Determining the Best Noninvasive Test for Peripheral Arterial Disease Diagnosis to Predict Diabetic Foot Ulcer Healing in Patients Following Endovascular Revascularization
Abstract
1. Introduction
2. Methods
2.1. Study Design
2.2. Participants
2.3. Procedures
2.4. Evaluation of Noninvasive Tests at Visit 0 and Visit 1
2.5. Endovascular Revascularization
2.6. Sample Size
2.7. Statistical Analysis
2.8. Outcome Measures
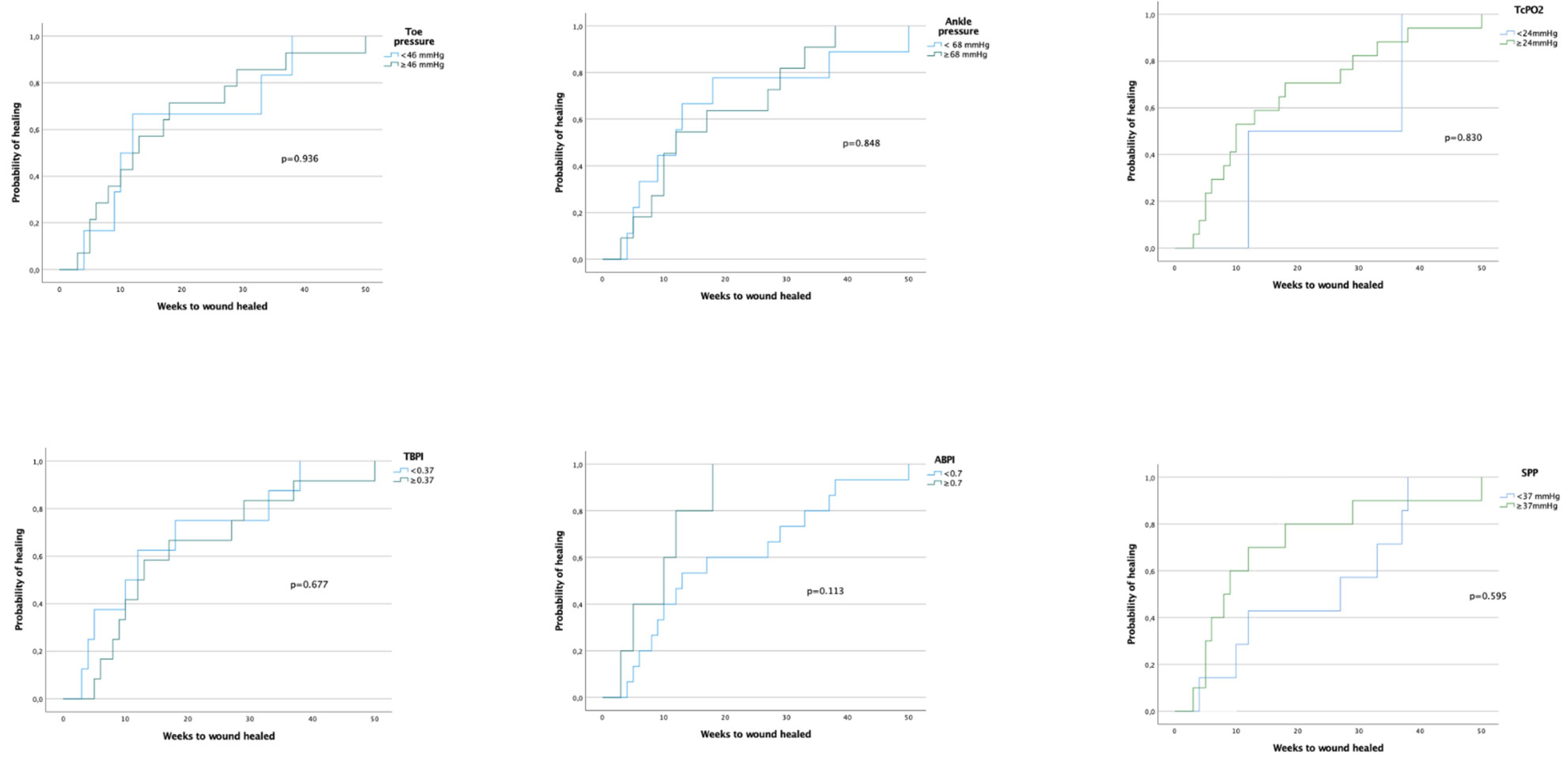
3. Results
4. Discussion
5. Conclusions
Author Contributions
Funding
Institutional Review Board Statement
Informed Consent Statement
Data Availability Statement
Conflicts of Interest
References
- Armstrong, D.G.; Boulton, A.J.M.; Bus, S.A. Diabetic Foot Ulcers and Their Recurrence. N. Engl. J. Med. 2017, 376, 2367–2375. [Google Scholar] [CrossRef] [PubMed]
- Walsh, J.W.; Hoffstad, O.J.; Sullivan, M.O.; Margolis, D.J. Association of diabetic foot ulcer and death in a population-based cohort from the United Kingdom. Diabet. Med. 2016, 33, 1493–1498. [Google Scholar] [CrossRef] [PubMed]
- Armstrong, D.G.; Swerdlow, M.A.; Armstrong, A.A.; Conte, M.S.; Padula, W.V.; Bus, S.A. Five year mortality and direct costs of care for people with diabetic foot complications are comparable to cancer. J. Foot Ankle Res. 2020, 13, 16. [Google Scholar] [CrossRef]
- Stoberock, K.; Kaschwich, M.; Nicolay, S.S.; Mahmoud, N.; Heidemann, F.; Riess, H.C.; Debus, E.S.; Behrendt, C.A. The interrelationship between diabetes mellitus and peripheral arterial disease. Vasa 2021, 50, 323–330. [Google Scholar] [CrossRef]
- Mohammedi, K.; Woodward, M.; Marre, M.; Colagiuri, S.; Cooper, M.; Harrap, S.; Mancia, G.; Poulter, N.; Williams, B.; Zoungas, S.; et al. Comparative effects of microvascular and macrovascular disease on the risk of major outcomes in patients with type 2 diabetes. Cardiovasc. Diabetol. 2017, 16, 95. [Google Scholar] [CrossRef] [PubMed]
- Stimpson, A.L.; Dilaver, N.; Bosanquet, D.C.; Ambler, G.K.; Twine, C.P. Angiosome Specific Revascularisation: Does the Evidence Support It? Eur. J. Vasc. Endovasc. Surg. 2019, 57, 311–317. [Google Scholar] [CrossRef]
- Arsenault, K.A.; McDonald, J.; Devereaux, P.J.; Thorlund, K.; Tittley, J.G.; Whitlock, R.P. The use of transcutaneous oximetry to predict complications of chronic wound healing: A systematic review and meta-analysis. Wound. Repair. Regen. 2011, 19, 657–663. [Google Scholar] [CrossRef] [PubMed]
