The Associations between Depression and Sugar Consumption Are Mediated by Emotional Eating and Craving Control in Multi-Ethnic Young Adults
Abstract
1. Introduction
2. Materials and Methods
2.1. Participants and Design
2.2. Procedures
2.3. 24-Hour Dietary Recall
2.4. Dietary Intake Variable Selection
2.5. Depression
2.6. Emotion Regulation
2.7. Eating Behavior
2.8. Statistical Analyses
3. Results
3.1. Participant Characteristics
3.2. Depressive Symptoms, Eating Behavior, and Emotional Regulation
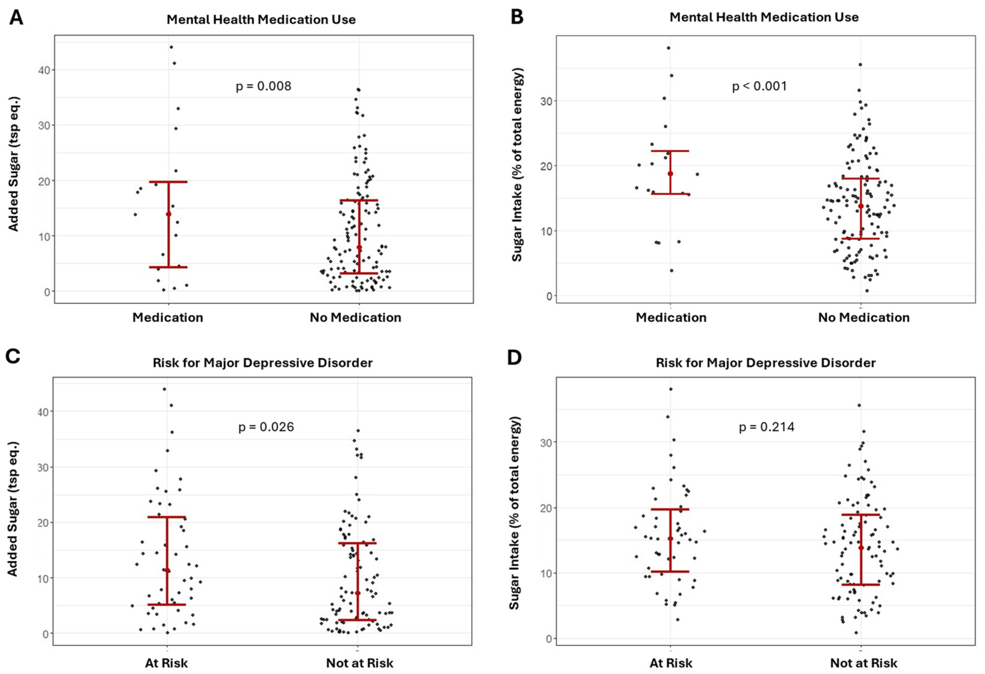
3.3. Added Sugar Intake
3.4. Relative Sugar Intake
4. Discussion
Strengths and Limitations
5. Conclusions
Author Contributions
Funding
Institutional Review Board Statement
Informed Consent Statement
Data Availability Statement
Acknowledgments
Conflicts of Interest
References
- Aldao, A.; Gee, D.G.; Reyes, A.D.L.; Seager, I. Emotion Regulation as a Transdiagnostic Factor in the Development of Internalizing and Externalizing Psychopathology: Current and Future Directions. Dev. Psychopathol. 2016, 28, 927–946. [Google Scholar] [CrossRef] [PubMed]
- Cludius, B.; Mennin, D.; Ehring, T. Emotion Regulation as a Transdiagnostic Process. Emotion 2020, 20, 37–42. [Google Scholar] [CrossRef] [PubMed]
- Gross, J.J. The Emerging Field of Emotion Regulation: An Integrative Review. Rev. Gen. Psychol. 1998, 2, 271–299. [Google Scholar] [CrossRef]
- Weiss, N.H.; Kiefer, R.; Goncharenko, S.; Raudales, A.M.; Forkus, S.R.; Schick, M.R.; Contractor, A.A. Emotion Regulation and Substance Use: A Meta-Analysis. Drug Alcohol Depend. 2022, 230, 109131. [Google Scholar] [CrossRef] [PubMed]
- Brereton, A.; McGlinchey, E. Self-Harm, Emotion Regulation, and Experiential Avoidance: A Systematic Review. Arch. Suicide Res. 2020, 24, 1–24. [Google Scholar] [CrossRef]
- Walenda, A.; Kostecka, B.; Santangelo, P.S.; Kucharska, K. Examining Emotion Regulation in Binge-Eating Disorder. Bord. Personal. Disord. Emot. Dysregulation 2021, 8, 25. [Google Scholar] [CrossRef]
- van Strien, T. Causes of Emotional Eating and Matched Treatment of Obesity. Curr. Diabetes Rep. 2018, 18, 35. [Google Scholar] [CrossRef]
- Lai, J.S.; Hiles, S.; Bisquera, A.; Hure, A.J.; McEvoy, M.; Attia, J. A Systematic Review and Meta-Analysis of Dietary Patterns and Depression in Community-Dwelling Adults. Am. J. Clin. Nutr. 2014, 99, 181–197. [Google Scholar] [CrossRef]
- Jacka, F.N.; Pasco, J.A.; Mykletun, A.; Williams, L.J.; Hodge, A.M.; O’Reilly, S.L.; Nicholson, G.C.; Kotowicz, M.A.; Berk, M. Association of Western and Traditional Diets with Depression and Anxiety in Women. Am. J. Psychiatry 2010, 167, 305–311. [Google Scholar] [CrossRef]
