Specific Neurodynamic Exercises on Pain and Disability in Old Women with Chronic Mechanical Neck Pain: A Randomized Controlled Trial
Abstract
:1. Introduction
2. Materials and Methods
2.1. Study Design
2.2. Participants
2.3. Evaluations
- Pain (numeric pain rating scale, NPRS): The NPRS was used to determine the intensity of neck pain at the beginning and at the end of the intervention. Patients were asked to indicate the intensity of their neck pain at the time of the evaluation [21].
- Cervical disability (neck disability index, NDI): The NDI is the most commonly used current self-report measure for neck pain [22] and is a Spanish validated self-report questionnaire used to determine how neck pain affects the patient’s daily life and to assess the self-assessed disability of patients with neck pain [23].
- ROM (°): Cervical free joint range was measured using the CROM-3 cervical joint range measuring device (Performance Attainment Associates, St. Paul, MN, USA). It has been shown that ROM measured with a commonly used device does not seem to improve reliability compared to technological devices [24].
- Hand dynamometry (kg): Hand dynamometry was performed using a Jamar® Plus Hand Dynamometer device (Serial number 2019070288, Paterson Medical, Green Bay, WI, USA), which is considered the gold standard in assessing grip strength [25].
- Upper limb dynamometry (kg): Upper limb dynamometry was performed using a McroFET™ 2 device (Serial number 1B118W, Hoggan Scientific L.L.C., Salt Lake City, UT, USA) to assess the changes in the motor behaviour of the main metameric levels from which the main nerve trunks depart [26]. Level C5 (Fifth cervical level) was assessed with elbow flexion, C6 with wrist extension and C7 with elbow extension.
- Pain pressure threshold (kg/cm2): Pain pressure threshold was assessed using a Pain Test™ FCMI 25 digital algometer (Serial number J481317, Wagner Instruments, Greenwich, CT, USA). The points were the spinous nerves of C5, C6, C7, both median nerves and both tibialis anterior (TA) muscles to check possible systemic effects [27,28].
- Kinesiophobia: Kinesiophobia was evaluated using the TAMPA TSK-11 questionnaire, a self-reported questionnaire with 11 items that was developed to measure fear of movement [29].
- Catastrophizing: Catastrophizing was evaluated using the pain catastrophizing scale (PCS), a self-reported measure of 13 items that assesses the negative and exaggerated mental perception regarding a person’s experience of pain, both real and anticipated [30].
2.4. Interventions
- Neurodynamic group: The NM group exercises are explained in Appendix B (Table A2). They consist of neurodynamic median, ulnar and radial nerve gliding exercises and exercises of the main entrapment points described in thoracic outlet syndrome. The movement exercises were performed with 15 repetitions, 3 times with 30 s breaks. Stretching exercises were performed 1–2 times for 1 min. The TIDIER checklist was completed and is attached in the Supplementary Material.
- Non-specific exercise group: The NSE group completed an exercise program that consisted of walking and running at different paces, upper and lower limb strength exercises and balance exercises.
2.5. Statistical Analysis
3. Results
3.1. Baseline Characteristics of the Participants in Both Groups
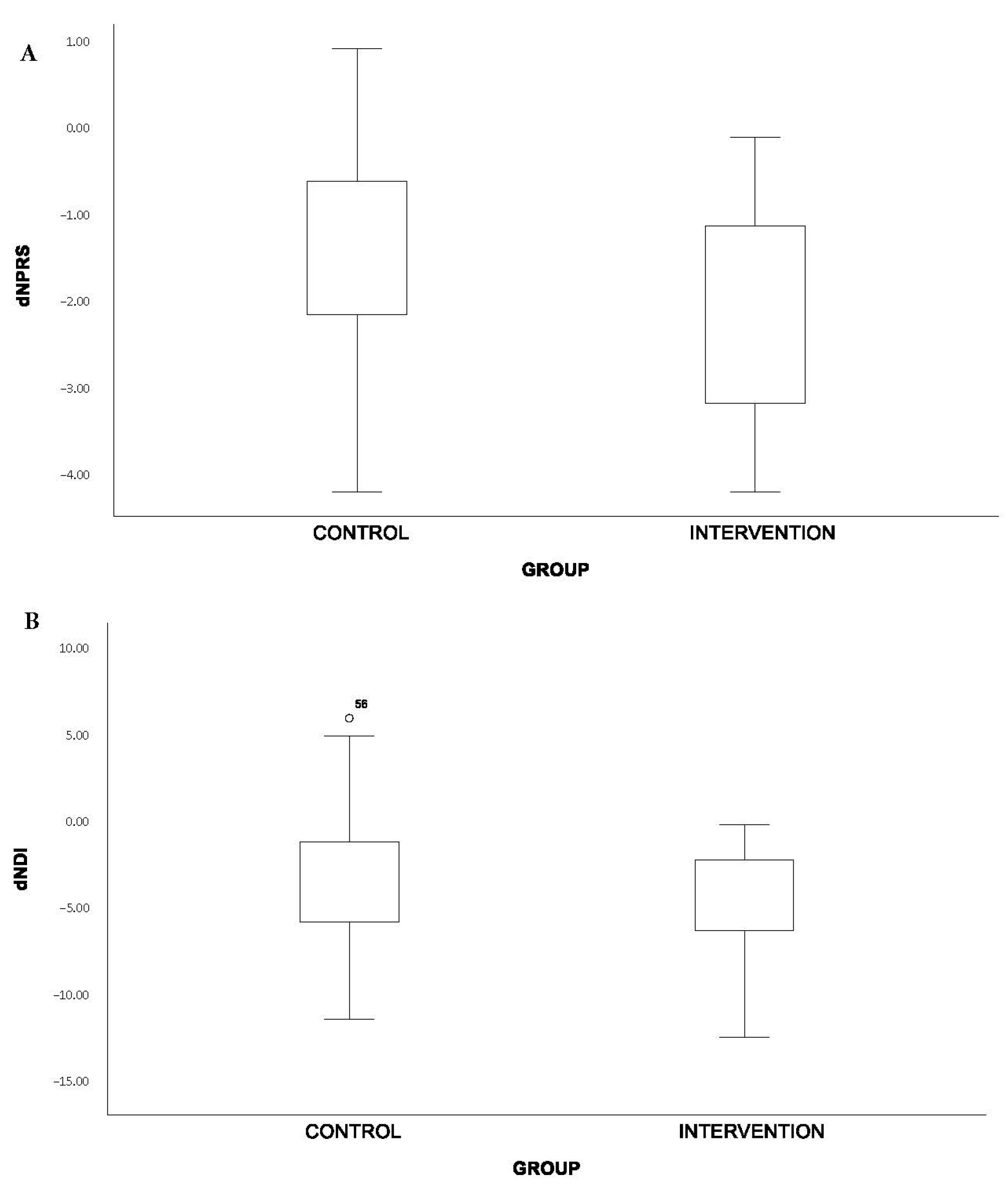
3.2. Main Results after the Interventions
4. Discussion
4.1. Discussion of Results
4.2. Limitations
4.3. Future Perspectives
5. Conclusions
Supplementary Materials
Author Contributions
Funding
Institutional Review Board Statement
Informed Consent Statement
Data Availability Statement
Acknowledgments
Conflicts of Interest
Appendix A
