar]
- Xiang, Y.; Chen, S.; Qing, X. Observation on the Efficacy of TCM Syndrome Differentiation and Treatment of Spleen and Stomach Qi Deficiency Type Functional Dyspepsia. For All Health 2015, 9, 33–34. [Google Scholar]
- Chen, H. Clinical Observation on Functional Dyspepsia Treated by Acupuncture on Syndrome Differentiation and Investigatation 5- HT of FD Rats with Disharmony Between Liver and Stomach Syndrome. Master’s Thesis, Hubei University of Chinese Medicine, Wuhan, China, 2015. [Google Scholar]
- Feng, Y. Study on the Clinical Efficacy of TCM Differentiation and Treatment of Functional Dyspepsia. For All Health 2015, 9, 33. [Google Scholar]
- Wang, Y.Y.; Li, J.; Zhang, F.B.; Zhang, R.X. The relationship between the subtypes of functional dyspepsia and TCM differentiation and the level of GLP-1. Chin. J. Integr. Tradit. West. Med. Dig. 2015, 23, 112–117. [Google Scholar]
- Liu, J.; Li, F.; Tang, X.; Ma, J.; Bai, S.; Liu, Y. Modern Clinical Studies on TCM Syndrome of Functional Dyspepsia and their Differentiation Standards. World Chin. Med. 2015, 10, 56–59. [Google Scholar]
- Ye, Y. A Randomized Controlled Study of Traditional Chinese Medicine Syndrome Differentiation and Treatment of Functional Dyspepsia. J. Pract. Tradit. Chin. Intern. Med. 2014, 28, 104–106. [Google Scholar]
- Lin, Y.; Chen, X. Syndrome Differentiation and Treatment of 124 Cases of Functional Dyspepsia. China Foreign Med. Treat. 2014, 33, 153–154. [Google Scholar]
- Xia, P. Clinical Study on the Efficacy of TCM Syndrome Differentiation and Treatment of Spleen and Stomach Qi Deficiency Type Functional Dyspepsia. Contemp. Med. Forum 2014, 12, 156–157. [Google Scholar]
- Zeng, J. Clinical Observation of 52 Cases of Functional Dyspepsia Treated by Syndrome Differentiation. J. Med. Theory Pract. 2014, 27, 1453–1454. [Google Scholar]
- Huang, Q. The Effect on Living Quality, Serum Gastirn and Motilin of Functional Dyspepsia Patients Treated with Acupuncture Based on Syndrome Differentiation. Master’s Thesis, Hubei University of Chinese Medicine, Wuhan, China, 2014. [Google Scholar]
- Li, Q.; Xiao, Z.; Chen, F. TCM Syndrome Differentiation and Treatment of 81 Cases of Functional Dyspepsia. Fujian J. Tradit. Chin. Med. 2014, 45, 32–33. [Google Scholar]
- Liu, D. Clinical Observation on Syndrome Differentiation Treatment of 124 Cases of Functional Dyspepsia. Res. Integr. Tradit. Chin. West. Med. 2014, 6, 154–155. [Google Scholar]
- Yang, S. Clinical Observation of the Efficacy of TCM Syndrome Differentiation Treatment of Functional Dyspepsia. Guide China Med. 2014, 12, 299. [Google Scholar]
- Xu, W.H.; Yao, S.K.; Li, N.J.; Zhang, Y.L.; Ke, M.Y. Influences of TCM syndrome differentiation and treatment on anxiety and depression status in patients with functional dyspepsia. J. Beijing Univ. Tradit. Chin. Med. 2013, 36, 640–644. [Google Scholar]
- Xu, W.H.; Yao, S.K.; Li, N.J.; Zhang, Y.L.; Ke, M.Y.; Wang, X.Y. Study of TCM differentiating treatment on patients with functional dyspepsia. Chin. J. Integr. Tradit. West. Med. Dig. 2013, 21, 225–228. [Google Scholar]
- Jin, L.; Hu, Y.; Gao, Z.; Zhou, L.; Hou, L.; Zhang, W.; Zhang, H. Clinical Curative Effect Evaluation of Acupuncture by Syndrome Differentiation for Functional Dyspepsia. Liaoning J. Tradit. Chin. Med. 2013, 40, 1222–1225. [Google Scholar]