- Lopez-Moral, M.; Garcia-Alvarez, Y.; Molines-Barroso, R.J.; Tardaguila-Garcia, A.; Garcia-Madrid, M.; Lazaro-Martinez, J.L. A comparison of hyperspectral imaging with routine vascular noninvasive techniques to assess the healing prognosis in patients with diabetic foot ulcers. J. Vasc. Surg. 2022, 75, 255–261. [Google Scholar] [CrossRef]
- Forsythe, R.O.; Apelqvist, J.; Boyko, E.J.; Fitridge, R.; Hong, J.P.; Katsanos, K.; Mills, J.L.; Nikol, S.; Reekers, J.; Venermo, M.; et al. Performance of prognostic markers in the prediction of wound healing or amputation among patients with foot ulcers in diabetes: A systematic review. Diabetes Metab. Res. Rev. 2020, 36 (Suppl. S1), e3278. [Google Scholar] [CrossRef] [PubMed]
- Elghazaly, H.; Howard, T.; Sanjay, S.; Mohamed, O.G.; Sounderajah, V.; Mehar, Z.; Davies, A.H.; Jaffer, U.; Normahani, P. Evaluating the prognostic performance of bedside tests used for peripheral arterial disease diagnosis in the prediction of diabetic foot ulcer healing. BMJ Open Diabetes Res. Care 2023, 11, e003110. [Google Scholar] [CrossRef]
- Armstrong, D.G.; Lavery, L.A.; Harkless, L.B. Validation of a diabetic wound classification system. The contribution of depth, infection, and ischemia to risk of amputation. Diabetes Care 1998, 21, 855–859. [Google Scholar] [CrossRef]
- Hinchliffe, R.J.; Forsythe, R.O.; Apelqvist, J.; Boyko, E.J.; Fitridge, R.; Hong, J.P.; Katsanos, K.; Mills, J.L.; Nikol, S.; Reekers, J.; et al. Guidelines on diagnosis, prognosis, and management of peripheral artery disease in patients with foot ulcers and diabetes (IWGDF 2019 update). Diabetes Metab. Res. Rev. 2020, 36 (Suppl. S1), e3276. [Google Scholar] [CrossRef]
- Boulton, A.J.; Armstrong, D.G.; Albert, S.F.; Frykberg, R.G.; Hellman, R.; Kirkman, M.S.; Lavery, L.A.; Lemaster, J.W.; Mills, J.L., Sr.; Mueller, M.J.; et al. Comprehensive foot examination and risk assessment: A report of the task force of the foot care interest group of the American Diabetes Association, with endorsement by the American Association of Clinical Endocrinologists. Diabetes Care 2008, 31, 1679–1685. [Google Scholar] [CrossRef] [PubMed]
- Lazaro-Martinez, J.L.; Garcia-Madrid, M.; Garcia-Alvarez, Y.; Alvaro-Afonso, F.J.; Sanz-Corbalan, I.; Garcia-Morales, E. Conservative surgery for chronic diabetic foot osteomyelitis: Procedures and recommendations. J. Clin. Orthop. Trauma 2021, 16, 86–98. [Google Scholar] [CrossRef] [PubMed]