| Pain (Numeric Pain Rating Scale, NPRS) | Patients were asked to indicate the intensity of their neck pain at the time of the first evaluation using an 11-point scale (0: no pain, 10: worst pain imaginable). | ||
| Range of motion (ROM) | Patient placed in a chair with a backrest, without allowing the trunk to flex. Degrees of flexion, extension, rotation and inclination on both sides were measured. Each movement was measured three times, leaving 10 s between each movement. Cervical free joint range was measured using a CROM-3 cervical joint range measuring device. | ||
| Hand grip dynamometry | Patient sitting with elbow flexed at 90° and neutral pronosupination; patient was instructed “Squeeze with all your strength for 3 s.” Three alternate measurements of each hand were made. Performed using a Jamar® Plus Hand Dynamometer device (Serial number 2019070288, Paterson Medical, USA). | ||
| Upper limb dynamometer | The patient was instructed to perform a progressive force increase for two seconds and to maintain the maximum isometric force for three seconds, in such a way that the evaluator held the device immobile. Three measurements were made, leaving 10 s between contractions [26], alternating with the other arm per movement. Performed using a McroFET™ 2 device (Serial number 1B118W, Hoggan Scientific L.L.C., UT, USA) | Muscular action | Limb position |
| Elbow flexion | Neutral shoulder, elbow at 90° and supinated forearm. | ||
| Elbow extension | Neutral shoulder, elbow at 90° and forearm pronosupination neutral. | ||
| Wrist extension | Neutral shoulder, elbow at 90°, neutral pronosupination and neutral wrist. | ||
| Algometer | The patient was told that they had to say when the pressure in the point began to be annoying. A 1 cm2 head was used, and the pressure increased continuously at 0.3 kg/s. The mean of 3 trials was calculated for the main analysis with a 10 s break between each measurement [28]. Assessed using a Pain Test™ FCMI 25 digital algometer (Serial number J481317, Wagner Instruments, Greenwich, USA). | Algometer location points | |
| C5 | Spinous process of C5. | ||
| C6 | Spinous process of C6. | ||
| C7 | Spinous process of C7. | ||
| Median nerve | Nerve passage through the medial ulnar fossa. | ||
| Anterior tibialis | 2.5 cm lateral and 5 cm inferior to the anterior tubercle of the tibia to check possible systemic effects. | ||
| Neck disability index (NDI), TAMPA TSK-11 questionnaire (kinesiophobia) and pain catastrophizing scale (PCS) | Questionnaires were self-reported, and questions were answered when necessary. | ||
Appendix B
| Opening of the cervical foramen conjunctiva | Craniocervical and cervical flexion: perform correct craniocervical flexion and maintain it while performing full neck flexion. Cervical lateroflexion: perform neck bends without shoulder rise. |
| Stretching of the scalene muscles | Stretching focused on stretching the medial and anterior fascicles because the plexus passes between them. Performed with slight head extension and fixation of the shoulder stump downwards; the head is brought into a contralateral tilt and homolateral rotation. |
| Opening of the costoclavicular space | The aim is to descend the rib and ascend the clavicle. To do this, while performing a deep and continuous exhalation (costal descent), an elevation of the stump and an external glenohumeral rotation are performed. |
| Stretching of the pectoralis minor: | In a standing position, with the right forearm and hand resting on the frame of a pillar, the elbow higher than the shoulder and the forearm with an abduction of approximately 130 degrees (slightly higher than the shoulder stump), with external rotation and extension component until the tension is felt. |