- Zhang, F. TCM Syndrome Differentiation Treatment of Functional Dyspepsia. Mod. Diagn. Treat. 2013, 24, 1006–1007. [Google Scholar]
- Liu, Y. Observation on the Efficacy of Syndrome Differentiation Treatment and Care for Functional Dyspepsia. Clin. J. Tradit. Chin. Med. 2013, 25, 53–54. [Google Scholar]
- Cai, S.; Wang, X. Syndrome Differentiation Treatment of Functional Dyspepsia. Hebei J. Tradit. Chin. Med. 2013, 35, 1156–1233. [Google Scholar]
- Chen, R. Comparative Study of TCM Syndrome Differentiation and Western Medicine Classification in Functional Dyspepsia. Master’s Thesis, Liaoning University of Traditional Chinese Medicine, Shenyang, China, 2013. [Google Scholar]
- Zhou, H. Experience in TCM Syndrome Differentiation and Treatment of 39 Cases of Functional Dyspepsia. Chin. J. Ethnomed. Ethnopharm. 2013, 22, 110. [Google Scholar]
- Men, J. Syndrome Differentiation Treatment of 41 Cases of Functional Dyspepsia. Zhejiang J. Tradit. Chin. Med. 2013, 48, 179. [Google Scholar]
- Yang, D. Analysis of TCM Syndrome Differentiation Treatment of Functional Dyspepsia. China J. Pharm. Econ. 2012, 6, 195–196. [Google Scholar]
- Liu, Q.M. Clinical Observation of Treatment Based on Syndrome Differentiation Acupuncture on Functional Dyspepsia with Sleep Disorders. Master’s Thesis, Hubei University of Chinese Medicine, Wuhan, China, 2012. [Google Scholar]
- Hu, Y. Therapeutic Effect Observation on Functional Dyspepsia Treated with Acupuncture by Differentiation of Symptoms and Signs and its Effect on Serum Gastrin. Master’s Thesis, Hubei University of Chinese Medicine, Wuhan, China, 2012. [Google Scholar]
- Cui, Y. Evaluation of Clinical Curative Effect on Treatment of Functional Dyspepsia Based on Syndrome Differentiation with Excess and Deficiency Pattern. Master’s Thesis, Nanjing University of Chinese Medicine, Nanjing, China, 2012. [Google Scholar]
- Wang, Y. The Relationship between the Subtypes of Functional Dyspepsia and TCM Differentiation and the Level of GLP-1. Master’s Thesis, Hebei Medical University, Shijiazhuan, China, 2012. [Google Scholar]
- Liu, G.; Lin, P. Exploration and Comparison of the Essential Pathogenesis of Functional Dyspepsia Using Element and Organ Syndrome Differentiation. In Proceedings of the 24th National Conference of Spleen Stomach Disease Chinese Association Chinese Traditional Medicine, Kunming, China, 1 August 2012; pp. 197–198. [Google Scholar]
- Bi, W. Syndrome Differentiation Treatment of 50 Cases of Functional Dyspepsia with Tongjiang Weikang Decoction. Chin. Med. Mod. Dist. Educ. China 2012, 10, 16–17. [Google Scholar]
- Liu, H. Syndrome Differentiation Treatment of 60 Cases of Functional Dyspepsia. Shaanxi J. Tradit. Chin. Med. 2011, 32, 528–529. [Google Scholar]
- Lei, X. The Study of Syndrome Differentiation in Traditional Chinese Medicine of Functional Dyspepsia and the Relationship between LEP and PYY. Master’s Thesis, Guangzhou University of Chinese Medicine, Guangzhou, China, 2011. [Google Scholar]
- Lu, H. Efficacy Observation of TCM Syndrome Differentiation Treatment of Spleen and Stomach Qi Deficiency Type Functional Dyspepsia. China Foreign. Med. Treat. 2011, 30, 123. [Google Scholar]