- Bonnet, E.; Maulin, L.; Senneville, E.; Castan, B.; Fourcade, C.; Loubet, P.; Poitrenaud, D.; Schuldiner, S.; Sotto, A.; Lavigne, J.P.; et al. Clinical practice recommendations for infectious disease management of diabetic foot infection (DFI)—2023 SPILF. Infect. Dis. Now 2024, 54, 104832. [Google Scholar] [CrossRef] [PubMed]
- Tone, A.; Nguyen, S.; Devemy, F.; Topolinski, H.; Valette, M.; Cazaubiel, M.; Fayard, A.; Beltrand, E.; Lemaire, C.; Senneville, E. Six-week versus twelve-week antibiotic therapy for nonsurgically treated diabetic foot osteomyelitis: A multicenter open-label controlled randomized study. Diabetes Care 2015, 38, 302–307. [Google Scholar] [CrossRef] [PubMed]
- Jensen, M.P.; McFarland, C.A. Increasing the reliability and validity of pain intensity measurement in chronic pain patients. Pain 1993, 55, 195–203. [Google Scholar] [CrossRef] [PubMed]
- Fitridge, R.; Chuter, V.; Mills, J.; Hinchliffe, R.; Azuma, N.; Behrendt, C.A.; Boyko, E.J.; Conte, M.S.; Humphries, M.; Kirksey, L.; et al. The intersocietal IWGDF, ESVS, SVS guidelines on peripheral artery disease in people with diabetes mellitus and a foot ulcer. J. Vasc. Surg. 2023, 78, 1101–1131. [Google Scholar] [CrossRef] [PubMed]
- Chuter, V.; Schaper, N.; Hinchliffe, R.; Mills, J.; Azuma, N.; Behrendt, C.A.; Boyko, E.J.; Conte, M.S.; Humphries, M.; Kirksey, L.; et al. Performance of non-invasive bedside vascular testing in the prediction of wound healing or amputation among people with foot ulcers in diabetes: A systematic review. Diabetes Metab. Res. Rev. 2024, 40, e3701. [Google Scholar] [CrossRef]
- Wallin, L.; Bjornsson, H.; Stenstrom, A. Fluorescein angiography for predicting healing of foot ulcers. Acta Orthop. 1989, 60, 40–44. [Google Scholar] [CrossRef]
- Ferraresi, R.; Mauri, G.; Losurdo, F.; Troisi, N.; Brancaccio, D.; Caravaggi, C.; Neri, L. BAD transmission and SAD distribution: A new scenario for critical limb ischemia. J. Cardiovasc. Surg. 2018, 59, 655–664. [Google Scholar] [CrossRef] [PubMed]
- Kee, K.K.; Nair, H.K.R.; Yuen, N.P. Risk factor analysis on the healing time and infection rate of diabetic foot ulcers in a referral wound care clinic. J. Wound Care 2019, 28, S4–S13. [Google Scholar] [CrossRef]