| Serratus anterior activation: | Both hands are placed on a wall at shoulder height and retropulsions and antepulsions of the shoulder are performed. |
| Neurodynamic sliding of the median nerve | The parameters were descent, external rotation and abduction of the shoulder, straight elbow, supination of the forearm, dorsal flexion and extension and opening of the fingers. Once the parameters have been set, the glide is performed by tilting the head towards the arm while maintaining elbow extension. In the other direction, the neck is tilted towards the other side and the elbow is flexed while maintaining the rest of the parameters. |
| Neurodynamic sliding of the radial nerve: | The parameters were descent, internal rotation and abduction of the shoulder, elbow in extension, pronation of the forearm, palmar flexion and flexion of the fingers. Once the parameters have been established, the slide is performed by tilting the head towards the arm while maintaining elbow extension. In the other direction, the neck is tilted towards the other side and the elbow is flexed while maintaining the rest of the parameters. |
| Neurodynamics of ulnar nerve gliding: | The parameters were descent, external rotation and abduction of the shoulder, flexion of the elbow, supination of the forearm, dorsal flexion of the wrist and closed fist. Once the parameters were established, the slide was performed by tilting the head towards the arm while increasing elbow flexion. In the other direction, the neck is tilted to the other side and the elbow is extended while maintaining the rest of the parameters. |
References
- Kazeminasab, S.; Nejadghaderi, S.A.; Amiri, P.; Pourfathi, H.; Araj-Khodaei, M.; Sullman, M.J.M.; Kolahi, A.-A.; Safiri, S. Neck pain: Global epidemiology, trends and risk factors. BMC Musculoskelet. Disord. 2022, 23, 26. [Google Scholar] [CrossRef] [PubMed]
- Jordan, K.P.; Kadam, U.T.; Hayward, R.; Porcheret, M.; Young, C.; Croft, P. Annual consultation prevalence of regional musculoskeletal problems in primary care: An observational study. BMC Musculoskelet. Disord. 2010, 11, 144. [Google Scholar] [CrossRef] [PubMed]
- Blanpied, P.R.; Gross, A.R.; Elliott, J.M.; Devaney, L.L.; Clewley, D.; Walton, D.M.; Sparks, C.; Robertson, E.K. Neck Pain: Revision 2017. J. Orthop. Sports Phys. Ther. 2017, 47, A1–A83. [Google Scholar] [CrossRef] [PubMed]
- Judge, S.T.; Clasey, J.L.; Crofford, L.J.; Segerstrom, S.C. Optimism and Pain Interference in Aging Women. Ann. Behav. Med. 2020, 54, 202–212. [Google Scholar] [CrossRef] [PubMed]
- Xu, Y.; Wang, Y.; Chen, J.; He, Y.; Zeng, Q.; Huang, Y.; Xu, X.; Lu, J.; Wang, Z.; Sun, X.; et al. The comorbidity of mental and physical disorders with self-reported chronic back or neck pain: Results from the China mental health survey. J. Affect. Disord. 2020, 260, 334–341. [Google Scholar] [CrossRef] [PubMed]
- Falsiroli Maistrello, L.; Zanconato, L.; Palese, A.; Geri, T.; Turolla, A.; Gianola, S.; Dell’Isola, A.; Rossettini, G. Perceptions and Experiences of Individuals with Neck Pain: A Systematic Critical Review of Qualitative Studies with Meta-Summary and Meta-Synthesis. Phys. Ther. 2022, 102, pzac080. [Google Scholar] [CrossRef] [PubMed]
- Coppieters, M.W.; Butler, D.S. Do ‘sliders’ slide and ‘tensioners’ tension? An analysis of neurodynamic techniques and considerations regarding their application. Man Ther. 2008, 13, 213–221. [Google Scholar] [CrossRef] [PubMed]
- Pratt, N. Anatomy of nerve entrapment sites in the upper quarter. J. Hand. Ther. 2005, 18, 216–229. [Google Scholar] [CrossRef]
- Ellis, R.; Carta, G.; Andrade, R.J.; Coppieters, M.W. Neurodynamics: Is tension contentious? J. Man Manip. Ther. 2022, 30, 3–12. [Google Scholar] [CrossRef]
