Understanding Non-Pharmacological Treatments for Fibromyalgia Functional and Well-Being Status: The Role of Literacy
Abstract
1. Introduction
2. Materials and Methods
2.1. Design Overview
2.2. Study Group
- -
- Group 1: Initially, 35 FM patients with a secondary education level or less showed interest in participating in the interventional program. Ultimately, 32 patients were selected for the database (meeting the criteria for full participation in all evaluations and attending at least 70% of the program sessions). This translates to a participation rate of 91.4% of the initially interested patients.
- -
- Group 2: All 35 FM patients with college-level education who were initially selected accepted participation in the program. However, only 32 participants were included in the database (meeting the criteria for full participation in all evaluations), resulting in a 91.4% participation rate among the initially interested patients.
- -
- Group 3: This group initially included 35 patients, but only 30 of them completed the program and were considered for analysis, resulting in an 85.7% completion rate.
- -
- Group 4: Of the 35 patients who initially accepted participation, 34 were included in the database. This translates to a 97.1% participation rate among the initially interested patients.
2.3. Study Treatment
2.4. Ethical Considerations
2.5. Collecting Information Methods
- Observed functional limitation: The reliability of hand grip strength measurements in FM patients has been demonstrated to be excellent [39]. To assess maximal voluntary hand grip force, we used an electronic EH101 hand dynamometer (precision: 0.1 kg, tolerance: 0.5 kg). Prior to data collection, the physician provided detailed instructions. Following recommendations, the handle diameter was adjusted to 19.7% of the participant’s hand length. Participants were instructed with the verbal command: “Squeeze! Harder and harder! Relax!” [40].
- -
- 4 for values between 10 and 20 kg,
- -
- 3 for values between 21 and 30 kg,
- -
- 2 for values between 31 and 40 kg,
- -
- 1 for values above 41 kg.
- Quality of life: The Short-Form Health Survey (SF-12) is a multipurpose questionnaire composed of 12 questions derived from the SF-36 Health Survey [42]. It is well established that there is an inverse correlation between the functional status of FM patients and their SF-12 scores, covering both physical and mental components [43]. The SF-12 assesses eight dimensions: physical function (2 items), social function (1 item), physical role (2 items), emotional role (2 items), mental health (2 items), vitality (1 item), bodily pain (1 item), and general health (1 item). Responses are rated on Likert scales measuring either intensity or frequency. The number of response options varies from 3 to 6, depending on the item: ranging from 1 (excellent) to 5 (poor), from 1 (yes, limited a lot) to 3 (no, not limited at all), or from 1 (all the time) to 6 (none of the time). For items 4 to 7, the answers are simply “yes” (scored 1) or “no” (scored 2).
