Self-Reported Moderate-to-Vigorous Physical Activity: Its Association with Health-Related Quality of Life in a Large Cohort of People with Chronic Diseases
Abstract
:1. Introduction
2. Methods
2.1. Participants and Procedure
2.2. Chronic Diseases
2.3. Physical Activity
2.4. Health-Related Quality of Life
2.5. Potential Confounding Variables
2.6. Statistical Analyses
3. Results
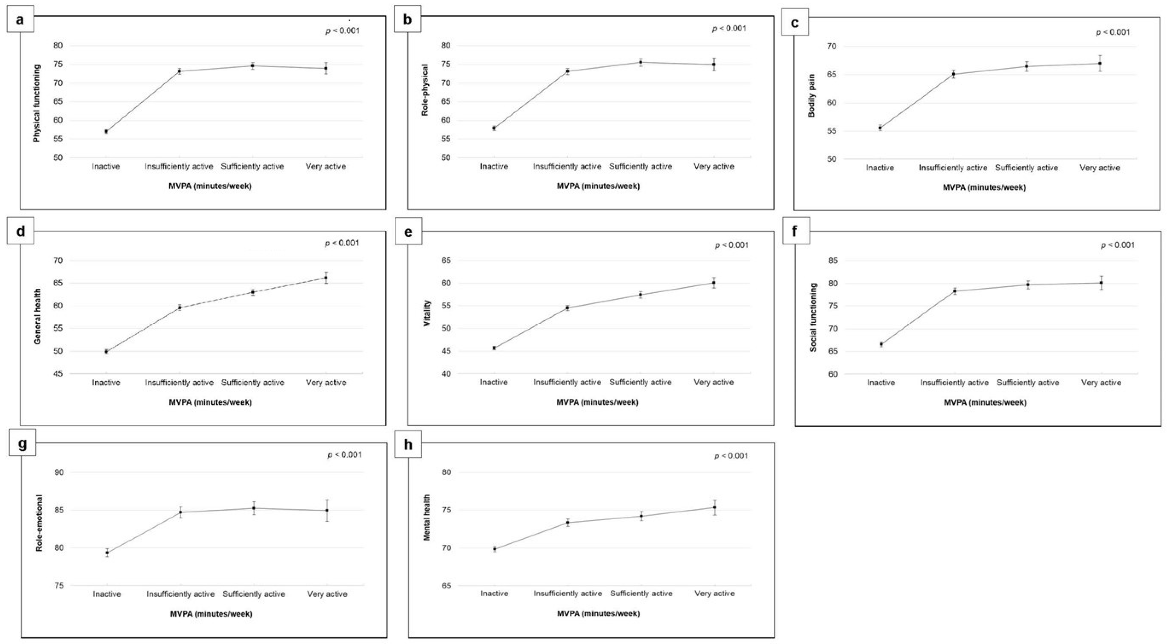
Physical Activity and Health-Related Quality of Life
4. Discussion
5. Conclusions
Supplementary Materials
Author Contributions
Funding
Institutional Review Board Statement
Informed Consent Statement
Data Availability Statement
Conflicts of Interest
References
- Katzmarzyk, P.T.; Friedenreich, C.; Shiroma, E.J.; Lee, I.-M. Physical inactivity and non-communicable disease burden in low-income, middle-income and high-income countries. Br. J. Sports Med. 2022, 56, 101–106. [Google Scholar] [CrossRef] [PubMed]
- Lee, I.-M.; Shiroma, E.J.; Lobelo, F.; Puska, P.; Blair, S.N.; Katzmarzyk, P.T. Effect of physical inactivity on major non-communicable diseases worldwide: An analysis of burden of disease and life expectancy. Lancet 2012, 380, 219–229. [Google Scholar] [CrossRef] [PubMed]
- Kohl, H.W., 3rd; Craig, C.L.; Lambert, E.V.; Inoue, S.; Alkandari, J.R.; Leetongin, G.; Kahlmeier, S.; Lancet Physical Activity Series Working Group. The pandemic of physical inactivity: Global action for public health. Lancet 2012, 380, 294–305. [Google Scholar] [CrossRef] [PubMed]
- Ramachandran, A.; Snehalatha, C.; Ma, R.C. Diabetes in South-East Asia: An update. Diabetes Res. Clin. Pract. 2014, 103, 231–237. [Google Scholar] [CrossRef] [PubMed]
- Anderson, E.; Durstine, J.L. Physical activity, exercise, and chronic diseases: A brief review. Sports Med. Health Sci. 2019, 1, 3–10. [Google Scholar] [CrossRef] [PubMed]
- World Health Organization. Noncommunicable Diseases. Available online: https://www.who.int/news-room/fact-sheets/detail/noncommunicable-diseases (accessed on 1 October 2023).