- Beydoun, M.A.; Kuczmarski, M.T.F.; Mason, M.A.; Ling, S.M.; Evans, M.K.; Zonderman, A.B. Role of Depressive Symptoms in Explaining Socioeconomic Status Disparities in Dietary Quality and Central Adiposity among US Adults: A Structural Equation Modeling Approach. Am. J. Clin. Nutr. 2009, 90, 1084–1095. [Google Scholar] [CrossRef]
- Mirmiran, P.; Bahadoran, Z.; Gaeini, Z. Common Limitations and Challenges of Dietary Clinical Trials for Translation into Clinical Practices. Int. J. Endocrinol. Metab. 2021, 19, e108170. [Google Scholar] [CrossRef] [PubMed]
- Oh, J.; Yun, K.; Chae, J.-H.; Kim, T.-S. Association Between Macronutrients Intake and Depression in the United States and South Korea. Front. Psychiatry 2020, 11, 207. [Google Scholar] [CrossRef] [PubMed]
- Sadeghi, O.; Hassanzadeh-Keshteli, A.; Afshar, H.; Esmaillzadeh, A.; Adibi, P. The Association of Whole and Refined Grains Consumption with Psychological Disorders among Iranian Adults. Eur. J. Nutr. 2019, 58, 211–225. [Google Scholar] [CrossRef] [PubMed]
- Liu, X.; Yan, Y.; Li, F.; Zhang, D. Fruit and Vegetable Consumption and the Risk of Depression: A Meta-Analysis. Nutrition 2016, 32, 296–302. [Google Scholar] [CrossRef] [PubMed]
- Zhang, L.; Sun, H.; Liu, Z.; Yang, J.; Liu, Y. Association between Dietary Sugar Intake and Depression in US Adults: A Cross-Sectional Study Using Data from the National Health and Nutrition Examination Survey 2011–2018. BMC Psychiatry 2024, 24, 110. [Google Scholar] [CrossRef]
- de Oliveira, N.G.; Teixeira, I.T.; Theodoro, H.; Branco, C.S. Dietary Total Antioxidant Capacity as a Preventive Factor against Depression in Climacteric Women. Dement. Neuropsychol. 2019, 13, 305–311. [Google Scholar] [CrossRef]
- Huang, A.A.; Huang, S.Y. Exploring Depression and Nutritional Covariates Amongst US Adults Using Shapely Additive Explanations. Health Sci. Rep. 2023, 6, e1635. [Google Scholar] [CrossRef]
- Zhang, Z. Too Much Covariates in a Multivariable Model May Cause the Problem of Overfitting. J. Thorac. Dis. 2014, 6, E196–E197. [Google Scholar] [CrossRef]
- Babyak, M.A. What You See May Not Be What You Get: A Brief, Nontechnical Introduction to Overfitting in Regression-Type Models. Psychosom. Med. 2004, 66, 411–421. [Google Scholar] [CrossRef]
- Scheibe, S.; Blanchard-Fields, F. Effects of Regulating Emotions on Cognitive Performance: What Is Costly for Young Adults Is Not so Costly for Older Adults. Psychol. Aging 2009, 24, 217–223. [Google Scholar] [CrossRef]