- Medication intake: Regarding the medication intake for pain control, we evaluated the following aspects: name, usage duration, dosage, and frequency. For the statistical analysis, we used the total number of pills ingested by the patient as number per week.
2.6. Statistical Analysis
3. Results
3.1. Evolution over Time and Inter-Group Differences of the Study Parameters
3.1.1. Observed Functional Limitations
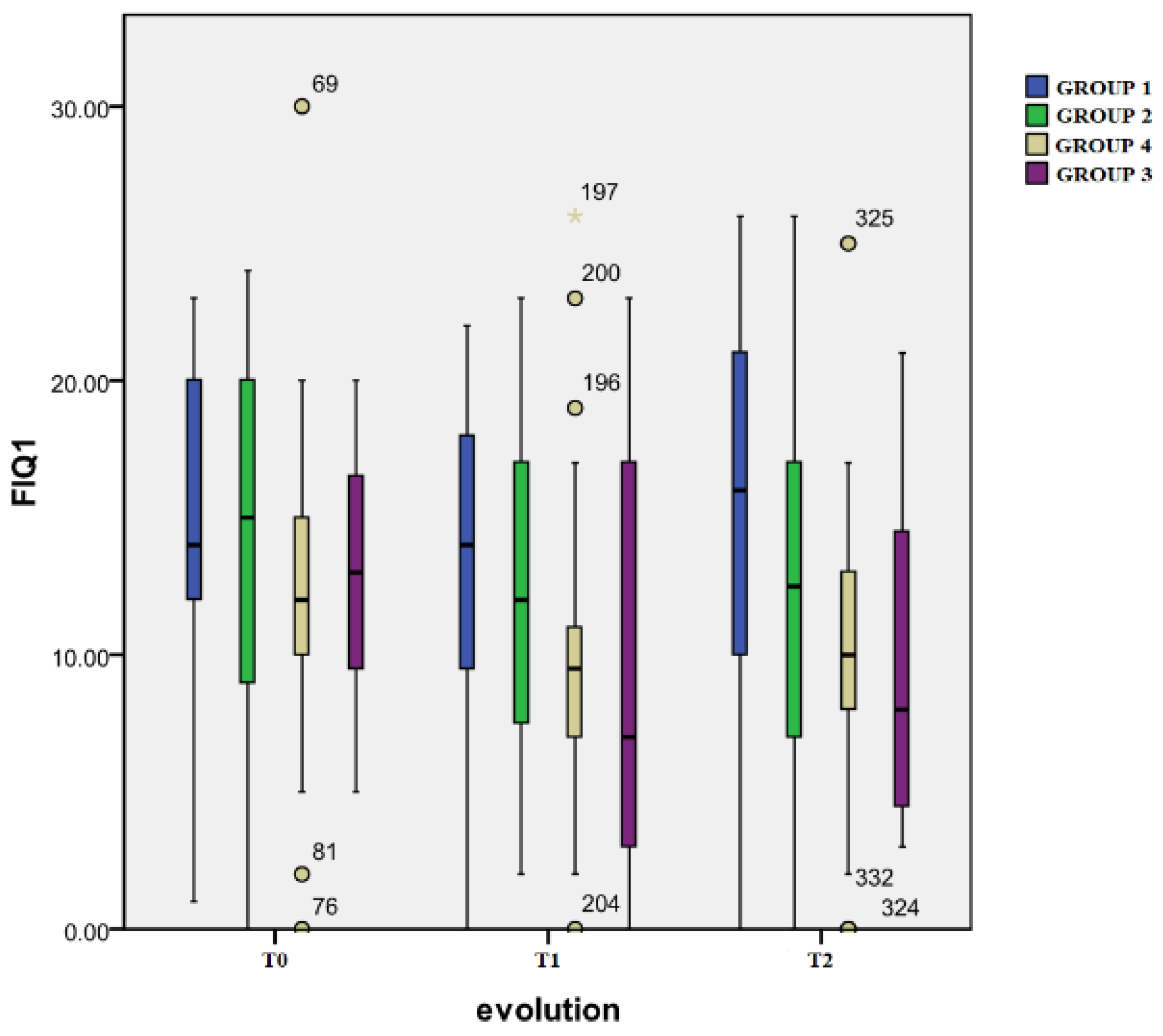
3.1.2. Perceived Impairment (FIQ1 Scale)
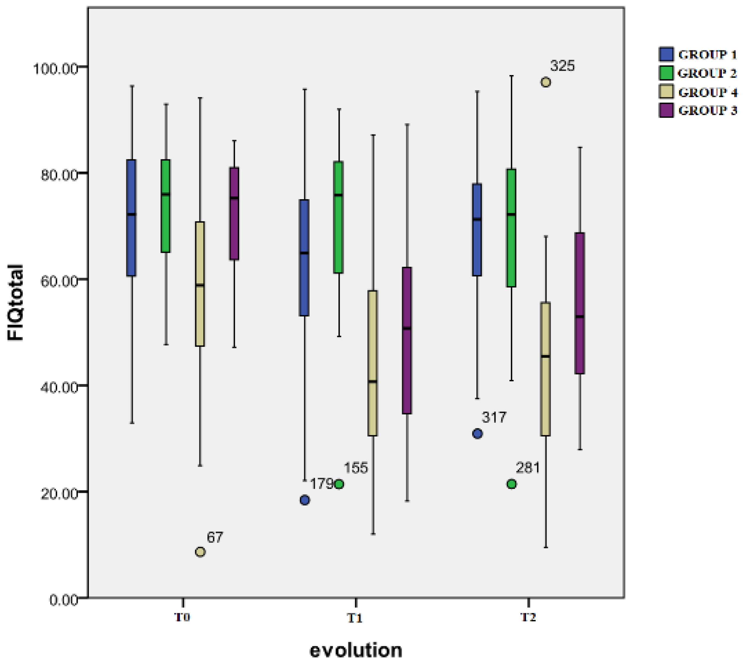
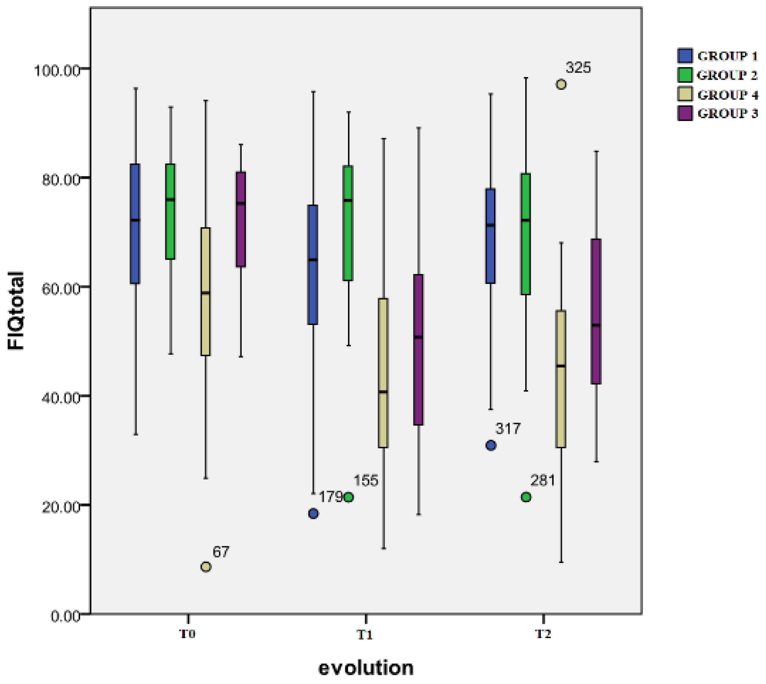
3.1.3. Disease Impact on the Patient’s Life (FIQ Total)
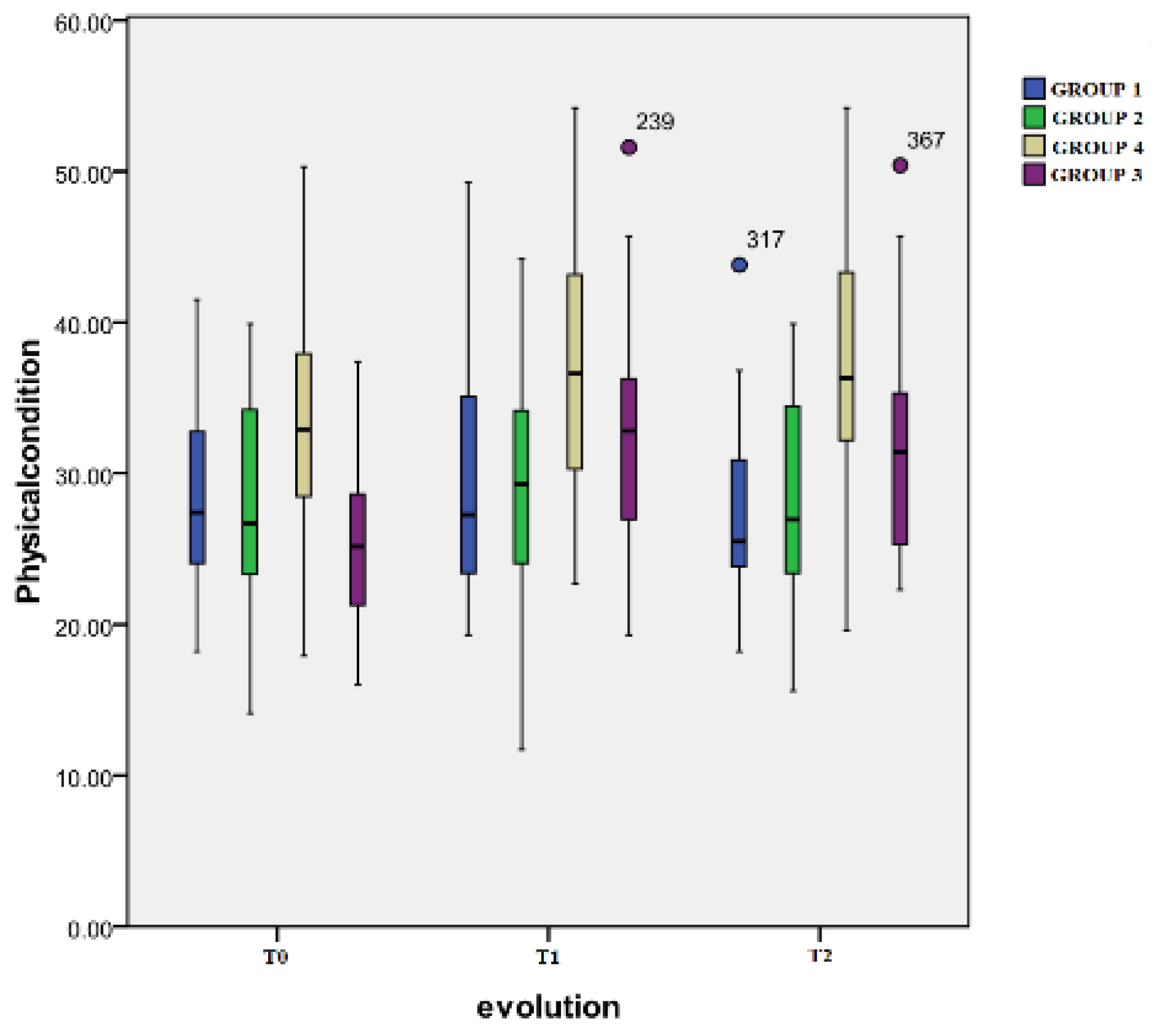
3.1.4. Quality of Life (SF-12)
3.1.5. The Mental Health of the Short Form-12 Health Survey
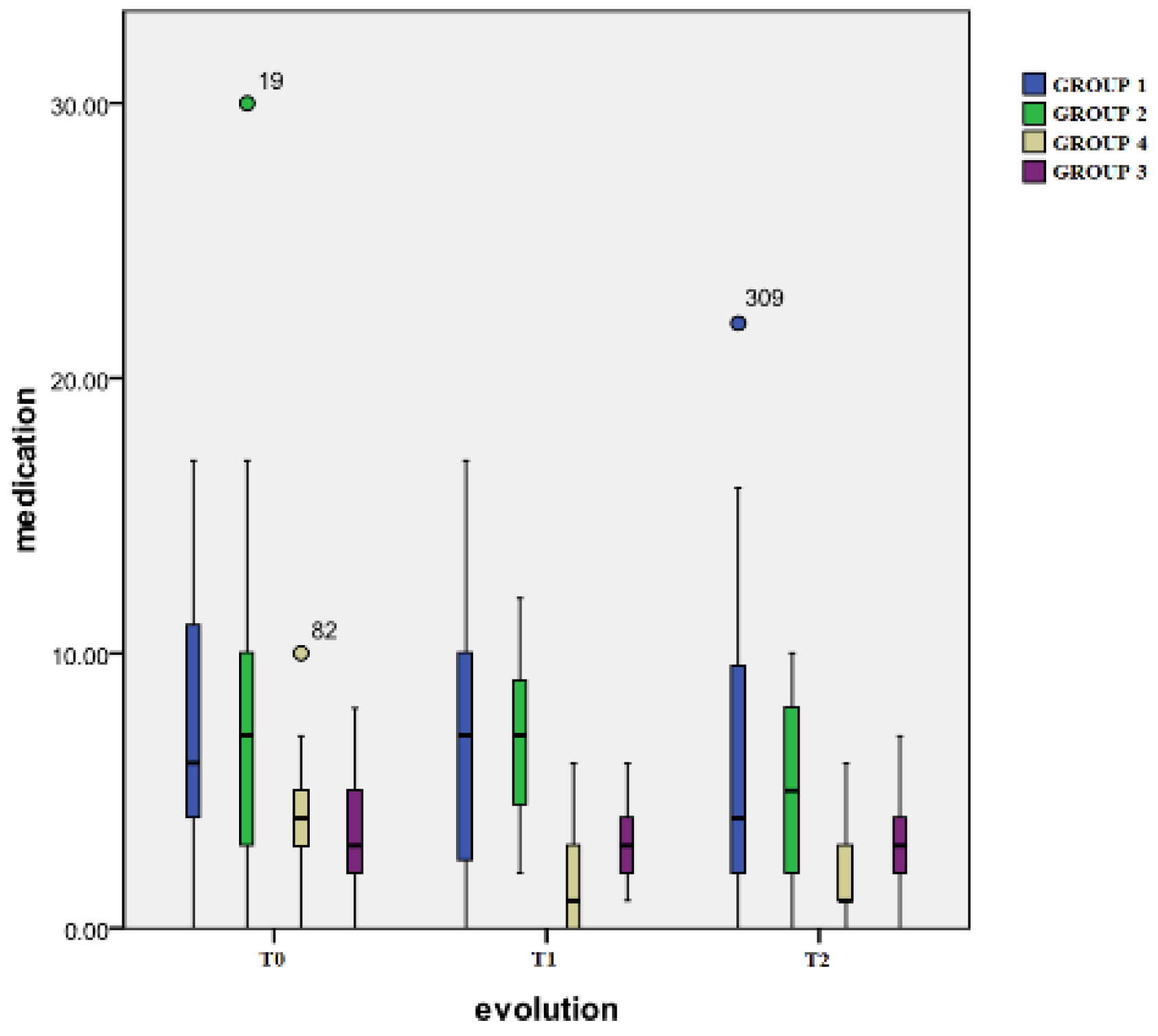
3.1.6. Medication Intake
3.2. Parameter Correlations
3.2.1. Functional Impairment
3.2.2. Disease Impact
4. Discussion
5. Conclusions
Author Contributions
Funding
Institutional Review Board Statement
Informed Consent Statement
Data Availability Statement
Conflicts of Interest
References
- Ruschak, I.; Montesó-Curto, P.; Rosselló, L.; Aguilar, M.C.; Sánchez-Montesó, L.; Toussaint, L. Fibromyalgia Syndrome Pain in Men and Women: A Scoping Review. Healthcare 2023, 11, 223. [Google Scholar] [CrossRef] [PubMed]
- Queiroz, L.P. Worldwide epidemiology of fibromyalgia. Curr. Pain Headache Rep. 2013, 17, 356. [Google Scholar] [CrossRef] [PubMed]
- Giorgi, V.; Sirotti, S.; Romano, M.E.; Marotto, D.; Ablin, J.N.; Salaffi, F.; Sarzi-Puttini, P. Fibromyalgia: One year in review 2022. Clin. Exp. Rheumatol. 2022, 40, 1065–1072. [Google Scholar] [CrossRef] [PubMed]
- Ursini, F.; Ciaffi, J.; Mancarella, L.; Lisi, L.; Brusi, V.; Cavallari, C.; D’onghia, M.; Mari, A.; Borlandelli, E.; Cordella, J.F.; et al. Fibromyalgia: A new facet of the post-COVID-19 syndrome spectrum? Results from a web-based survey. RMD Open 2021, 7, e001735. [Google Scholar] [CrossRef]
- Bennett, R.M.; Jones, J.; Turk, D.C.; Russell, I.J.; Matallana, L. An internet survey of 2596 people with fibromyalgia. BMC Musculoskelet. Disord. 2007, 9, 27. [Google Scholar] [CrossRef]
- Jones, G.T.; Atzeni, F.; Beasley, M.; Flüß, E.; Sarzi-Puttini, P.; Macfarlane, G.J. The prevalence of fibromyalgia in the general population: A comparison of the American College of Rheumatology 1990, 2010, and modified 2010 classification criteria. Arthritis Rheumatol. 2015, 67, 568–575. [Google Scholar] [CrossRef]
- Üçeyler, N.; Sommer, C.; Walitt, B.; Häuser, W. Anticonvulsants for Fibromyalgia. Cochrane Database Syst. Rev. 2013, 10, CD010782. [Google Scholar] [CrossRef]
- Demori, I.; Giordano, G.; Mucci, V.; Losacco, S.; Marinelli, L.; Massobrio, P.; Blanchini, F.; Burlando, B. Thalamocortical bistable switch as a theoretical model of fibromyalgia pathogenesis inferred from a literature survey. J. Comput. Neurosci. 2022, 50, 471–484. [Google Scholar] [CrossRef] [PubMed]