- Wang, J. TCM Syndrome Differentiation and Treatment of Functional Dyspepsia. Gansu J. Tradit. Chin. Med. 2010, 23, 45–46. [Google Scholar]
- Su, G. Current Status of Research on TCM Syndrome Differentiation Treatment of Functional Dyspepsia. China Mod. Doctor 2010, 48, 13–14. [Google Scholar]
- Hua, Z.; Cai, H. Observation on the Efficacy of Syndrome Differentiation Treatment of 45 Cases of Functional Dyspepsia. Shandong J. Tradit. Chin. Med. 2010, 29, 670–671. [Google Scholar]
- Chen, L. Syndrome Differentiation and Treatment Characteristics of Functional Dyspepsia. In Proceedings of the 22nd National Symposium Integrated Traditional Chinese Western Medicine Digest System Disease, Suzhou, China, 1 August 2010; pp. 666–668. [Google Scholar]
- Cao, D.; Yang, Z. Analysis of 87 Cases of Functional Dyspepsia Treated by TCM Syndrome Differentiation and Classification. Aerospace Med. 2010, 21, 279–280. [Google Scholar]
- Pan, F. Syndrome Differentiation and Classification Treatment of Functional Dyspepsia. Mod. J. Integr. Tradit. Chin. West. Med. 2010, 19, 3760–3761. [Google Scholar]
- Li, C.Y.; Wu, H.Z.; Ou, H.J.; Qiu, Q. Clinical Observation of Elderly Patient’s Functional Dyspepsia Treated with Dialectic. Liaoning J. Tradit. Chin. Med. 2010, 37, 2413–2414. [Google Scholar]
- Su, G. Observation on the Efficacy of Syndrome Differentiation Treatment of 40 Cases of Functional Dyspepsia. Nei Mongol J. Tradit. Chin. Med. 2010, 29, 11–12. [Google Scholar]
- Zhang, F. Analyzing TCM Syndromes of Functional Dyspepsia and the Relationship between Various Involving Factors. Master’s Thesis, Chengdu University of Traditional Chinese Medicine, Chengdu, China, 2010. [Google Scholar]
- Guo, X. Distribution Rule of Syndrome Differentiation in Traditional Chinese Medicine in Functional Dyspepsia. Master’s Thesis, Guangzhou University of Chinese Medicine, Guangzhou, China, 2010. [Google Scholar]
- Zeng, C. Thoughts on TCM Syndrome Differentiation and Treatment of Functional Dyspepsia. Chin. J. Ethnomed. Ethnopharm. 2010, 19, 122–123. [Google Scholar]
- Wei, W.; Shi, H.X.; Fan, L.N. The relation between functional dyspepsia’s Rome Ⅲ criteria and traditional Chinese medicine syndrome. Glob. Tradit. Chin. Med. 2009, 2, 253–258. [Google Scholar]
- Zhang, B. Efficacy Observation of TCM Syndrome Differentiation Treatment of 54 Cases of Spleen and Stomach Qi Deficiency Type Functional Dyspepsia. Heilongjiang J. Tradit. Chin. Med. 2009, 38, 10–12. [Google Scholar]
- Zheng, Z. Summary of Experience in TCM Syndrome Differentiation Treatment of Functional Dyspepsia. Chin. J. Ethnomed. Ethnopharm. 2009, 18, 74–75. [Google Scholar]
- Cai, F. Efficacy Observation of TCM Syndrome Differentiation Treatment of 120 Cases of Spleen and Stomach Qi Deficiency Type Functional Dyspepsia. Chin. J. Mod. Drug. Appl. 2009, 3, 115–116. [Google Scholar]
- Xue, L.; Zhang, H. Syndrome Differentiation and Classification Treatment of 60 Cases of Functional Dyspepsia. J. Liaoning Univ. Tradit. Chin. Med. 2008, 2, 99–100. [Google Scholar]
- Guan, S. Analysis of Syndrome Differentiation and Treatment of Functional Dyspepsia. J. Med. Forum 2008, 1, 71–72. [Google Scholar]