- Vella, L.; Gatt, A.; Formosa, C. Does Baseline Hemoglobin A(1c) Level Predict Diabetic Foot Ulcer Outcome or Wound Healing Time? J. Am. Podiatr. Med. Assoc. 2017, 107, 272–279. [Google Scholar] [CrossRef] [PubMed]
- Alvaro-Afonso, F.J.; Garcia-Morales, E.; Lopez-Moral, M.; Alou-Cervera, L.; Molines-Barroso, R.; Lazaro-Martinez, J.L. Comparative Clinical Outcomes of Patients with Diabetic Foot Infection Caused by Methicillin-Resistant Staphylococcus Aureus (MRSA) or Methicillin-Sensitive Staphylococcus Aureus (MSSA). Int. J. Low. Extrem. Wounds, 2022; Online ahead of print. [Google Scholar] [CrossRef]
- Tardaguila-Garcia, A.; Alvaro-Afonso, F.J.; Garcia-Madrid, M.; Lopez-Moral, M.; Sanz-Corbalan, I.; Lazaro-Martinez, J.L. Variables That Could Influence Healing Time in Patients with Diabetic Foot Osteomyelitis. J. Clin. Med. 2023, 12, 345. [Google Scholar] [CrossRef] [PubMed]



| Variables | Not Healed (n = 8) | Healed (n = 20) | p-Value |
|---|---|---|---|
| Male, n (%) | 7 (87.5) | 17 (85) | 0.864 |
| Female, n (%) | 1 (12.5) | 3 (15) | |
| Age (years), mean ± SD | 76.75 ± 13.23 | 75.15 ± 9.03 | 0.047 * |
| Type 1 DM, n (%) | 0 (0) | 1 (5) | 0.520 |
| Type 2 DM, n (%) | 8 (100) | 19 (95) | |
| DM duration (years) | 19.25 ± 9.92 | 24.15 ± 10.95 | 0.670 |
| HbA1c (%) | 7.0 (6.5–7.9) | 7.2 (6.6–8.8) | 0.494 |
| BMI, mean ± SD | 22.51 ± 1.29 | 24.81 ± 2.98 | 0.057 |
| Hypertension, n (%) | 7 (87.5) | 20 (100) | 0.107 |
| Hypercholesterolemia, n (%) | 8 (100) | 15 (75) | 0.119 |
| Neuropathy, n (%) | 6 (75) | 11 (55) | 0.328 |
| Retinopathy, n (%) | 3 37.5) | 4 (20) | 0.334 |
| Nephropathy, n (%) | 2 (25) | 2 (10) | 0.306 |
| Cardiopathy, n (%) | 7 (87.5) | 11 (55) | 0.105 |
| Previous amputation, n (%) | 2 (25) | 5 (25) | 1.000 |
| Texas grade and stage (%) | |||
| 1C | 4 (50) | 10 (50) | 1.000 |
| 2C | 1 (12.5) | 0 (0) | 0.107 |
| 3C | 0 (0) | 1 (5) | 0.520 |
| 1D | 1 (12.5) | 1 (5) | 0.486 |
| 2D | 2 (25) | 1 (5) | 0.122 |
| 3D | 0 (0) | 7 (33.3) | 0.053 |
| Presence of distal pulses, n (%) | 0 (0) | 0 (0) | NA |
| AP | 52.5 (21.25; 99.75) | 42 (13.0; 72.25) | 0.636 |
| TP | 25.0 (17.0; 50.0) | 26.0 (17.5; 40.5) | 0.940 |
| ABPI | 0.42 (0.16; 0.70) | 0.32 (0.09; 0.52) | 0.381 |
| TBPI | 0.19 (0.11; 0.35) | 0.19 (0.11; 0.30) | 0.862 |
| TcPO2 (mmHg) | 23.25 ± 20.07 | 35.40 ± 22.3 | 0.193 |
| SPP (mmHg) | 36.5 (20.25; 73.5) | 38.5 (16.75; 54.0) | 0.820 |