- Demori, I.; Losacco, S.; Giordano, G.; Mucci, V.; Blanchini, F.; Burlando, B. Fibromyalgia pathogenesis explained by a neuroendocrine multistable model. PLoS ONE 2024, 19, e0303573. [Google Scholar] [CrossRef]
- Robinson, R.L.; Kroenke, K.; Williams, D.A.; Mease, P.; Chen, Y.; Faries, D.; Peng, X.; Hann, D.; Wohlreich, M.; McCarberg, B. Longitudinal Observation of Treatment Patterns and Outcomes for Patients with Fibromyalgia: 12-Month Findings from the REFLECTIONS Study. Pain Med. 2013, 14, 1400–1415. [Google Scholar] [CrossRef]
- Wolfe, F.; Clauw, D.J.; Fitzcharles, M.-A.; Goldenberg, D.L.; Katz, R.S.; Mease, P.; Russell, A.S.; Russell, I.J.; Winfield, J.B.; Yunus, M.B. The American College of Rheumatology Preliminary Diagnostic Criteria for Fibromyalgia and Measurement of Symptom Severity. Arthritis Care Res. 2010, 62, 600–610. [Google Scholar] [CrossRef] [PubMed]
- Häuser, W.; Urrútia, G.; Tort, S.; Üçeyler, N.; Walitt, B. Serotonin and Noradrenaline Reuptake Inhibitors (SNRIs) for Fibromyalgia Syndrome. Cochrane Database Syst. Rev. 2013. [Google Scholar] [CrossRef] [PubMed]
- Miró, E.; Lupiáñez, J.; Martínez, M.P.; Sánchez, A.I.; Díaz-Piedra, C.; Guzmán, M.A.; Buela-Casal, G. Cognitive-Behavioral Therapy for Insomnia Improves Attentional Function in Fibromyalgia Syndrome: A Pilot, Randomized Controlled Trial. J. Health Psychol. 2011, 16, 770–782. [Google Scholar] [CrossRef]
- Mease, P.J.; Russell, I.J.; Arnold, L.M.; Florian, H.; Young, J.P.; Martin, S.A.; Sharma, U.A. Randomized, Double-Blind, Placebo-Controlled, Phase III Trial of Pregabalin in the Treatment of Patients with Fibromyalgia. J. Rheumatol. 2008, 35, 502–514. [Google Scholar] [PubMed]
- Walitt, B.; Nahin, R.L.; Katz, R.S.; Bergman, M.J.; Wolfe, F. The Prevalence and Characteristics of Fibromyalgia in the 2012 National Health Interview Survey. PLoS ONE 2015, 10, e0138024. [Google Scholar] [CrossRef] [PubMed]
- Malin, K. Personality and Fibromyalgia Syndrome. Open Rheumatol. J. 2012, 6, 273–285. [Google Scholar] [CrossRef] [PubMed]
- Camerini, L.; Camerini, A.L.; Schulz, P.J. Do participation and personalization matter? A model-driven evaluation of an Internet-based patient education intervention for fibromyalgia patients. Patient Educ. Couns. 2013, 92, 229–234. [Google Scholar] [CrossRef]
- Kreps, G.L.; O’Hair, D.; Clowers, M. The Influences of Human Communication on Health Outcomes. Am. Behav. Sci. 1994, 38, 248–256. [Google Scholar] [CrossRef]
- Macfarlane, G.J.; Norrie, G.; Atherton, K.; Power, C.; Jones, G.T. The influence of socioeconomic status on the reporting of regional and widespread musculoskeletal pain: Results from the 1958 British Birth Cohort Study. Ann. Rheum. Dis. 2009, 68, 1591–1595. [Google Scholar] [CrossRef]