- Gupta, R.; Chahal, A. Comparative Effect of Dry Needling and Neural Mobilization on Pain, Strength, Range of Motion, and Quality of Life in Patients with Lateral Epicondylitis: Protocol for Randomized Clinical Trial. J. Chiropr. Med. 2021, 20, 77–84. [Google Scholar] [CrossRef]
- Alhowimel, A.S.; Alotaibi, M.A.; Alenazi, A.M.; Alqahtani, B.A.; Alshehri, M.A.; Alamam, D.; Alodaibi, F.A. Psychosocial Predictors of Pain and Disability Outcomes in People with Chronic Low Back Pain Treated Conservatively by Guideline-Based Intervention: A Systematic Review. J. Multidiscip. Healthc. 2021, 14, 3549–3559. [Google Scholar] [CrossRef] [PubMed]
- Linton, S.J. A Review of Psychological Risk Factors in Back and Neck Pain. Spine 2000, 25, 1148–1156. [Google Scholar] [CrossRef] [PubMed]
- Fredin, K.; Lorås, H. Manual therapy, exercise therapy or combined treatment in the management of adult neck pain—A systematic review and meta-analysis. Musculoskelet. Sci. Pract. 2017, 31, 62–71. [Google Scholar] [CrossRef] [PubMed]
- Castellini, G.; Pillastrini, P.; Vanti, C.; Bargeri, S.; Giagio, S.; Bordignon, E.; Fasciani, F.; Marzioni, F.; Innocenti, T.; Chiarotto, A.; et al. Some conservative interventions are more effective than others for people with chronic non-specific neck pain: A systematic review and network meta-analysis. J. Physiother. 2022, 68, 244–254. [Google Scholar] [CrossRef] [PubMed]
- Gross, A.; Langevin, P.; Burnie, S.J.; Bédard-Brochu, M.S.; Empey, B.; Dugas, E.; Faber-Dobrescu, M.; Andres, C.; Graham, N.; Goldsmith, C.H.; et al. Manipulation and mobilisation for neck pain contrasted against an inactive control or another active treatment. Cochrane Database Syst. Rev. 2015. [Google Scholar] [CrossRef] [PubMed]
- Lew, J.; Kim, J.; Nair, P. Comparison of dry needling and trigger point manual therapy in patients with neck and upper back myofascial pain syndrome: A systematic review and meta-analysis. J. Man Manip. Ther. 2021, 29, 136–146. [Google Scholar] [CrossRef] [PubMed]
- Senarath, I.D.; Chen, K.K.; Weerasekara, I.; de Zoete, R.M.J. Exercise-induced hypoalgesic effects of different types of physical exercise in individuals with neck pain: A systematic review and meta-analysis. Pain Pract. 2023, 23, 110–122. [Google Scholar] [CrossRef] [PubMed]
- Basson, A.; Olivier, B.; Ellis, R.; Coppieters, M.; Stewart, A.; Mudzi, W. The Effectiveness of Neural Mobilization for Neuromusculoskeletal Conditions: A Systematic Review and Meta-analysis. J. Orthop. Sports Phys. Ther. 2017, 47, 593–615. [Google Scholar] [CrossRef]
- De-la-Cruz-Torres, B.; Abuín-Porras, V.; Navarro-Flores, E.; Calvo-Lobo, C.; Romero-Morales, C. Ultrasound-Guided Percutaneous Neuromodulation in Patients with Chronic Lateral Epicondylalgia: A Pilot Randomized Clinical Trial. Int. J. Environ. Res. Public Health 2021, 18, 4877. [Google Scholar] [CrossRef]
- Cobos-Carbó, A.; Augustovski, F. CONSORT 2010 statement: Update of the checklist for reporting parallel group randomized clinical trials. Med. Clin. 2011, 137, 213–215. [Google Scholar] [CrossRef]
- Hawker, G.A.; Mian, S.; Kendzerska, T.; French, M. Measures of adult pain: Visual Analog Scale for Pain (VAS Pain), Numeric Rating Scale for Pain (NRS Pain), McGill Pain Questionnaire (MPQ), Short-Form McGill Pain Questionnaire (SF-MPQ), Chronic Pain Grade Scale (CPGS), Short Form-36 Bodily Pain Scale (SF-36 BPS), and Measure of Intermittent and Constant Osteoarthritis Pain (ICOAP). Arthritis Care Res. 2011, 63 (Suppl. 11), S240–S252. [Google Scholar] [CrossRef]
- MacDermid, J.C.; Walton, D.M.; Avery, S.; Blanchard, A.; Etruw, E.; McAlpine, C.; Goldsmith, C.H. Measurement properties of the neck disability index: A systematic review. J. Orthop. Sports Phys. Ther. 2009, 39, 400–417. [Google Scholar] [CrossRef] [PubMed]