- Graybeal, A.J.; Moore, M.L.; Cruz, M.R.; Tinsley, G.M. Body Composition Assessment in Male and Female Bodybuilders: A 4-Compartment Model Comparison of Dual-Energy X-Ray Absorptiometry and Impedance-Based Devices. J. Strength Cond. Res. 2020, 34, 1676–1689. [Google Scholar] [CrossRef] [PubMed]
- Subar, A.F.; Kirkpatrick, S.I.; Mittl, B.; Zimmerman, T.P.; Thompson, F.E.; Bingley, C.; Willis, G.; Islam, N.G.; Baranowski, T.; McNutt, S.; et al. The Automated Self-Administered 24-Hour Dietary Recall (ASA24): A Resource for Researchers, Clinicians and Educators from the National Cancer Institute. J. Acad. Nutr. Diet. 2012, 112, 1134–1137. [Google Scholar] [CrossRef] [PubMed]
- Foster, E.; Lee, C.; Imamura, F.; Hollidge, S.E.; Westgate, K.L.; Venables, M.C.; Poliakov, I.; Rowland, M.K.; Osadchiy, T.; Bradley, J.C.; et al. Validity and Reliability of an Online Self-Report 24-h Dietary Recall Method (Intake24): A Doubly Labelled Water Study and Repeated-Measures Analysis. J. Nutr. Sci. 2019, 8, e29. [Google Scholar] [CrossRef] [PubMed]
- Thompson, F.E.; Dixit-Joshi, S.; Potischman, N.; Dodd, K.W.; Kirkpatrick, S.I.; Kushi, L.H.; Alexander, G.L.; Coleman, L.A.; Zimmerman, T.P.; Sundaram, M.E.; et al. Comparison of Interviewer-Administered and Automated Self-Administered 24-Hour Dietary Recalls in 3 Diverse Integrated Health Systems. Am. J. Epidemiol. 2015, 181, 970–978. [Google Scholar] [CrossRef] [PubMed]
- Tibshirani, R. Regression Shrinkage and Selection via the Lasso. J. R. Stat. Soc. Ser. B Stat. Methodol. 1996, 58, 267–288. [Google Scholar] [CrossRef]
- McCarthy, C.; Tinsley, G.M.; Yang, S.; Irving, B.A.; Wong, M.C.; Bennett, J.P.; Shepherd, J.A.; Heymsfield, S.B. Smartphone Prediction of Skeletal Muscle Mass: Model Development and Validation in Adults. Am. J. Clin. Nutr. 2023, 117, 794–801. [Google Scholar] [CrossRef]
- Radloff, L.S. The CES-D Scale: A Self-Report Depression Scale for Research in the General Population. Appl. Psychol. Meas. 1977, 1, 385–401. [Google Scholar] [CrossRef]
- Gross, J.J.; John, O.P. Individual Differences in Two Emotion Regulation Processes: Implications for Affect, Relationships, and Well-Being. J. Personal. Soc. Psychol. 2003, 85, 348–362. [Google Scholar] [CrossRef]
- Cutuli, D. Cognitive Reappraisal and Expressive Suppression Strategies Role in the Emotion Regulation: An Overview on Their Modulatory Effects and Neural Correlates. Front. Syst. Neurosci. 2014, 8, 175. [Google Scholar] [CrossRef]