| RAC, n (%) | 4 (57.1) | 17 (81) | 0.204 |
| Antiplatelet treatments, n (%) | 5 (71.4) | 18 (85.7) | 0.393 |
| Statins, n (%) | 7 (100) | 17 (81) | 0.212 |
| Anticoagulant, n (%) | 3 (42.9) | 5 (23.8) | 0.334 |
| Antihypertensives, n (%) | 6 (85.7) | 21 (100) | 0.078 |
| Oral antidiabetics, n (%) | 5 (71.4) | 16 (76.2) | 0.801 |
| Insulin, n (%) | 3 (42.9) | 9 (42.9) | 1.000 |
| AP | TP | ABPI | TBPI | TcPO2 | SPP | |
|---|---|---|---|---|---|---|
| Visit 0 (Before revascularization) | 48.5 (17.0; 72.75) | 26.0 (17.5; 40.5) | 0.32 (0.13; 0.56) | 0.19 (0.11; 0.30) | 33.5 (11.0; 49.0) | 35.0 (29.0; 69.0) |
| Visit 1 (4 weeks after revascularization) | 65.5 (46.0; 63.75) | 49.0 (34.2; 63.75) | 0.51 (0.38; 0.67) | 0.34 (0.25; 0.43) | 39.0 (19; 59.0) | 38.5 (20.25; 59.5) |
| p-value | p < 0.001 * | p < 0.001 * | p = 0.002 * | p < 0.001 * | p < 0.001 * | p = 0.013 * |
| AP | TP | ABPI | TBPI | TcPO2 | SPP | |
|---|---|---|---|---|---|---|
| Healed n = 20 | 85.20 ± 37.5 | 55.0 (17.5; 40.5) | 0.57 ± 0.22 | 0.34 (0.27; 0.45) | 49.05 ± 18.5 | 55.76 ± 34.11 |
| Not healed n = 8 | 46.75 ± 28.09 | 33.0 (27.25; 43.25) | 0.39 ± 0.26 | 0.29 (0.18; 0.35) | 12.12 ± 12.33 | 30.66 ± 21.15 |
| p-value | p = 0.015 * | p = 0.008 * | p = 0.077 | p = 0.079 | p < 0.001 * | p = 0.108 |
| Combination of Noninvasive Tests | Cut-Off Point | Sensitivity | Specificity | PPV | NPV | PLR | NLR |
|---|---|---|---|---|---|---|---|
| AP and TP | 68–46 mmHg | 0.85 | 0.62 | 0.85 | 0.62 | 2.27 | 0.24 |
| ABPI and TBPI | 0.70–0.37 | 0.70 | 0.75 | 0.87 | 0.50 | 2.8 | 0.40 |
| TcPO2 and SPP | 24–37 mm Hg | 0.90 | 0.62 | 0.96 | 0.29 | 2.4 | 0.16 |
| TP and TcPO2 | 46–24 mmHg | 0.95 | 0.62 | 0.86 | 0.83 | 2.53 | 0.08 |
| AP | TP | ABPI | TBPI | TcPO2 | SPP | |
|---|---|---|---|---|---|---|
| Major amputation n = 4 | 30.75 ± 15.33 | 27.5 (15.75; 41.5) | 0.25 ± 0.16 | 0.23 (0.10; 0.32) | 6.00 ± 5.48 | 40.66 ± 24.95 |
| Not Major amputation n = 24 | 81.46 ± 36.81 | 52.0 (35.0; 69.5) | 0.56 ± 0.22 | 0.38 (0.27; 0.45) | 43.69 ± 21.27 | 50.50 ± 34.14 |
| p-value | p = 0.013 * | p = 0.012 * | p = 0.013 * | p = 0.059 | p < 0.001 * | p = 0.639 |
Disclaimer/Publisher’s Note: The statements, opinions and data contained in all publications are solely those of the individual author(s) and contributor(s) and not of MDPI and/or the editor(s). MDPI and/or the editor(s) disclaim responsibility for any injury to people or property resulting from any ideas, methods, instructions or products referred to in the content. |