- Li, Y.; Wei, Y. TCM Syndrome Differentiation Treatment of Functional Dyspepsia. Chin. Med. Mod. Dist. Educ. China 2008, 1, 66. [Google Scholar]
- Liu, S. Syndrome Differentiation and Treatment of Functional Dyspepsia. Public Med. Forum Mag. 2008, 14, 439–440. [Google Scholar]
- Zhao, L. TCM Syndrome Differentiation Treatment of Functional Dyspepsia. Guangming J. Chin. Med. 2007, 12, 20–21. [Google Scholar]
- Zhang, S. Syndrome Differentiation and Classification Treatment of 32 Cases of Refractory Functional Dyspepsia. J. Pract. Med. 2007, 12, 1936. [Google Scholar]
- Xi, D. Clinical Observation of 52 Cases of Functional Dyspepsia Treated by Syndrome Differentiation. Forum Tradit. Chin. Med. 2007, 5, 22–23. [Google Scholar]
- Zhao, X. Syndrome Differentiation and Classification Treatment of 40 Cases of Functional Dyspepsia. Shaanxi J. Tradit. Chin. Med. 2006, 9, 1051–1052. [Google Scholar]
- Li, G. Syndrome Differentiation and Treatment of 76 Cases of Functional Dyspepsia. Tradit. Chin. Med. Res. 2006, 6, 40–41. [Google Scholar]
- Fan, H. Summary of 45 Cases of Functional Dyspepsia Treated by Syndrome Differentiation and Classification. J. Sichuan Tradit. Chin. Med. 2006, 3, 52–53. [Google Scholar]
- Wang, Y. Syndrome Differentiation and Classification Treatment of 86 Cases of Functional Dyspepsia. J. Sichuan Tradit. Chin. Med. 2006, 6, 49–50. [Google Scholar]
- Liu, S. TCM Syndrome Differentiation and Treatment of Functional Dyspepsia. J. Pract. Med. Tech. 2006, 23, 4241–4242. [Google Scholar]
- Gu, C.; Zhang, L.; Li, W. Clinical Research on Syndrome Differentiation and Classification Treatment of Functional Dyspepsia. Chin. Arch. Tradit. Chin. Med. 2006, 5, 959–960. [Google Scholar]
- Ye, P. Observation on the Efficacy of Syndrome Differentiation Treatment of Functional Dyspepsia. Chin. J. Rural Med. Pharm. 2006, 8, 53. [Google Scholar]
- Wang, J.; Zhou, W. Analysis of 51 Cases of Functional Dyspepsia Treated by Syndrome Differentiation. J. Pract. Tradit. Chin. Intern. Med. 2005, 3, 226–267. [Google Scholar]
- An, S. Analysis of 80 Cases of Functional Dyspepsia Treated by Syndrome Differentiation. J. Pract. Tradit. Chin. Intern. Med. 2005, 3, 234. [Google Scholar]



| Pattern Identification Item | Average Score (Mean ± SD) | Rank |
|---|---|---|
| LSDH | 4.21 ± 1.25 | 1 |
| FRDO | 4.00 ± 1.24 | 2 |
| SSDC | 3.86 ± 1.41 | 3 |
| SDQS | 3.50 ± 1.29 | 4 |
| TACH | 3.14 ± 1.03 | 5 |
| DHSS | 3.07 ± 1.21 | 6 |
| No. | Symptoms | Mean ± SD | Weighted Value |
|---|---|---|---|
| SSDC | |||
| Q1 | My upper abdomen feels tight and occasionally mildly painful. | 4.00 ± 1.00 | 8.27 |
| Q10 | I have no appetite, but my mouth is not dry. | 3.36 ± 0.81 | 8.59 |
| Q17 | I eat small amounts and feel full easily. | 4.09 ± 0.70 | 12.07 |
| Q25 | My complexion is pale and sometimes turns yellow. | 4.00 ± 0.89 | 9.24 |
| Q26 | I feel mentally exhausted and my whole body is weak. | 4.27 ± 0.90 | 9.76 |
| Q30 | My limbs feel weak, and my hands and feet are cold. | 4.45 ± 0.69 | 13.39 |
| Q31 | My pain decreases when my abdomen is warmed or massaged. | 3.82 ± 0.87 | 9.03 |
| Q35 | My stools are loose. | 3.36 ± 1.03 | 6.77 |
| T1 | Pale tongue with white fur, with teeth marks on the margins. | 3.82 ± 0.60 | 13.09 |