- Andrade Ortega, J.A.; Delgado Martínez, A.D.; Almécija Ruiz, R. Validation of the Spanish version of the Neck Disability Index. Spine 2010, 35, E114–E118. [Google Scholar] [CrossRef] [PubMed]
- Rondoni, A.; Rossettini, G.; Ristori, D.; Gallo, F.; Strobe, M.; Giaretta, F.; Battistin, A.; Testa, M. Intrarater and Inter-rater Reliability of Active Cervical Range of Motion in Patients with Nonspecific Neck Pain Measured with Technological and Common Use Devices: A Systematic Review with Meta-regression. J. Manip. Physiol. Ther. 2017, 40, 597–608. [Google Scholar] [CrossRef] [PubMed]
- Cildan Uysal, S.; Tonak, H.A.; Kitis, A. Validity, reliability and test-retest study of Grip strength measurement in two positions with two dynamometers: Jamar® Plus and K-Force® Grip. Hand Surg. Rehabil. 2022, 41, 305–310. [Google Scholar] [CrossRef] [PubMed]
- Bohannon, R.W. Reference values for extremity muscle strength obtained by hand-held dynamometry from adults aged 20 to 79 years. Arch. Phys. Med. Rehabil. 1997, 78, 26–32. [Google Scholar] [CrossRef]
- Walton, D.M.; Macdermid, J.C.; Nielson, W.; Teasell, R.W.; Chiasson, M.; Brown, L. Reliability, standard error, and minimum detectable change of clinical pressure pain threshold testing in people with and without acute neck pain. J. Orthop. Sports Phys. Ther. 2011, 41, 644–650. [Google Scholar] [CrossRef]
- García-Pérez-Juana, D.; Fernández-de-Las-Peñas, C.; Arias-Buría, J.L.; Cleland, J.A.; Plaza-Manzano, G.; Ortega-Santiago, R. Changes in Cervicocephalic Kinesthetic Sensibility, Widespread Pressure Pain Sensitivity, and Neck Pain after Cervical Thrust Manipulation in Patients with Chronic Mechanical Neck Pain: A Randomized Clinical Trial. J. Manip. Physiol. Ther. 2018, 41, 551–560. [Google Scholar] [CrossRef]
- Gómez-Pérez, L.; López-Martínez, A.E.; Ruiz-Párraga, G.T. Psychometric Properties of the Spanish Version of the Tampa Scale for Kinesiophobia (TSK). J. Pain. 2011, 12, 425–435. [Google Scholar] [CrossRef]
- García Campayo, J.; Rodero, B.; Alda, M.; Sobradiel, N.; Montero, J.; Moreno, S. Validación de la versión española de la escala de la catastrofización ante el dolor (Pain Catastrophizing Scale) en la fibromialgia [Validation of the Spanish version of the Pain Catastrophizing Scale in fibromyalgia]. Med. Clin. 2008, 131, 487–492. (In Spanish) [Google Scholar] [CrossRef]
- Cuenca-Martínez, F.; La Touche, R.; Varangot-Reille, C.; Sardinoux, M.; Bahier, J.; Suso-Martí, L.; Fernández-Carnero, J. Effects of Neural Mobilization on Pain Intensity, Disability, and Mechanosensitivity: An Umbrella Review with Meta-Meta-Analysis. Phys. Ther. 2022, 102, pzac040. [Google Scholar] [CrossRef] [PubMed]
- Corp, N.; Mansell, G.; Stynes, S.; Wynne-Jones, G.; Morsø, L.; Hill, J.C.; van der Windt, D.A. Evidence-based treatment recommendations for neck and low back pain across Europe: A systematic review of guidelines. Eur. J. Pain 2021, 25, 275–295. [Google Scholar] [CrossRef] [PubMed]
- Cleland, J.A.; Childs, J.D.; Whitman, J.M. Psychometric properties of the Neck Disability Index and Numeric Pain Rating Scale in patients with mechanical neck pain. Arch. Phys. Med. Rehabil. 2008, 89, 69–74. [Google Scholar] [CrossRef] [PubMed]
- Bogduk, N.; Mercer, S. Biomechanics of the cervical spine. I: Normal kinematics. Clin. Biomech. 2000, 15, 633–648. [Google Scholar] [CrossRef] [PubMed]
- Vicenzino, B.; Neal, R.; Collins, D.; Wright, A. The displacement, velocity and frequency profile of the frontal plane motion produced by the cervical lateral glide treatment technique. Clin. Biomech. 1999, 14, 515–521. [Google Scholar] [CrossRef] [PubMed]