© 2024 by the authors. Licensee MDPI, Basel, Switzerland. This article is an open access article distributed under the terms and conditions of the Creative Commons Attribution (CC BY) license (https://creativecommons.org/licenses/by/4.0/).
Share and Cite
Álvaro-Afonso, F.J.; García-Álvarez, Y.; García-Morales, E.A.; Flores-Escobar, S.; De Benito-Fernández, L.; Alfayate-García, J.; Sánchez-Ríos, J.P.; Puras-Mallagray, E.; Malo-Benages, E.J.; Ramírez-Ortega, M.; et al. Determining the Best Noninvasive Test for Peripheral Arterial Disease Diagnosis to Predict Diabetic Foot Ulcer Healing in Patients Following Endovascular Revascularization. Healthcare 2024, 12, 1664. https://doi.org/10.3390/healthcare12161664
Álvaro-Afonso FJ, García-Álvarez Y, García-Morales EA, Flores-Escobar S, De Benito-Fernández L, Alfayate-García J, Sánchez-Ríos JP, Puras-Mallagray E, Malo-Benages EJ, Ramírez-Ortega M, et al. Determining the Best Noninvasive Test for Peripheral Arterial Disease Diagnosis to Predict Diabetic Foot Ulcer Healing in Patients Following Endovascular Revascularization. Healthcare. 2024; 12(16):1664. https://doi.org/10.3390/healthcare12161664
Chicago/Turabian StyleÁlvaro-Afonso, Francisco Javier, Yolanda García-Álvarez, Esther Alicia García-Morales, Sebastián Flores-Escobar, Luis De Benito-Fernández, Jesús Alfayate-García, Juan Pedro Sánchez-Ríos, Enrique Puras-Mallagray, Esteban Javier Malo-Benages, Marta Ramírez-Ortega, and et al. 2024. "Determining the Best Noninvasive Test for Peripheral Arterial Disease Diagnosis to Predict Diabetic Foot Ulcer Healing in Patients Following Endovascular Revascularization" Healthcare 12, no. 16: 1664. https://doi.org/10.3390/healthcare12161664
APA StyleÁlvaro-Afonso, F. J., García-Álvarez, Y., García-Morales, E. A., Flores-Escobar, S., De Benito-Fernández, L., Alfayate-García, J., Sánchez-Ríos, J. P., Puras-Mallagray, E., Malo-Benages, E. J., Ramírez-Ortega, M., Redondo-López, S., Cecilia-Matilla, A., & Lázaro-Martínez, J. L. (2024). Determining the Best Noninvasive Test for Peripheral Arterial Disease Diagnosis to Predict Diabetic Foot Ulcer Healing in Patients Following Endovascular Revascularization. Healthcare, 12(16), 1664. https://doi.org/10.3390/healthcare12161664