- Fitzcharles, M.A.; Rampakakis, E.; Ste-Marie, P.A.; Sampalis, J.S.; Shir, Y. The association of socioeconomic status and symptom severity in persons with fibromyalgia. J. Rheumatol. 2014, 41, 1398–1404. [Google Scholar] [CrossRef] [PubMed]
- Blotman, F.; Jaime, C.B. Fibromyalgia: Daily Aches and Pain; Edition Privat: Toulouse, France, 2007; pp. 174–200. [Google Scholar]
- Franks, H.M.; Cronan, T.A. Social support in women with fibromyalgia: Is quality more important than quantity? J. Community Psychol. 2004, 32, 425–438. [Google Scholar] [CrossRef]
- Cojocaru, C.M.; Popa, C.O.; Schenk, A.; Suciu, B.A.; Szasz, S. Cognitive-behavioral therapy and acceptance and commitment therapy for anxiety and depression in patients with fibromyalgia: A systematic review and meta-analysis. Med. Pharm. Rep. 2024, 97, 26–34. [Google Scholar] [CrossRef]
- Gupta, H.; Girma, B.; Jenkins, J.S.; Kaufman, S.E.; Lee, C.A.; Kaye, A.D. Milnacipran for the Treatment of Fibromyalgia. Health Psychol. Res. 2021, 9, 25532. [Google Scholar] [CrossRef]
- Pătru, S.; Pădureanu, V.; Rădulescu, D.; Mititelu, R.R.; Pădureanu, R.; Băcanoiu, M.; Matei, D. A nontraumatic myositis ossificans case of the forearm: Case report and literature review. Exp. Ther. Med. 2021, 21, 531. [Google Scholar] [CrossRef]
- Benett, R.; Nelson, D. Cognitive behavioral therapy for fibromyalgia. Nat. Clin. Prac. Rheum. 2006, 2, 416–424. [Google Scholar] [CrossRef] [PubMed]
- Mannerkorpi, K.; Henriksson, C. Non-pharmacological treatment of chronic widespread musculoskeletal pain. Best Pract. Res. Clin. Rheumatol. 2007, 21, 513–534. [Google Scholar] [CrossRef] [PubMed]
- Langhorst, J.; Klose, P.; Musial, F.; Irnich, D.; Häuser, W. Efficacy of acupuncture in fibromyalgia syndrome—A systematic review with a meta-analysis of controlled clinical trials. Rheumatology 2010, 49, 778–788. [Google Scholar] [CrossRef] [PubMed]
- Waddell, G. Preventing incapacity in people with musculoskeletal disorders. Br. Med. Bull. 2006, 77–78, 55–69. [Google Scholar] [CrossRef] [PubMed]
- Turk, D.C. Combining somatic and psychosocial treatment for chronic pain patients: Perhaps 1 + 1 does = 3. Clin. J. Pain 2001, 17, 281–283. [Google Scholar] [CrossRef] [PubMed]
- Busch, A.J.; Webber, S.C.; Brachaniec, M.; Bidonde, J.; Bello-Haas, V.D.; Danyliw, A.D.; Overend, T.J.; Richards, R.S.; Sawant, A.; Schachter, C.L. Exercise therapy for fibromyalgia. Curr. Pain Headache Rep. 2011, 15, 358–367. [Google Scholar] [CrossRef] [PubMed] [PubMed Central]
- Blotman, F.; Branco, J. Clinical and Diagnosis. In Fibromyalgia Daily Aches and Pain; Blotman, F., Branco, J., Eds.; Edition Privat: Toulouse, France, 2007; pp. 23–80. [Google Scholar]
- Emmerson, K.B.; Williams, L.T. Patient and Therapist Alliance in Physical Therapy: Exploring the Dyad. J. Phys. Ther. 2021, 23, 199–214. [Google Scholar]
- Johnson, R.E.; Patterson, T.A. Enhancing Treatment Adherence in Kinesiotherapy through Patient Engagement: A Review. Phys. Ther. J. 2022, 29, 102–117. [Google Scholar]