- Thoomes, E.; Ellis, R.; Dilley, A.; Falla, D.; Thoomes-de Graaf, M. Excursion of the median nerve during a contra-lateral cervical lateral glide movement in people with and without cervical radiculopathy. Musculoskelet. Sci. Pract. 2021, 52, 102349. [Google Scholar] [CrossRef]
- Gallego-Sendarrubias, G.M.; Rodríguez-Sanz, D.; Calvo-Lobo, C.; Martín, J.L. Efficacy of dry needling as an adjunct to manual therapy for patients with chronic mechanical neck pain: A randomised clinical trial. Acupunct. Med. 2020, 38, 244–254. [Google Scholar] [CrossRef]
- Young, B.A.; Boland, D.M.; Manzo, A.; Yaw, H.; Carlson, B.; Carrier, S.; Corcoran, K.; Dial, M.; Briggs, R.B.; Tragord, B.; et al. Immediate Effects of Adding Dry Needling to Thoracic Manipulation and Exercise in Cervical Range of Motion for Adults with Neck Pain: A Randomized Clinical Trial. J. Manip. Physiol. Ther. 2022, 45, 531–542. [Google Scholar] [CrossRef]
- De Meulemeester, K.E.; Castelein, B.; Coppieters, I.; Barbe, T.; Cools, A.; Cagnie, B. Comparing Trigger Point Dry Needling and Manual Pressure Technique for the Management of Myofascial Neck/Shoulder Pain: A Randomized Clinical Trial. J. Manip. Physiol. Ther. 2017, 40, 11–20. [Google Scholar] [CrossRef]
- Neto, T.; Freitas, S.R.; Marques, M.; Gomes, L.; Andrade, R.; Oliveira, R. Effects of lower body quadrant neural mobilization in healthy and low back pain populations: A systematic review and meta-analysis. Musculoskelet. Sci. Pract. 2017, 27, 14–22. [Google Scholar] [CrossRef]
- Torres, J.R.; Martos, I.C.; Sánchez, I.T.; Rubio, A.O.; Pelegrina, A.D.; Valenza, M.C. Results of an Active Neurodynamic Mobilization Program in Patients with Fibromyalgia Syndrome: A Randomized Controlled Trial. Arch. Phys. Med. Rehabil. 2015, 96, 1771–1778. [Google Scholar] [CrossRef] [PubMed]
- De Dios Pérez-Bruzón, J.; Fernández-de-Las-Peñas, C.; Cleland, J.A.; Plaza-Manzano, G.; Ortega-Santiago, R. Effects of neurodynamic interventions on pain sensitivity and function in patients with multiple sclerosis: A randomized clinical trial. Physiotherapy 2022, 115, 36–45. [Google Scholar] [CrossRef] [PubMed]
- De Zoete, R.M.; Armfield, N.R.; McAuley, J.H.; Chen, K.; Sterling, M. Comparative effectiveness of physical exercise interventions for chronic non-specific neck pain: A systematic review with network meta-analysis of 40 randomised controlled trials. Br. J. Sports Med. 2021, 55, 730–742. [Google Scholar] [CrossRef] [PubMed]
- Dueñas, L.; Aguilar-Rodríguez, M.; Voogt, L.; Lluch, E.; Struyf, F.; Mertens, M.G.C.A.M.; Meulemeester, K.; Meeus, M. Specific versus Non-Specific Exercises for Chronic Neck or Shoulder Pain: A Systematic Review. J. Clin. Med. 2021, 10, 5946. [Google Scholar] [CrossRef] [PubMed]
- McCormick, S.A.; Causer, J.; Holmes, P.S. Active vision during action execution, observation and imagery: Evidence for shared motor representations. PLoS ONE 2013, 8, e67761. [Google Scholar] [CrossRef] [PubMed]
- Sluka, K.A.; Frey-Law, L.; Hoeger Bement, M. Exercise-induced pain and analgesia? Underlying mechanisms and clinical translation. Pain 2018, 159 (Suppl. 1), S91–S97. [Google Scholar] [CrossRef] [PubMed]
- Pedersini, P.; Valdes, K.; Cantero-Tellez, R.; Cleland, J.A.; Bishop, M.D.; Villafañe, J.H. Effects of Neurodynamic Mobilizations on Pain Hypersensitivity in Patients with Hand Osteoarthritis Compared to Robotic Assisted Mobilization: A Randomized Controlled Trial. Arthritis Care Res. 2021, 73, 232–239. [Google Scholar] [CrossRef]
- You, M.; Wang, Z.; Yang, H.; Chen, B.; Yang, L.; Li, J. The use of neurodynamic mobilization in patients with cervical spondylotic radiculopathy. In Mild Pain or Pain-Free Range? A Randomized Controlled Trial; Research Square: Durham, NC, USA, 2022. [Google Scholar] [CrossRef]