- Cappelleri, J.C.; Bushmakin, A.G.; Gerber, R.A.; Leidy, N.K.; Sexton, C.C.; Lowe, M.R.; Karlsson, J. Psychometric Analysis of the Three-Factor Eating Questionnaire-R21: Results from a Large Diverse Sample of Obese and Non-Obese Participants. Int. J. Obes. 2009, 33, 611–620. [Google Scholar] [CrossRef]
- de Lauzon, B.; Romon, M.; Deschamps, V.; Lafay, L.; Borys, J.-M.; Karlsson, J.; Ducimetière, P.; Charles, M.A. The Three-Factor Eating Questionnaire-R18 Is Able to Distinguish among Different Eating Patterns in a General Population. J. Nutr. 2004, 134, 2372–2380. [Google Scholar] [CrossRef] [PubMed]
- Dalton, M.; Finlayson, G.; Hill, A.; Blundell, J. Preliminary Validation and Principal Components Analysis of the Control of Eating Questionnaire (CoEQ) for the Experience of Food Craving. Eur. J. Clin. Nutr. 2015, 69, 1313–1317. [Google Scholar] [CrossRef] [PubMed]
- Tinsley, G.M.; Moore, M.L.; Graybeal, A.J. Reliability of Hunger-Related Assessments during 24-Hour Fasts and Their Relationship to Body Composition and Subsequent Energy Compensation. Physiol. Behav. 2018, 188, 221–226. [Google Scholar] [CrossRef] [PubMed]
- Graybeal, A.J.; Willis, J.L.; Morales-Marroquin, E.; Tinsley, G.M.; Messiah, S.E.; Shah, M. Emerging Evidence of the Relationship between Fat-Free Mass and Ghrelin, Glucagon-like Peptide-1, and Peptide-YY. Nutrition 2022, 103–104, 111815. [Google Scholar] [CrossRef] [PubMed]
- Baron, R.M.; Kenny, D.A. The Moderator–Mediator Variable Distinction in Social Psychological Research: Conceptual, Strategic, and Statistical Considerations. J. Personal. Soc. Psychol. 1986, 51, 1173–1182. [Google Scholar] [CrossRef]
- Graybeal, A.J.; Kreutzer, A.; Willis, J.L.; Moss, K.; Braun-Trocchio, R.; Shah, M. Age Drives the Differences in Dietary Supplement Use in Endurance Athletes: A Cross-Sectional Analysis of Cyclists, Runners, and Triathletes. J. Diet. Suppl. 2022, 20, 602–620. [Google Scholar] [CrossRef]
- Jacques, A.; Chaaya, N.; Beecher, K.; Ali, S.A.; Belmer, A.; Bartlett, S. The Impact of Sugar Consumption on Stress Driven, Emotional and Addictive Behaviors. Neurosci. Biobehav. Rev. 2019, 103, 178–199. [Google Scholar] [CrossRef]
- Wang, G.-L.; He, Z.-M.; Zhu, H.-Y.; Gao, Y.-G.; Zhao, Y.; Yang, H.; Zhang, L.-X. Involvement of Serotonergic, Noradrenergic and Dopaminergic Systems in the Antidepressant-like Effect of Ginsenoside Rb1, a Major Active Ingredient of Panax Ginseng C.A. Meyer. J. Ethnopharmacol. 2017, 204, 118–124. [Google Scholar] [CrossRef]
- Harrell, C.S.; Burgado, J.; Kelly, S.D.; Johnson, Z.P.; Neigh, G.N. High-Fructose Diet during Periadolescent Development Increases Depressive-like Behavior and Remodels the Hypothalamic Transcriptome in Male Rats. Psychoneuroendocrinology 2015, 62, 252–264. [Google Scholar] [CrossRef]