- Naghavi, M.; Abajobir, A.A.; Abbafati, C.; Abbas, K.M.; Abd-Allah, F.; Abera, S.F.; Aboyans, V.; Adetokunboh, O.; Afshin, A.; Agrawal, A. Global, regional, and national age-sex specific mortality for 264 causes of death, 1980–2016: A systematic analysis for the Global Burden of Disease Study 2016. Lancet 2017, 390, 1151–1210. [Google Scholar] [CrossRef] [PubMed]
- Unwin, N.; Alberti, K.G. Chronic non-communicable diseases. Ann. Trop. Med. Parasitol. 2006, 100, 455–464. [Google Scholar] [CrossRef]
- Durstine, J.L.; Gordon, B.; Wang, Z.; Luo, X. Chronic disease and the link to physical activity. J. Sport Health Sci. 2013, 2, 3–11. [Google Scholar] [CrossRef]
- Bloom, D.E.; Cafiero, E.; Jané-Llopis, E.; Abrahams-Gessel, S.; Bloom, L.R.; Fathima, S.; Feigl, A.B.; Gaziano, T.; Hamandi, A.; Mowafi, M. The Global Economic Burden of Noncommunicable Diseases; Program on the Global Demography of Aging; World Economic Forum: Geneva, Switzerland, 2012. [Google Scholar]
- Franssen, P.M.; Bultmann, U.; Kant, I.; van Amelsvoort, L.G. The association between chronic diseases and fatigue in the working population. J. Psychosom. Res. 2003, 54, 339–344. [Google Scholar] [CrossRef]
- Megari, K. Quality of Life in Chronic Disease Patients. Health Psychol. Res. 2013, 1, e27. [Google Scholar] [CrossRef]
- Thommasen, H.V.; Zhang, W. Impact of chronic disease on quality of life in the Bella Coola Valley. Rural Remote Health 2006, 6, 528. [Google Scholar] [CrossRef]
- Niemi, M.L.; Laaksonen, R.; Kotila, M.; Waltimo, O. Quality of life 4 years after stroke. Stroke 1988, 19, 1101–1107. [Google Scholar] [CrossRef] [PubMed]
- Anokye, N.K.; Trueman, P.; Green, C.; Pavey, T.G.; Taylor, R.S. Physical activity and health related quality of life. BMC Public Health 2012, 12, 624. [Google Scholar] [CrossRef] [PubMed]
- Barcaccia, B.; Esposito, G.; Matarese, M.; Bertolaso, M.; Elvira, M.; De Marinis, M.G. Defining quality of life: A wild-goose chase? Eur. J. Psychol. 2013, 9. [Google Scholar] [CrossRef]
- Hossain, M.M.; Tasnim, S.; Sharma, R.; Sultana, A.; Shaik, A.F.; Faizah, F.; Kaur, R.; Uppuluri, M.; Sribhashyam, M.; Bhattacharya, S. Digital interventions for people living with non-communicable diseases in India: A systematic review of intervention studies and recommendations for future research and development. Digit. Health 2019, 5, 2055207619896153. [Google Scholar] [CrossRef] [PubMed]
- Lunde, P.; Nilsson, B.B.; Bergland, A.; Kvaerner, K.J.; Bye, A. The Effectiveness of Smartphone Apps for Lifestyle Improvement in Noncommunicable Diseases: Systematic Review and Meta-Analyses. J. Med. Internet Res. 2018, 20, e162. [Google Scholar] [CrossRef]
- Piercy, K.L.; Troiano, R.P.; Ballard, R.M.; Carlson, S.A.; Fulton, J.E.; Galuska, D.A.; George, S.M.; Olson, R.D. The physical activity guidelines for Americans. JAMA 2018, 320, 2020–2028. [Google Scholar] [CrossRef]
- World Health Organization. Global Recommendations on Physical Activity for Health. Available online: https://www.who.int/publications/i/item/9789241599979 (accessed on 1 April 2021).