- Ayub, A.; Osama, M.; Ahmad, S. Effects of active versus passive upper extremity neural mobilization combined with mechanical traction and joint mobilization in females with cervical radiculopathy: A randomized controlled trial. J. Back Musculoskelet. Rehabil. 2019, 32, 725–730. [Google Scholar] [CrossRef]
- Malfliet, A.; Coppieters, I.; Van Wilgen, P.; Kregel, J.; De Pauw, R.; Dolphens, M.; Ickmans, K. Brain changes associated with cognitive and emotional factors in chronic pain: A systematic review. Eur. J. Pain 2017, 21, 769–786. [Google Scholar] [CrossRef]
- De Oliveira Lima, L.; Saragiotto, B.T.; Costa, L.O.P.; Nogueira, L.C.; Meziat-Filho, N.; Reis, F.J.J. Self-Guided Web-Based Pain Education for People with Musculoskeletal Pain: A Systematic Review and Meta-Analysis. Phys. Ther. 2021, 101, pzab167. [Google Scholar] [CrossRef]
- Siddall, B.; Ram, A.; Jones, M.D.; Booth, J.; Perriman, D.; Summers, S.J. Short-term impact of combining pain neuroscience education with exercise for chronic musculoskeletal pain: A systematic review and meta-analysis. Pain 2022, 163, e20–e30. [Google Scholar] [CrossRef] [PubMed]
- Javdaneh, N.; Saeterbakken, A.H.; Shams, A.; Barati, A.H. Pain Neuroscience Education Combined with Therapeutic Exercises Provides Added Benefit in the Treatment of Chronic Neck Pain. Int. J. Environ. Res. Public Health 2021, 18, 8848. [Google Scholar] [CrossRef] [PubMed]
- Malfliet, A.; Kregel, J.; Coppieters, I.; De Pauw, R.; Meeus, M.; Roussel, N.; Cagnie, B.; Danneels, L.; Nijs, J. Effect of Pain Neuroscience Education Combined with Cognition-Targeted Motor Control Training on Chronic Spinal Pain: A Randomized Clinical Trial. JAMA Neurol. 2018, 75, 808–817. [Google Scholar] [CrossRef] [PubMed]


| NM Group (n = 28) | NSE Group (n = 28) | Shapiro–Wilk’s Test | Levene’s Test | |
|---|---|---|---|---|
| Sig. | Sig. | |||
| NPRS | 5.54 ± 1.47 | 5.19 ± 1.5 | 0.212 | 0.703 |
| NDI | 23.23 ± 5.23 | 21.85 ± 4.23 | 0.182 | 0.531 |
| ROM flex | 48.73 ± 16.26 | 41.59 ± 11.98 | 0.666 | 0.156 |
| ROM ext | 55.42 ± 15.71 | 51.41 ± 14.59 | 0.304 | 0.580 |
| ROM rot R | 54.04 ± 17.60 | 51.44 ± 17.63 | 0.772 | 0.493 |
| ROM rot L | 56.46 ± 17.04 | 54.19 ± 18.74 | 0.550 | 0.310 |
| ROM incl R | 29.88 ± 9.76 | 31.96 ± 8.12 | 0.058 | 0.184 |
| ROM incl L | 34.23 ± 10.58 | 32.00 ± 9.42 | 0.097 | 0.625 |
| HG R | 18.74 ± 5.04 | 18.34 ± 5.04 | 0.909 | 0.754 |
| HG L | 20.13 ± 3.77 | 18.94 ± 3.77 | 0.749 | 0.096 |
| D. elbow flex R | 74.98 ± 22.42 | 65.98 ± 22.42 | 0.762 | 0.740 |
| D. elbow flex L | 73.93 ± 22.37 | 67.69 ± 22.37 | 0.107 | 0.652 |
| D. wrist ext R | 56.90 ± 17.08 | 52.20 ± 12.51 | 0.300 | 0.071 |
| D. wrist ext L | 51.273 ± 16.67 | 47.87 ± 14.14 | 0.101 | 0.190 |
| D. elbow ext R | 67.84 ± 22.94 | 55.75 ± 22.94 | 0.383 | 0.050 |
| D. elbow ext L | 64.98 ± 23.29 | 52.03 ± 23.29 | 0.084 | 0.378 |
| PPT C5 | 2.24 ± 0.99 | 2.20 ± 0.74 | 0.370 | 0.338 |
| PPT C6 | 2.30 ± 1.06 | 2.27 ± 0.73 | 0.723 | 0.138 |
| PPT C7 | 2.35 ± 1.02 | 2.27 ± 0.86 | 0.064 | 0.586 |
| PPT med. R | 2.49 ± 0.70 | 2.55 ± 0.80 | 0.031 | 0.699 |
| PPT med. L | 2.60 ± 0.95 | 2.59 ± 0.93 | 0.333 | 0.780 |
| PPT TA R | 2.82 ± 1.01 | 2.76 ± 0.66 | 0.015 | 0.042 |
| PPT TA L | 2.69 ± 1.24 | 2.51 ± 0.75 | 0.360 | 0.040 |
| PCS | 16.54 ± 11 | 12.37 ± 10.20 | 0.010 | 0.539 |
| TAMPA | 27.62 ± 6.65 | 25.33 ± 7.39 | 0.660 | 0.664 |
| NM Group (n = 26) | NSE Group (n = 27) | Student’s t-Test for Equality of Means | d Cohen | |||
|---|---|---|---|---|---|---|
| Variables | Sig. | Sig. | Sig. | d | ||
| NPRS | −2.12 ± 1.14 | <0.001 | −1.56 ± 1.53 | 0.005 | 0.069 | 0.414 |
| NDI | −4.15 ± 2.86 | <0.001 | −2.89 ± 3.92 | <0.001 | 0.094 | 0.367 |