| P1 | Fine-weak or slowdown pulse. | 3.73 ± 0.79 | 9.80 |
| SDQS | |||
| Q3 | My upper abdomen feels bloated and occasionally painful. | 4.00 ± 1.00 | 9.10 |
| Q8 | My chest feels tight. | 2.82 ± 0.60 | 10.63 |
| Q19 | I have no appetite and feel tightness after eating. | 4.09 ± 0.70 | 13.28 |
| Q21 | I belch and hiccup frequently. | 3.09 ± 0.70 | 10.04 |
| Q24 | My face lacks luster or color. | 3.27 ± 0.65 | 11.51 |
| Q26 | I feel mentally exhausted and my whole body feels weak. | 3.55 ± 0.93 | 8.63 |
| Q28 | My chest feels hot and tight, and I get angry easily. | 3.18 ± 0.98 | 7.37 |
| Q35 | My stools are loose. | 3.09 ± 0.70 | 10.04 |
| T2 | Pale tongue with thin white fur. | 3.45 ± 0.69 | 11.43 |
| P2 | Fine and string-like pulse. | 2.91 ± 0.83 | 7.96 |
| LSDH | |||
| Q3 | My upper abdomen feels bloated and occasionally painful. | 3.91 ± 0.83 | 7.93 |
| Q5 | My chest and upper abdomen feel sore or painful, and I feel hungry, making me uncomfortable. | 3.55 ± 0.82 | 7.29 |
| Q6 | Acid reflux makes my stomach feel sore. | 4.27 ± 0.90 | 7.97 |
| Q8 | My chest feels tight. | 3.82 ± 0.60 | 10.68 |
| Q9 | My flank feels bloated or painful. | 4.27 ± 0.65 | 11.15 |
| Q11 | My mouth is dry or bitter. | 3.36 ± 0.92 | 6.14 |
| Q13 | I sometimes feel nauseous or vomit. | 3.00 ± 0.63 | 8.00 |
| Q18 | I do not feel like eating. | 3.09 ± 0.70 | 7.44 |
| Q21 | I frequently belch and hiccup. | 3.45 ± 0.82 | 7.11 |
| Q23 | I sigh often. | 3.18 ± 0.75 | 7.15 |
| Q28 | My chest feels hot and tight, and I get angry easily. | 4.18 ± 0.98 | 7.19 |
| T4 | Pale red tongue with thin white fur. | 2.82 ± 0.98 | 4.84 |
| P3 | String-like pulse | 3.45 ± 0.82 | 7.11 |
| TACH | |||
| Q2 | My upper abdomen feels tight, and occasionally severely painful. | 3.55 ± 1.21 | 5.79 |
| Q5 | My chest and upper abdomen feel sore or painful or hungry, making me uncomfortable. | 3.82 ± 0.87 | 8.66 |
| Q6 | Acid reflux makes my stomach feel sore. | 3.09 ± 0.94 | 6.49 |
| Q7 | My stomach feels bloated and gurgles. | 3.64 ± 0.67 | 10.70 |
| Q11 | My mouth is dry or tastes bitter. | 3.55 ± 0.69 | 10.23 |
| Q16 | Acid frequently regurgitates into my mouth. | 3.18 ± 0.87 | 7.22 |
| Q18 | I do not feel like eating. | 3.09 ± 0.54 | 11.36 |
| Q27 | I feel heat and tightness in my chest, occasionally accompanied by a feverish sensation throughout my body. | 3.82 ± 0.75 | 10.09 |
| Q32 | Although I drink cold water because of tightness in my upper abdomen, I dislike cold things and my limbs feel cold. | 3.55 ± 0.93 | 7.53 |
| Q35 | My stools are loose. | 3.73 ± 0.90 | 8.17 |
| T3 | Pale tongue with yellow fur. | 2.91 ± 0.70 | 8.23 |
| P3 | String-like pulse. | 2.91 ± 1.04 | 5.52 |
| DHSS | |||
| Q2 | My upper abdomen feels tight and occasionally severely painful. | 3.73 ± 0.65 | 10.72 |
| Q5 | My chest and upper abdomen feel sore or painful or hungry, making me uncomfortable. | 3.18 ± 0.75 | 7.89 |
| Q6 | Acid reflux makes my stomach feel sore. | 3.64 ± 1.03 | 6.59 |
| Q12 | My mouth is dry or bitter, but I do not feel like drinking water. | 3.64 ± 0.81 | 8.36 |
| Q13 | I sometimes feel nauseous or vomit. | 3.27 ± 1.01 | 6.03 |
| Q20 | I belch frequently. | 3.18 ± 0.60 | 9.82 |
| Q29 | My body feels heavy and lethargic. | 3.64 ± 1.12 | 6.04 |