- Babatunde, O.O.; Corp, N.; Shivji, N.; Rowlands, G.; Quicke, J.; Healey, E.J. Interventions for supporting self-management in people with musculoskeletal pain, including focus on varying levels of health literacy: A systematic overview of reviews. Health Open Res. 2023, 5, 2. [Google Scholar] [CrossRef]
- Smith, A.L.; Jones, P.R. The Impact of Cognitive Behavioral Therapy on Chronic Pain: A Meta-Analysis. J. Behav. Med. 2019, 32, 345–359. [Google Scholar]
- Matei, D.; Trăistaru, R.; Pădureanu, V.; Avramescu, T.E.; Neagoe, D.; Genunche, A.; Amzolini, A. The Efficiency of Kinesiotherapy versus Physical Modalities on Pain and Other Common Complaints in Fibromyalgia. Life 2024, 14, 604. [Google Scholar] [CrossRef] [PubMed]
- Matei, D.; Traistaru, R.; Amzolini, A.M.; Ianosi, L.S.; Neagoe, C.D.; Mitrea, A.; Clenciu, D.; Avramescu, T.E. A Comparative Study on the Pain Threshold Experienced by Fibromyalgia Patients Following Acute SARS-CoV-2 Infection. Life 2024, 14, 942. [Google Scholar] [CrossRef]
- Carbonell-Baeza, A.; Álvarez-Gallardo, I.C.; Segura-Jiménez, V.; Castro-Piñero, J.; Ruiz, J.R.; Delgado-Fernández, M.; Aparicio, V.A. Reliability and feasibility of physical ftness tests in female fbromyalgia patients. Int. J. Sports Med. 2015, 36, 157–162. [Google Scholar] [CrossRef]
- Hamilton, G.F.; McDonald, C.; Chenier, T.C. Measurement of grip strength: Validity and reliability of the sphygmomanometer and jamar grip dynamometer. J. Orthop. Sports Phys. Ther. 1992, 16, 215–219. [Google Scholar] [CrossRef]
- Bennett, R. The Fibromyalgia Impact Questionnaire (FIQ): A review of its development, current version, operating characteristics and uses. Clin. Exp. Rheumatol. 2005, 23 (Suppl. 39), S154–S162. [Google Scholar]
- Alonso, J.; Prieto, L.; Anto, J.M. The Spanish version of the SF-36 Health Survey (the SF-36 health questionnaire): An instrument for measuring clinical results. Med. Clin. 1995, 104, 771–776. [Google Scholar]
- Ghavidel-Parsa, B.; Bidari, A.; Maafi, A.A.; Hassankhani, A.; Hajiabbasi, A.; Montazeri, A.; Sanaei, O.; Ghalehbaghi, B. The impact of fibromyalgia on health status according to the types, demographic background and pain index. Clin. Exp. Rheumatol. 2016, 34 (Suppl. 96), S134–S139. [Google Scholar] [PubMed]
- Berkman, N.D.; Sheridan, S.L.; Donahue, K.E.; Halpern, D.J.; Crotty, K. Health literacy interventions and outcomes: An updated systematic review. Ann. Intern. Med. 2011, 155, 97–107. [Google Scholar] [CrossRef] [PubMed]
- Nutbeam, D. Health Promotion Glossary. Health Promot. Int. 1998, 13, 349–364. [Google Scholar] [CrossRef]
- Badea, P.; Georgescu, D.C. Introducere în Biostatistică; Badea, P., Georgescu, D., Eds.; Editura Medicală Universitară: Craiova, Romania, 2003; pp. 196–212. [Google Scholar]
- Schaefer, C.; Mann, R.; Masters, E.T.; Cappelleri, J.C.; Daniel, S.R.; Zlateva, G.; Daniel, S.R. The comparative burden of chronic widespread pain and fibromyalgia in the United States. Pain Pract. 2016, 16, 565–579. [Google Scholar] [CrossRef] [PubMed]