- Molteni, R.; Barnard, R.J.; Ying, Z.; Roberts, C.K.; Gómez-Pinilla, F. A High-Fat, Refined Sugar Diet Reduces Hippocampal Brain-Derived Neurotrophic Factor, Neuronal Plasticity, and Learning. Neuroscience 2002, 112, 803–814. [Google Scholar] [CrossRef]
- Ma, X.; Nan, F.; Liang, H.; Shu, P.; Fan, X.; Song, X.; Hou, Y.; Zhang, D. Excessive Intake of Sugar: An Accomplice of Inflammation. Front. Immunol. 2022, 13, 988481. [Google Scholar] [CrossRef] [PubMed]
- Reis, D.J.; Ilardi, S.S.; Namekata, M.S.; Wing, E.K.; Fowler, C.H. The Depressogenic Potential of Added Dietary Sugars. Med. Hypotheses 2020, 134, 109421. [Google Scholar] [CrossRef] [PubMed]
- Zhou, H.; Zhang, S.; Zhang, X.; Zhou, H.; Wen, T.; Wang, J. Depression-like Symptoms Due to Dcf1 Deficiency Are Alleviated by Intestinal Transplantation of Lactobacillus Murine and Lactobacillus Reuteri. Biochem. Biophys. Res. Commun. 2022, 593, 137–143. [Google Scholar] [CrossRef] [PubMed]
- Alsheikh, A.M.; Elemam, M.O.; El-bahnasawi, M. Treatment of Depression with Alcohol and Substance Dependence: A Systematic Review. Cureus 2020, 12, e11168. [Google Scholar] [CrossRef] [PubMed]
- DiNicolantonio, J.J.; O’Keefe, J.H.; Wilson, W.L. Sugar Addiction: Is It Real? A Narrative Review. Br. J. Sport. Med. 2018, 52, 910–913. [Google Scholar] [CrossRef]
- Evers, C.; Marijn Stok, F.; de Ridder, D.T.D. Feeding Your Feelings: Emotion Regulation Strategies and Emotional Eating. Personal. Soc. Psychol. Bull. 2010, 36, 792–804. [Google Scholar] [CrossRef]
- Ranjbar Noushari, F.; Basharpoor, S.; Hajloo, N.; Narimani, M. The Effect of Emotion Regulation Skills’ Training on Self-Control, Eating Styles and Body Mass Index in Overweight Students. Iran. J. Health Educ. Health Promot. 2018, 6, 125–133. [Google Scholar] [CrossRef]
- Stanszus, L.S.; Frank, P.; Geiger, S.M. Healthy Eating and Sustainable Nutrition through Mindfulness? Mixed Method Results of a Controlled Intervention Study. Appetite 2019, 141, 104325. [Google Scholar] [CrossRef]





| Total (n = 151) | Females (n = 85) | Males (n = 65) | |
|---|---|---|---|
| Sex | |||
| Female | 86 (57.0%) | ||
| Male | 65 (43.0%) | ||
| Race | |||
| White | 50 (33.1%) | 35 (40.7%) | 15 (23.1%) |
| Black | 36 (23.8%) | 24 (27.9%) | 12 (18.5%) |
| Asian | 60 (39.7%) | 22 (25.6%) | 38 (58.5%) |
| Hispanic | 5 (3.3%) | 5 (5.8%) | 0 (0.0%) |
| Anthropometrics | |||
| Age (y) | 21.4 ± 2.5 | 21.3 ± 1.9 | 21.4 ± 3.2 |
| Height (cm) | 167.7 ± 8.9 | 163.0 ± 6.5 * | 173.9 ± 7.9 |