| ROM flex | −2.65 ± 14.74 | <0.001 | −2.89 ± 14.54 | <0.001 | 0.477 | −0.016 |
| ROM ext | 10.96 ± 9.04 | <0.001 | 6.41 ± 11.65 | <0.001 | 0.059 | −0.436 |
| ROM rot R | 8.80 ± 6.47 | <0.001 | 9.44 ± 14.67 | 0.001 | 0.420 | 0.056 |
| ROM rot L | 4.88 ± 9.80 | <0.001 | 6.92 ± 14.21 | <0.001 | 0.273 | 0.167 |
| ROM incl R | 5.61 ± 5.51 | <0.001 | 2.37 ± 8.34 | 0.012 | 0.051 | −0.457 |
| ROM incl L | 4.5 ± 7.31 | <0.001 | 3.7 ± 8.36 | 0.002 | 0.357 | −0.101 |
| HG R | 2.42 ± 2.5 | <0.001 | 1.8 ± 2.98 | <0.001 | 0.210 | −0.223 |
| HG L | 0.76 ± 2.16 | <0.001 | 0.42 ± 3.08 | <0.001 | 0.319 | −0.130 |
| D. elbow flex R | 9.77 ± 13.34 | <0.001 | 9.32 ± 14.3 | <0.001 | 0.453 | −0.032 |
| D. elbow flex L | 7.42 ± 20.24 | 0.003 | 7.85 ± 13.88 | <0.001 | 0.465 | 0.025 |
| D. wrist ext R | 11.83 ± 11.76 | <0.001 | 7.45 ± 9.07 | <0.001 | 0.068 | −0.417 |
| D. wrist ext L | 7.42 ± 20.24 | <0.001 | 7.85 ± 13.88 | <0.001 | 0.465 | 00.25 |
| D. elbow ext R | 12.01 ± 14.51 | <0.001 | 8.62 ± 12.89 | <0.001 | 0.186 | −0.247 |
| D. elbow ext L | 11.37 ± 11.33 | <0.001 | 8.97 ± 14.55 | <0.001 | 0.255 | −0.184 |
| PPT C5 | 0.75 ± 0.55 | <0.001 | 0.53 ± 0.57 | <0.001 | 0.073 | −0.406 |
| PPT C6 | 0.77 ± 0.53 | <0.001 | 0.39 ± 0.66 | <0.001 | 0.012 | −0.638 |
| PPT C7 | 0.79 ± 0.44 | <0.001 | 0.46 ± 0.75 | <0.001 | 0.029 | −0.535 |
| PPT med. R * | 0.89 ± 0.71 | <0.001 | 0.98 ± 4.59 | 0.283 | 0.461 | 0.027 |
| PPT med. L | 0.68 ± 0.79 | <0.001 | 0.35 ± 0.72 | <0.001 | 00.60 | −0.439 |
| PPT TA R * | 0.89 ± 0.65 | <0.001 | 0.40 ± 0.74 | 0.012 | 0.007 | −0.693 |
| PPT TA L * | 0.98 ± 0.68 | <0.001 | 0.63 ± 0.73 | <0.001 | 0.039 | −0.501 |
| PCS * | 4.08 ± 6.18 | 0.002 | 2 ± 5.2 | 0.032 | 0.096 | 0.364 |
| TAMPA | −4.15 ± 5.66 | <0.001 | −2.48 ± 4.57 | <0.001 | 0.121 | 0.276 |
Disclaimer/Publisher’s Note: The statements, opinions and data contained in all publications are solely those of the individual author(s) and contributor(s) and not of MDPI and/or the editor(s). MDPI and/or the editor(s) disclaim responsibility for any injury to people or property resulting from any ideas, methods, instructions or products referred to in the content. |
© 2023 by the authors. Licensee MDPI, Basel, Switzerland. This article is an open access article distributed under the terms and conditions of the Creative Commons Attribution (CC BY) license (https://creativecommons.org/licenses/by/4.0/).
Share and Cite
Polo-Ferrero, L.; Canchal-Crespo, D.; Sáez-Gutiérrez, S.; Dávila-Marcos, A.; Puente-González, A.S.; Méndez-Sánchez, R. Specific Neurodynamic Exercises on Pain and Disability in Old Women with Chronic Mechanical Neck Pain: A Randomized Controlled Trial. Healthcare 2024, 12, 20. https://doi.org/10.3390/healthcare12010020
Polo-Ferrero L, Canchal-Crespo D, Sáez-Gutiérrez S, Dávila-Marcos A, Puente-González AS, Méndez-Sánchez R. Specific Neurodynamic Exercises on Pain and Disability in Old Women with Chronic Mechanical Neck Pain: A Randomized Controlled Trial. Healthcare. 2024; 12(1):20. https://doi.org/10.3390/healthcare12010020
Chicago/Turabian StylePolo-Ferrero, Luis, David Canchal-Crespo, Susana Sáez-Gutiérrez, Arturo Dávila-Marcos, Ana Silvia Puente-González, and Roberto Méndez-Sánchez. 2024. "Specific Neurodynamic Exercises on Pain and Disability in Old Women with Chronic Mechanical Neck Pain: A Randomized Controlled Trial" Healthcare 12, no. 1: 20. https://doi.org/10.3390/healthcare12010020
APA StylePolo-Ferrero, L., Canchal-Crespo, D., Sáez-Gutiérrez, S., Dávila-Marcos, A., Puente-González, A. S., & Méndez-Sánchez, R. (2024). Specific Neurodynamic Exercises on Pain and Disability in Old Women with Chronic Mechanical Neck Pain: A Randomized Controlled Trial. Healthcare, 12(1), 20. https://doi.org/10.3390/healthcare12010020