| Q33 | My body feels hot. | 3.00 ± 0.77 | 7.21 |
| Q34 | My urine is dark and scanty. | 3.55 ± 0.69 | 9.59 |
| Q37 | My stools are hard or loose, and I do not feel relieved after a bowel movement. | 3.36 ± 0.50 | 12.40 |
| T5 | Red tongue with yellow-slimy fur. | 3.91 ± 0.83 | 8.75 |
| P4 | Slippery pulse. | 3.64 ± 1.03 | 6.59 |
| FRDO | |||
| Q4 | My upper abdomen feels heavy and painful, similar to indigestion, and the pain worsens when my abdomen is pressed. | 4.73 ± 0.47 | 25.19 |
| Q14 | I sometimes feel nauseous or vomit, and my symptoms reduce after vomiting. | 3.91 ± 0.83 | 11.71 |
| Q15 | I have vomited undigested food. | 3.09 ± 1.04 | 7.37 |
| Q18 | I do not feel like eating. | 4.09 ± 0.94 | 10.79 |
| Q22 | Belching produces a foul smell and acid regurgitation. | 4.00 ± 1.00 | 9.96 |
| Q36 | I have difficulty with bowel movements or experience diarrhea. | 3.27 ± 1.01 | 8.07 |
| Q38 | My flatulence smells bad. | 3.00 ± 1.00 | 7.47 |
| T6 | Thick slimy fur. | 3.73 ± 1.01 | 9.19 |
| P5 | Slippery and replete pulse. | 3.50 ± 0.85 | 10.25 |
| Characteristics | Total (n = 95) |
|---|---|
| Sex (%) | |
| Male | 25 (26.32) |
| Female | 70 (73.68) |
| Age (years) | 47.47 ± 13.57 |
| BMI (kg/m2) | 22.19 ± 3.21 |
| FD subtypes (%) | |
| PDS | 35 (36.84) |
| EPS | 29 (30.53) |
| Overlapping | 31 (32.63) |
| Items | Mean ± SD | Symptomatic (n) | Asymptomatic (n) | Item-Total Correlation | Cronbach’s α When the Item Was Deleted |
|---|---|---|---|---|---|
| Q1 | 2.13 ± 0.97 | 86 | 9 | 0.607 | 0.939 |
| Q2 | 1.43 ± 0.88 | 77 | 18 | 0.617 | 0.939 |
| Q3 | 1.74 ± 0.98 | 82 | 13 | 0.655 | 0.939 |
| Q4 | 1.75 ± 1.02 | 83 | 12 | 0.617 | 0.939 |
| Q5 | 2.06 ± 0.97 | 87 | 8 | 0.571 | 0.939 |
| Q6 | 1.56 ± 0.95 | 79 | 16 | 0.471 | 0.940 |
| Q7 | 1.99 ± 1.07 | 84 | 11 | 0.671 | 0.939 |
| Q8 | 1.92 ± 0.98 | 85 | 10 | 0.614 | 0.939 |
| Q9 | 1.14 ± 0.87 | 71 | 24 | 0.562 | 0.940 |
| Q10 | 1.46 ± 0.98 | 81 | 14 | 0.462 | 0.940 |
| Q11 | 1.52 ± 0.98 | 76 | 19 | 0.459 | 0.940 |
| Q12 | 1.20 ± 1.04 | 66 | 29 | 0.354 | 0.941 |
| Q13 | 1.13 ± 0.93 | 65 | 30 | 0.516 | 0.940 |
| Q14 | 1.17 ± 1.09 | 61 | 34 | 0.429 | 0.941 |
| Q15 | 1.21 ± 0.93 | 71 | 24 | 0.498 | 0.940 |
| Q16 | 1.41 ± 0.96 | 77 | 18 | 0.602 | 0.939 |
| Q17 | 2.28 ± 1.06 | 93 | 2 | 0.461 | 0.940 |
| Q18 | 1.23 ± 1.03 | 68 | 27 | 0.476 | 0.940 |
| Q19 | 1.52 ± 1.13 | 76 | 19 | 0.616 | 0.939 |
| Q20 | 2.02 ± 1.26 | 83 | 12 | 0.544 | 0.940 |
| Q21 | 1.33 ± 0.94 | 75 | 20 | 0.508 | 0.940 |
| Q22 | 1.38 ± 1.10 | 68 | 27 | 0.651 | 0.939 |
| Q23 | 1.87 ± 1.15 | 81 | 14 | 0.491 | 0.940 |
| Q24 | 1.73 ± 1.22 | 80 | 15 | 0.562 | 0.940 |
| Q25 | 1.37 ± 1.18 | 70 | 25 | 0.639 | 0.939 |
| Q26 | 2.27 ± 1.09 | 91 | 4 | 0.638 | 0.939 |
| Q27 | 1.69 ± 1.14 | 80 | 15 | 0.560 | 0.940 |
| Q28 | 1.68 ± 1.07 | 81 | 14 | 0.678 | 0.939 |
| Q29 | 2.42 ± 1.02 | 92 | 3 | 0.599 | 0.939 |
| Q30 | 2.26 ± 1.21 | 87 | 8 | 0.498 | 0.940 |
| Q31 | 2.13 ± 1.01 | 88 | 7 | 0.428 | 0.941 |
| Q32 | 1.71 ± 1.19 | 79 | 16 | 0.438 | 0.941 |
| Q33 | 1.33 ± 1.12 | 68 | 27 | 0.241 | 0.942 |
| Q34 | 1.61 ± 1.02 | 80 | 15 | 0.374 | 0.941 |
| Q35 | 1.52 ± 1.13 | 76 | 19 | 0.461 | 0.940 |
| Q36 | 1.46 ± 1.07 | 77 | 18 | 0.490 | 0.940 |
| Q37 | 1.65 ± 1.20 | 77 | 18 | 0.562 | 0.940 |