| Weight (kg) | 70.3 ± 17.1 | 66.8 ± 17.0 * | 75.0 ± 16.2 |
| BMI (kg/m2) | 22.0 ± 5.1 | 21.2 ± 5.1 * | 23.1 ± 4.9 |
| Body fat (%) | 29.6 ± 9.9 | 34.1 ± 8.7 * | 23.5 ± 8.1 |
| Fat mass (kg) | 21.3 ± 11.4 | 23.8 ± 12.4 * | 18.1 ± 9.1 |
| Fat-free mass (kg) | 49.0 ± 11.5 | 43.0 ± 7.1 * | 56.9 ± 11.4 |
| Mental Health Medication | 20 (13.2%) | 18 (20.9%) | 2 (3.1%) |
| CESD | |||
| Depressive symptoms | 13.7 ± 8.1 | 14.0 ± 7.8 | 13.4 ± 8.5 |
| Risk for Clinical Depression | 51 (33.8%) | 33 (38.4%) | 18 (27.7%) |
| TFEQ | |||
| Cognitive restraint | 15.2 ± 11.3 | 14.9 ± 11.8 | 15.7 ± 10.8 |
| Emotional eating | 8.0 ± 11.5 | 10.5 ± 12.1 * | 4.8 ± 9.8 |
| Uncontrolled eating | 10.6 ± 8.9 | 10.2 ± 9.0 | 11.0 ± 8.9 |
| CEQ | |||
| Craving control | 43.0 ± 20.4 | 42.7 ± 20.5 | 43.3 ± 20.3 |
| ERQ | |||
| Cognitive reappraisal | 28.9 ± 5.8 | 29.3 ± 14.7 | 28.3 ± 5.7 |
| Expressive suppression | 15.7 ± 5.0 | 14.7 ± 4.9 * | 17.2 ± 4.9 |
| ASA24® | |||
| Total energy (kcals/d) | 1974 ± 908 | 1807 ± 861 * | 2193 ± 929 |
| Protein (%) | 17.9 ± 6.2 | 17.0 ± 5.3 * | 19.2 ± 7.0 |
| Fat (%) | 38.4 ± 9.0 | 39.0 ± 8.6 | 37.6 ± 9.5 |
| Saturated Fat (%) | 12.0 ± 4.2 | 12.0 ± 4.1 | 12.1 ± 4.5 |
| Carbohydrate (%) | 44.4 ± 11.4 | 44.8 ± 10.6 | 43.9 ± 12.6 |
| Fiber (%) | 3.5 ± 1.9 | 3.7 ± 2.1 | 3.2 ± 1.7 |
| Sugar (%) | 14.7 ± 7.5 | 14.8 ± 7.3 | 14.5 ± 7.9 |
| Added sugar (tsp eq.) | 11.4 ± 10.0 | 10.8 ± 9.3 | 12.1 ± 10.9 |
| CESD | TFEQ | CEQ | ERQ | |||||
|---|---|---|---|---|---|---|---|---|
| Depressive Symptoms | Cognitive Restraint | Uncontrolled Eating | Emotional Eating | Craving Control | Craving Sweet | Craving Savory | Cognitive Reappraisal | |
| Combined Sample (n = 151) | ||||||||
| Depressive Symptoms | - | - | - | - | - | - | - | - |
| Cognitive Restraint | 0.16 | - | - | - | - | - | - | - |
| Uncontrolled Eating | 0.38 * | 0.10 | - | - | - | - | - | - |
| Emotional Eating | 0.38 * | 0.13 | 0.57 * | - | - | - | - | - |
| Craving Control | 0.22 * | -0.03 | 0.52 * | 0.38 * | - | - | - | - |
| Cognitive Reappraisal | −0.17 * | −0.03 | 0.09 | 0.11 | 0.10 | 0.09 | 0.04 | - |
| Expressive Suppression | 0.08 | 0.12 | 0.09 | 0.06 | 0.08 | 0.12 | 0.15 | 0.36 |
| Females | ||||||||
| Depressive Symptoms | - | - | - | - | - | - | - | - |
| Cognitive Restraint | 0.18 | - | - | - | - | - | - | - |
| Uncontrolled Eating | 0.38 * | 0.13 | - | - | - | - | - | - |
| Emotional Eating | 0.39 * | 0.22 | 0.57 * | - | - | - | - | - |
| Craving Control | 0.32 * | 0.00 | 0.47 * | 0.35 * | - | - | - | - |
| Cognitive Reappraisal | −0.28 * | −0.14 | 0.13 | 0.08 | 0.14 | −0.00 | 0.00 | - |