- Bize, R.; Johnson, J.A.; Plotnikoff, R.C. Physical activity level and health-related quality of life in the general adult population: A systematic review. Prev. Med. 2007, 45, 401–415. [Google Scholar] [CrossRef]
- Hart, P.D. Physical activity and health-related quality of life in rural adults with chronic disease. Am. J. Med. Sci. 2017, 5, 62–66. [Google Scholar] [CrossRef]
- Thiel, D.M.; Sayah, F.A.; Vallance, J.; Johnson, S.T.; Johnson, J.A. Physical Activity and Health-Related Quality of Life in Adults with Type 2 Diabetes: Results From a Prospective Cohort Study. J. Phys. Act. Health 2017, 14, 368–374. [Google Scholar] [CrossRef]
- Bull, F.C.; Al-Ansari, S.S.; Biddle, S.; Borodulin, K.; Buman, M.P.; Cardon, G.; Carty, C.; Chaput, J.P.; Chastin, S.; Chou, R.; et al. World Health Organization 2020 guidelines on physical activity and sedentary behaviour. Br. J. Sports Med. 2020, 54, 1451–1462. [Google Scholar] [CrossRef] [PubMed]
- Alzahrani, H. Dose-Response Association between Physical Activity and Health-Related Quality of Life in General Population: A Population-Based Pooled Study. Healthcare 2022, 10, 1460. [Google Scholar] [CrossRef] [PubMed]
- The Welsh Government. Welsh Health Survey. Available online: https://statswales.gov.wales/Catalogue/Health-and-Social-Care/Welsh-Health-Survey (accessed on 1 April 2021).
- Brown, D.R.; Carroll, D.D.; Workman, L.M.; Carlson, S.A.; Brown, D.W. Physical activity and health-related quality of life: US adults with and without limitations. Qual. Life Res. 2014, 23, 2673–2680. [Google Scholar] [CrossRef] [PubMed]
- Carlson, S.A.; Fulton, J.E.; Schoenborn, C.A.; Loustalot, F. Trend and prevalence estimates based on the 2008 Physical Activity Guidelines for Americans. Am. J. Prev. Med. 2010, 39, 305–313. [Google Scholar] [CrossRef] [PubMed]
- Alzahrani, H.; Cheng, S.W.M.; Shirley, D.; Mackey, M.; Stamatakis, E. Physical Activity and Health-Related Quality of Life in People With Back Pain: A Population-Based Pooled Study of 27,273 Adults. J. Phys. Act. Health 2019, 17, 177–188. [Google Scholar] [CrossRef]
- Lins, L.; Carvalho, F.M. SF-36 total score as a single measure of health-related quality of life: Scoping review. SAGE Open Med. 2016, 4, 2050312116671725. [Google Scholar] [CrossRef] [PubMed]
- Ware, J.E., Jr.; Sherbourne, C.D. The MOS 36-item short-form health survey (SF-36). I. Conceptual framework and item selection. Med. Care 1992, 30, 473–483. [Google Scholar] [CrossRef]
- Busija, L.; Pausenberger, E.; Haines, T.P.; Haymes, S.; Buchbinder, R.; Osborne, R.H. Adult measures of general health and health-related quality of life: Medical Outcomes Study Short Form 36-Item (SF-36) and Short Form 12-Item (SF-12) Health Surveys, Nottingham Health Profile (NHP), Sickness Impact Profile (SIP), Medical Outcomes Study Short Form 6D (SF-6D), Health Utilities Index Mark 3 (HUI3), Quality of Well-Being Scale (QWB), and Assessment of Quality of Life (AQoL). Arthritis Care Res. 2011, 63 (Suppl. S11), S383–S412. [Google Scholar] [CrossRef]
- Figueiro, T.H.; Arins, G.C.B.; Santos, C.; Cembranel, F.; Medeiros, P.A.; d’Orsi, E.; Rech, C.R. Association of objectively measured sedentary behavior and physical activity with cardiometabolic risk markers in older adults. PLoS ONE 2019, 14, e0210861. [Google Scholar] [CrossRef]