| Q38 | 1.75 ± 1.16 | 81 | 14 | 0.570 | 0.939 |
| Pattern Identification | Number of Items | Cronbach’s α |
|---|---|---|
| SSDC | 8 | 0.794 |
| SDQS | 8 | 0.811 |
| LSDH | 11 | 0.841 |
| TACH | 9 | 0.817 |
| DHSS | 9 | 0.759 |
| FRDO | 7 | 0.737 |
| Pattern Identification | Frequency (%) | FD Subtypes | Total | Percentage (%) | Fisher’s Exact Test (p) | ||
|---|---|---|---|---|---|---|---|
| PDS | EPS | Overlapping | |||||
| SSDC | Frequency % Within | 19 (38.8) | 13 (26.5) | 17 (34.7) | 49 (100.0) | 51.6 | 0.289 |
| SDQS | Frequency % Within | 5 (55.6) | 3 (33.3) | 1 (11.1) | 9 (100.0) | 9.5 | |
| LSDH | Frequency % Within | 2 (28.6) | 4 (57.1) | 1 (14.3) | 7 (100.0) | 7.4 | |
| TACH | Frequency % Within | 3 (23.1) | 5 (38.5) | 5 (38.5) | 13 (100.0) | 13.7 | |
| DHSS | Frequency % Within | 3 (21.4) | 4 (28.6) | 7 (50.0) | 14 (100.0) | 14.7 | |
| FRDO | Frequency % Within | 3 (100.0) | 0 (0.0) | 0 (0.0) | 3 (100.0) | 3.2 | |
| Total | Frequency % Within | 35 (36.8) | 29 (30.5) | 31 (32.6) | 95 (100.0) | 100.0 | |
| Items | Mean Rank | χ2 | p | Bonferroni | |||||
|---|---|---|---|---|---|---|---|---|---|
| SSDC (n = 49) | SDQS (n = 9) | LSDH (n = 7) | TACH (n = 13) | DHSS (n = 14) | FRDO (n = 3) | ||||
| Q1 | 51.06 | 56.44 | 31.43 | 37.08 | 52.00 | 40.00 | 7.683 | 0.175 | NA |
| Q2 | 47.40 | 53.33 | 44.86 | 42.19 | 52.93 | 51.33 | 1.750 | 0.883 | NA |
| Q3 | 49.13 | 57.67 | 34.14 | 38.77 | 49.79 | 64.50 | 6.147 | 0.292 | NA |
| Q4 | 47.39 | 54.33 | 35.43 | 44.96 | 49.75 | 73.33 | 5.093 | 0.405 | NA |
| Q5 | 44.79 | 55.17 | 52.93 | 49.04 | 52.18 | 43.50 | 2.211 | 0.819 | NA |
| Q6 | 42.17 | 49.78 | 48.21 | 58.77 | 56.64 | 50.33 | 6.204 | 0.287 | NA |
| Q7 | 43.19 | 63.89 | 32.43 | 47.54 | 58.86 | 66.50 | 11.174 | 0.048 * | NA |
| Q8 | 44.16 | 68.22 | 33.79 | 44.88 | 60.46 | 38.50 | 12.508 | 0.028 * | NA |
| Q9 | 41.99 | 62.39 | 44.64 | 47.12 | 60.71 | 55.33 | 9.079 | 0.106 | NA |
| Q10 | 49.19 | 51.33 | 35.14 | 41.54 | 49.93 | 67.50 | 4.482 | 0.482 | NA |
| Q11 | 42.00 | 61.33 | 36.43 | 65.04 | 47.50 | 61.50 | 12.585 | 0.028 * | NA |
| Q12 | 45.49 | 52.89 | 36.00 | 49.77 | 58.86 | 44.00 | 4.672 | 0.457 | NA |
| Q13 | 43.43 | 54.61 | 51.71 | 39.46 | 58.82 | 80.67 | 10.621 | 0.059 | NA |
| Q14 | 42.56 | 63.61 | 47.86 | 42.58 | 55.82 | 77.33 | 10.711 | 0.057 | NA |
| Q15 | 42.28 | 60.28 | 45.29 | 48.77 | 52.82 | 85.17 | 10.853 | 0.054 | NA |
| Q16 | 42.96 | 59.39 | 40.00 | 51.62 | 54.68 | 68.00 | 7.063 | 0.216 | NA |
| Q17 | 56.58 | 49.39 | 29.29 | 32.92 | 41.89 | 41.17 | 13.752 | 0.017 * | NA |
| Q18 | 50.35 | 54.61 | 37.36 | 38.73 | 50.54 | 43.00 | 3.911 | 0.562 | NA |
| Q19 | 46.66 | 65.89 | 39.07 | 41.73 | 52.14 | 44.83 | 6.094 | 0.297 | NA |
| Q20 | 44.17 | 61.89 | 35.86 | 36.35 | 64.82 | 69.17 | 14.596 | 0.012 * | NA |
| Q21 | 39.86 | 77.56 | 47.79 | 39.38 | 59.46 | 76.67 | 23.666 | 0.000 *** | a < b ** d < b * |
| Q22 | 41.33 | 68.89 | 42.86 | 44.38 | 58.64 | 72.33 | 13.942 | 0.016 * | NA |
| Q23 | 48.39 | 60.72 | 50.79 | 30.46 | 56.54 | 33.17 | 10.112 | 0.072 | NA |
| Q24 | 52.47 | 64.78 | 34.14 | 34.54 | 42.71 | 40.00 | 10.933 | 0.053 | NA |
| Q25 | 53.77 | 59.00 | 33.50 | 34.77 | 40.64 | 46.33 | 10.265 | 0.068 | NA |
| Q26 | 53.68 | 57.28 | 27.79 | 73.44 | 45.14 | 50.17 | 11.380 | 0.044 * | NA |