- Fitzcharles, M.; Yunus, M. The clinical concept of fibromyalgia as a changing paradigm in the past 20 years. Pain Res. Treat. 2012, 2012, 184835. [Google Scholar] [CrossRef] [PubMed][Green Version]
- Wasti, A.Z.; Mackawy, A.M.H.; Hussain, A.; Huq, M.; Ahmed, H.; Memon, A.G. Fibromyalgia interventions, obstacles and prospects: Narrative review. Acta Myol. 2023, 42, 71–81. [Google Scholar] [CrossRef]
- Fliesser, M.; De Witt Huberts, J.; Wippert, P.M. The choice that matters: The relative influence of socioeconomic status indicators on chronic back pain- a longitudinal study. BMC Health Serv. Res. 2017, 17, 800. [Google Scholar] [CrossRef] [PubMed] [PubMed Central]
- Nilsen, T.I.; Holtermann, A.; Mork, P.J. Physical exercise, body mass index, and risk of chronic pain in the low back and neck/shoulders: Longitudinal data from the Nord-Trondelag Health Study. Am. J. Epidemiol. 2011, 174, 267–273. [Google Scholar] [CrossRef] [PubMed]
- Wolfe, F.; Walitt, B.; Perrot, S.; Rasker, J.J.; Häuser, W. Fibromyalgia diagnosis and biased assessment: Sex, prevalence and bias. PLoS ONE 2018, 13, e0203755. [Google Scholar] [CrossRef] [PubMed]
- Lipton, J.A.; Marbach, J.J. Ethnicity and the Pain Experience. Soc. Sci. Med. 1984, 19, 1279–1298. [Google Scholar] [CrossRef] [PubMed]
- Büyükşireci, D.; Demirsoy, Ü.N. Evaluation of the health literacy level of female fibromyalgia patients and relationship between health literacy level and disease activity. Arch. Rheumatol. 2021, 2, 274–279. [Google Scholar] [CrossRef]
- Pătru, S.; Pădureanu, R.; Dumitrescu, F.; Pădureanu, V.; Rădulescu, D.; Dragoi, D.; Matei, D. Influence of multidisciplinary therapeutic approach on fibromyalgia patients. Exp. Ther. Med. 2021, 21, 528. [Google Scholar] [CrossRef] [PubMed]
- Harden, R.N.; Song, S.; Fasen, J.; Saltz, S.L.; Nampiaparampil, D.; Vo, A.; Revivo, G. Home-based aerobic conditioning for management of symptoms of fibromyalgia: A pilot study. Pain Med. 2012, 13, 835–842. [Google Scholar] [CrossRef][Green Version]
- Matsutani, L.A.; Marques, A.P.; Ferreira, E.A.; Assumpção, A.; Lage, L.V.; Casarotto, R.A.; Pereira, C.A. Effectiveness of muscle stretching exercises with and without laser therapy at tender points for patients with fibromyalgia. Clin. Exp. Rheumatol. 2007, 25, 410–415. [Google Scholar] [PubMed]
- García-Ríos, M.C.; Navarro-Ledesma, S.; Tapia-Haro, R.M.; Toledano-Moreno, S.; Casas-Barragán, A.; Correa-Rodríguez, M.; Aguilar-Ferrándiz, M.E. Effectiveness of health education in patients with fibromyalgia: A systematic review. Eur. J. Phys. Rehabil. Med. 2019, 55, 301–313. [Google Scholar] [CrossRef] [PubMed]
- Kurtze, N.; Gundersen, K.T.; Syebak, S. The impact of Perceved Physical Dysfunction, Health-Related Habits and Affective Symptoms on Employment status among Fibromyalgia Support Group Members. J. Musculoskelet. Pain 2001, 9, 39–53. [Google Scholar] [CrossRef]