| Expressive Suppression | 0.06 | 0.05 | 0.09 | 0.01 | 0.20 | 0.18 | 0.24 * | 0.22 |
| Males | ||||||||
| Depressive Symptoms | - | - | - | - | - | - | - | - |
| Cognitive Restraint | 0.14 | - | - | - | - | - | - | |
| Uncontrolled Eating | 0.40 * | 0.04 | - | - | - | - | - | - |
| Emotional Eating | 0.34 * | 0.00 | 0.49 * | - | - | - | - | - |
| Craving Control | 0.06 | −0.08 | 0.60 * | 0.44 * | - | - | - | - |
| Cognitive Reappraisal | −0.03 | 0.14 | 0.02 | 0.17 | 0.08 | 0.19 | 0.12 | - |
| Expressive Suppression | 0.10 | 0.22 | 0.08 | 0.11 | −0.07 | 0.00 | 0.03 | 0.50 * |
Disclaimer/Publisher’s Note: The statements, opinions and data contained in all publications are solely those of the individual author(s) and contributor(s) and not of MDPI and/or the editor(s). MDPI and/or the editor(s) disclaim responsibility for any injury to people or property resulting from any ideas, methods, instructions or products referred to in the content. |
© 2024 by the authors. Licensee MDPI, Basel, Switzerland. This article is an open access article distributed under the terms and conditions of the Creative Commons Attribution (CC BY) license (https://creativecommons.org/licenses/by/4.0/).
Share and Cite
Graybeal, A.J.; Stavres, J.; Swafford, S.H.; Compton, A.T.; McCoy, S.; Huye, H.; Thorsen, T.; Renna, M.E. The Associations between Depression and Sugar Consumption Are Mediated by Emotional Eating and Craving Control in Multi-Ethnic Young Adults. Healthcare 2024, 12, 1944. https://doi.org/10.3390/healthcare12191944
Graybeal AJ, Stavres J, Swafford SH, Compton AT, McCoy S, Huye H, Thorsen T, Renna ME. The Associations between Depression and Sugar Consumption Are Mediated by Emotional Eating and Craving Control in Multi-Ethnic Young Adults. Healthcare. 2024; 12(19):1944. https://doi.org/10.3390/healthcare12191944
Chicago/Turabian StyleGraybeal, Austin J., Jon Stavres, Sydney H. Swafford, Abby T. Compton, Stephanie McCoy, Holly Huye, Tanner Thorsen, and Megan E. Renna. 2024. "The Associations between Depression and Sugar Consumption Are Mediated by Emotional Eating and Craving Control in Multi-Ethnic Young Adults" Healthcare 12, no. 19: 1944. https://doi.org/10.3390/healthcare12191944
APA StyleGraybeal, A. J., Stavres, J., Swafford, S. H., Compton, A. T., McCoy, S., Huye, H., Thorsen, T., & Renna, M. E. (2024). The Associations between Depression and Sugar Consumption Are Mediated by Emotional Eating and Craving Control in Multi-Ethnic Young Adults. Healthcare, 12(19), 1944. https://doi.org/10.3390/healthcare12191944