| Q27 | 47.12 | 73.44 | 20.29 | 53.46 | 43.32 | 48.83 | 16.804 | 0.005 ** | c < b ** |
| Q28 | 43.95 | 65.78 | 42.86 | 44.54 | 52.61 | 66.33 | 7.522 | 0.185 | NA |
| Q29 | 49.96 | 54.22 | 28.29 | 36.77 | 55.86 | 55.33 | 8.515 | 0.130 | NA |
| Q30 | 58.40 | 48.83 | 22.36 | 23.58 | 44.93 | 55.67 | 24.966 | 0.000 *** | c < a * d < a *** |
| Q31 | 51.83 | 43.06 | 34.43 | 44.46 | 46.68 | 53.50 | 3.689 | 0.595 | NA |
| Q34 | 47.36 | 53.22 | 43.64 | 36.27 | 61.04 | 43.00 | 6.671 | 0.246 | NA |
| Q35 | 47.37 | 68.50 | 39.07 | 48.65 | 38.07 | 61.17 | 8.865 | 0.115 | NA |
| Q36 | 47.57 | 54.39 | 36.86 | 41.38 | 50.54 | 78.67 | 6.754 | 0.240 | NA |
| Q37 | 45.74 | 58.11 | 29.57 | 32.19 | 67.79 | 73.67 | 19.970 | 0.001 ** | c < e * d < e ** |
| Q38 | 44.55 | 63.28 | 34.64 | 39.65 | 63.21 | 54.83 | 11.510 | 0.042 * | NA |
| Items | TDS | SDS | VAS | FD-QoL | ||||
|---|---|---|---|---|---|---|---|---|
| Total | Epigastric Pain | Epigastric Burning | Postprandial Fullness | Early Satiety | ||||
| SSDC | 0.518 *** | 0.652 *** | 0.544 *** | 0.250 | 0.539 *** | 0.506 *** | 0.537 *** | 0.559 *** |
| SDQS | 0.587 *** | 0.672 *** | 0.504 *** | 0.256 | 0.591 *** | 0.546 *** | 0.516 *** | 0.580 *** |
| LSDH | 0.521 *** | 0.589 *** | 0.441 *** | 0.454 *** | 0.418 *** | 0.383 ** | 0.337 ** | 0.405 *** |
| TACH | 0.561 *** | 0.606 *** | 0.471 *** | 0.439 *** | 0.442 *** | 0.391 *** | 0.385 *** | 0.426 *** |
| DHSS | 0.551 *** | 0.559 *** | 0.427 *** | 0.328 ** | 0.435 *** | 0.404 *** | 0.371 ** | 0.456 *** |
| FRDO | 0.544 *** | 0.599 *** | 0.451 *** | 0.391 *** | 0.474 *** | 0.403 *** | 0.452 *** | 0.462 *** |
Disclaimer/Publisher’s Note: The statements, opinions and data contained in all publications are solely those of the individual author(s) and contributor(s) and not of MDPI and/or the editor(s). MDPI and/or the editor(s) disclaim responsibility for any injury to people or property resulting from any ideas, methods, instructions or products referred to in the content. |
© 2024 by the authors. Licensee MDPI, Basel, Switzerland. This article is an open access article distributed under the terms and conditions of the Creative Commons Attribution (CC BY) license (https://creativecommons.org/licenses/by/4.0/).
Share and Cite
Ha, N.-Y.; Ko, S.-J.; Park, J.-W.; Kim, J. Development of a Standard Tool of Pattern Identification for Functional Dyspepsia: A Cross-Sectional Study from Korea. Healthcare 2024, 12, 2331. https://doi.org/10.3390/healthcare12232331
Ha N-Y, Ko S-J, Park J-W, Kim J. Development of a Standard Tool of Pattern Identification for Functional Dyspepsia: A Cross-Sectional Study from Korea. Healthcare. 2024; 12(23):2331. https://doi.org/10.3390/healthcare12232331
Chicago/Turabian StyleHa, Na-Yeon, Seok-Jae Ko, Jae-Woo Park, and Jinsung Kim. 2024. "Development of a Standard Tool of Pattern Identification for Functional Dyspepsia: A Cross-Sectional Study from Korea" Healthcare 12, no. 23: 2331. https://doi.org/10.3390/healthcare12232331
APA StyleHa, N.-Y., Ko, S.-J., Park, J.-W., & Kim, J. (2024). Development of a Standard Tool of Pattern Identification for Functional Dyspepsia: A Cross-Sectional Study from Korea. Healthcare, 12(23), 2331. https://doi.org/10.3390/healthcare12232331