- Samami, E.; Shahhosseini, Z.; Elyasi, F. The Effect of Psychological Interventions on the Quality of Life in Women with Fibromyalgia: A Systematic Review. J. Clin. Psychol. Med. Settings 2021, 28, 503–517. [Google Scholar] [CrossRef] [PubMed]
- Jafari, F.; Mobini, M.; Moradi, S.; Dashti Dargahloo, S.; Ghafour, I.; Elyasi, F. Health-Related Quality of Life and Related Factors in Patients with Fibromyalgia: A Cross-sectional Study. Iran J. Psychiatry Behav. Sci. 2022, 16, e115602. [Google Scholar] [CrossRef]
- Barrett, S.E.; Puryear, J.S. Health literacy: Improving quality of care in primary care settings. J. Health Care Poor Underserved 2006, 17, 690–697. [Google Scholar] [CrossRef] [PubMed]
- Bohlman, N.L.; Panzer, A.M.; Kindig, D.A. Health Literacy: A Prescription to End Confusion; Committee on Health Literacy National Academies Press: Washington, DC, USA, 2004. [Google Scholar] [PubMed]
- Bosch-Romero, E.; Sáenz-Moya, N.; Valls-Esteve, M.; Viñolas-Valer, S. Estudio de la calidad de Vida en pacientes con fibromialgia: Impacto de un programa de educación sanitaria [study of quality of life of patients with fibromyalgia: Impact of a health education programme]. Aten. Primaria 2002, 30, 16–21. [Google Scholar] [CrossRef]








| Socio-Demographic Characteristic | Group 1 n = 32 | Group 2 n = 32 | Group 3 n = 30 | Group 4 n = 34 | p Value |
|---|---|---|---|---|---|
| Mean age (years ± SD) | 55.4 ± 7.2 | 52.9 ± 8.4 | 54.6 ± 7.1 | 54.1 ± 7.9 | 0.620 |
| Gender: Female (n, %) | 28 (87.5) | 27 (84.3) | 28 (93.3) | 30 (88.2) | |
| Residence area: Urban (n, %) | 21 (65.6) | 24 (75.0) | 26 (86.6) | 31 (91.1) | 0.009 |
| Marital status (n, %): | |||||
| Married | 28 (87.5) | 29 (90.6) | 26 (86.6) | 27 (79.4) | 0.680 |
| Divorced | 1 (3.1) | 2 (6.2) | 3 (10.0) | 4 (11.7) | <0.001 |
| Single/Widowed | 3 (9.3) | 1 (3.1) | 1 (3.3) | 3 (8.8) | 0.374 |
| Social media access (n, %) | 31 (96.8) | 32 (100) | 30 (100) | 34 (100) | 0.450 |
| Working status (n, %): | |||||
| Employed | 10 (31.2) | 11 (34.3) | 11 (36.6) | 19 (55.8) | 0.005 |
| Unemployed | 13 (40.6) | 13 (40.6) | 9 (30) | 11 (32.3) | p = 0.252 |
| Disabled | 9 (28.1) | 8 (25.0) | 10 (33.3) | 4 (11.7) | 0.008 |
| No. of cigarettes/day (mean ± SD) | 4.9 ± 5.0 | 4.8 ± 2.1 | 3.3 ± 4.3 | 5.2 ± 4.2 | 0.257 |
| Actual drug consumption (n, %) | 0 (0) | 0 (0) | 0 (0) | 0 (0) | |
| Alcohol consumption (n, %) | 2 (3.1) | 3 (9.3) | 3 (10.0) | 4 (11.7) | 0.346 |
| Coffee consumption (more than 1 coffee/day) (n, %) | 29 (90.6) | 26 (81.2) | 24 (80.0) | 28 (82.3) | 0.125 |
| Clinical Characteristic | Group 1 n = 32 | Group 2 n = 32 | Group 3 n = 30 | Group 4 n = 34 | p Value |
|---|---|---|---|---|---|
| Duration of illness, years (mean ± SD) | 7.8 ± 7.5 | 7.3 ±6.9 | 6.6 ±7.2 | 6.3 ± 7.1 | 0.833 |
| Duration of pain, years (mean ± SD) | 8.3 ± 3.8 | 8.9 ±4.8 | 8.5 ±5.1 | 8.6 ± 4.1 | 0.960 |
| Associated conditions (n, %): | |||||
| Irritable bowel syndrome | 11 (34.3) | 11 (34.3) | 13 (43.3) | 14 (42.05) | 0.625 |
| Chronic fatigue syndrome | 9 (28.1) | 11 (37.5) | 11 (33.3) | 12 (20.0) | 0.433 |
| Tension headaches | 28 (87.5) | 27 (78.1) | 28 (93.3) | 30 (88.2) | 0.630 |
| Observed functional limitation (mean ± SD) | 12.9 ± 2.9 | 11.4 ± 2.8 | 15.4 ±2.6 | 13.7 ± 3.9 | <0.001 |
| FIQ1 (mean ± SD) | 14.6 ± 4.8 | 15.1 ± 5.1 | 12.7 ± 4.6 | 12.1 ± 5.3 | 0.045 |
| FIQ total (mean ± SD) | 71.0 ± 15.9 | 74.3 ± 11.5 | 72.5 ± 10.5 | 59.3 ± 18.9 | <0.001 |
| SF12-Physical Scale (mean ± SD) | 27.3 ± 12.1 | 26.5 ± 10.3 | 24.2 ± 13.3 | 33.0 ± 10.1 | 0.018 |
| SF12-Mental Scale (mean ± SD) | 32.8 ± 12.5 | 41.3 ± 13.2 | 34.1 ± 13.4 | 44.2 ± 13.2 | 0.001 |
| Medication intake (no/week) (mean ± SD) | 7.1 ± 4.9 | 7.7 ± 6.2 | 3.4 ± 2.0 | 3.9 ± 2.2 | <0.001 |
| Group | T1 | T2 |
|---|---|---|
| Group 1 (mean n ± SD) | 7.2 ± 5.1 | 6.5 ± 6.3 |
| Group 2 (mean n ± SD) | 6.6 ± 2.9 | 4.9 ± 3 |
| Group 3 (mean n ± SD) | 3.3 ± 1.4 | 2.8 ± 1.8 |
| Group 4 (mean n ± SD) | 1.6 ± 1.8 | 2 ± 1.8 |
Disclaimer/Publisher’s Note: The statements, opinions and data contained in all publications are solely those of the individual author(s) and contributor(s) and not of MDPI and/or the editor(s). MDPI and/or the editor(s) disclaim responsibility for any injury to people or property resulting from any ideas, methods, instructions or products referred to in the content. |
© 2024 by the authors. Licensee MDPI, Basel, Switzerland. This article is an open access article distributed under the terms and conditions of the Creative Commons Attribution (CC BY) license (https://creativecommons.org/licenses/by/4.0/).
Share and Cite
Amzolini, A.M.; Neagoe, C.D.; Avramescu, T.E.; Mitrea, A.; Traistaru, R.; Micu, E.S.; Ianoşi, S.L.; Matei, D. Understanding Non-Pharmacological Treatments for Fibromyalgia Functional and Well-Being Status: The Role of Literacy. Healthcare 2024, 12, 1956. https://doi.org/10.3390/healthcare12191956
Amzolini AM, Neagoe CD, Avramescu TE, Mitrea A, Traistaru R, Micu ES, Ianoşi SL, Matei D. Understanding Non-Pharmacological Treatments for Fibromyalgia Functional and Well-Being Status: The Role of Literacy. Healthcare. 2024; 12(19):1956. https://doi.org/10.3390/healthcare12191956
Chicago/Turabian StyleAmzolini, Anca Maria, Carmen Daniela Neagoe, Taina Elena Avramescu, Adina Mitrea, Rodica Traistaru, Elena Simona Micu, Simona Laura Ianoşi, and Daniela Matei. 2024. "Understanding Non-Pharmacological Treatments for Fibromyalgia Functional and Well-Being Status: The Role of Literacy" Healthcare 12, no. 19: 1956. https://doi.org/10.3390/healthcare12191956
APA StyleAmzolini, A. M., Neagoe, C. D., Avramescu, T. E., Mitrea, A., Traistaru, R., Micu, E. S., Ianoşi, S. L., & Matei, D. (2024). Understanding Non-Pharmacological Treatments for Fibromyalgia Functional and Well-Being Status: The Role of Literacy. Healthcare, 12(19), 1956. https://doi.org/10.3390/healthcare12191956