- Zhao, M.; Veeranki, S.P.; Magnussen, C.G.; Xi, B. Recommended physical activity and all cause and cause specific mortality in US adults: Prospective cohort study. BMJ 2020, 370, m2031. [Google Scholar] [CrossRef]
- Biswas, T.; Townsend, N.; Huda, M.M.; Maravilla, J.; Begum, T.; Pervin, S.; Ghosh, A.; Mahumud, R.A.; Islam, S.; Anwar, N.; et al. Prevalence of multiple non-communicable diseases risk factors among adolescents in 140 countries: A population-based study. EClinicalMedicine 2022, 52, 101591. [Google Scholar] [CrossRef] [PubMed]
- Kämpfen, F.; Wijemunige, N.; Evangelista, B. Aging, non-communicable diseases, and old-age disability in low-and middle-income countries: A challenge for global health. Int. J. Public Health 2018, 63, 1011–1012. [Google Scholar] [CrossRef] [PubMed]
- Van Sluijs, E.M.F.; Ekelund, U.; Crochemore-Silva, I.; Guthold, R.; Ha, A.; Lubans, D.; Oyeyemi, A.L.; Ding, D.; Katzmarzyk, P.T. Physical activity behaviours in adolescence: Current evidence and opportunities for intervention. Lancet 2021, 398, 429–442. [Google Scholar] [CrossRef] [PubMed]
- Chen, Z.; Fan, V.S.; Belza, B.; Pike, K.; Nguyen, H.Q. Association between Social Support and Self-Care Behaviors in Adults with Chronic Obstructive Pulmonary Disease. Ann. Am. Thorac. Soc. 2017, 14, 1419–1427. [Google Scholar] [CrossRef]
- Andersen, L.B.; Mota, J.; Di Pietro, L. Update on the global pandemic of physical inactivity. Lancet 2016, 388, 1255–1256. [Google Scholar] [CrossRef]
- Sallis, J.F.; Bull, F.; Guthold, R.; Heath, G.W.; Inoue, S.; Kelly, P.; Oyeyemi, A.L.; Perez, L.G.; Richards, J.; Hallal, P.C.; et al. Progress in physical activity over the Olympic quadrennium. Lancet 2016, 388, 1325–1336. [Google Scholar] [CrossRef]
- Dimitri, P.; Joshi, K.; Jones, N.; Moving Medicine for Children Working Group. Moving more: Physical activity and its positive effects on long term conditions in children and young people. Arch. Dis. Child. 2020, 105, 1035–1040. [Google Scholar] [CrossRef]


| MVPA (min/week) | ||||||
|---|---|---|---|---|---|---|
| Characteristics | All Participants (n = 29,271) | Inactive (n = 16,569) | Insufficiently Active (n = 6414) | Sufficiently Active (n = 4703) | Very Active (n = 1585) | p Value * |
| N (%) | % | % | % | % | ||
| Age (years) | <0.001 | |||||
| 16–24 | 1014 (3.5) | 2.0 | 4.0 | 5.1 | 12.0 | |
| 25–34 | 1180 (4.0) | 2.6 | 5.4 | 5.2 | 9.5 | |
| 35–44 | 2053 (7.0) | 5.3 | 7.8 | 9.8 | 13.2 | |
| 45–54 | 3815 (13.0) | 11.2 | 13.6 | 16.4 | 20.3 | |
| 55–64 | 6346 (21.7) | 20.1 | 23.2 | 25.3 | 21.5 | |
| ≥65 | 14,863 (50.8) | 58.8 | 46.0 | 38.2 | 23.6 | |
| Gender | <0.001 | |||||
| Male | 13,956 (47.7) | 45.6 | 43.3 | 54.6 | 66.5 | |
| Female | 15,315 (52.3) | 54.4 | 56.7 | 45.4 | 33.5 | |
| Body mass index | <0.001 | |||||
| Underweight (<18.5) | 428 (1.6) | 2.0 | 0.9 | 1.1 | 1.1 | |
| Normal (18.5–<25) | 8149 (30.0) | 28.5 | 30.4 | 32.5 | 36.3 | |
| Overweight (25–<30) | 10,387 (38.2) | 36.0 | 40.9 | 41.0 | 42.1 | |
| Obese (≥30) | 8193 (30.2) | 33.4 | 27.9 | 25.4 | 20.5 | |
| Smoking status | <0.001 | |||||
| Never smoked | 12,758 (44.3) | 41.7 | 48.1 | 46.1 | 50.2 | |
| Ex-smoker | 11,223 (38.9) | 40.5 | 37.2 | 37.4 | 34.5 | |
| Current smoker | 4842 (16.8) | 17.9 | 14.7 | 16.5 | 15.3 | |
| Highest level of qualification | <0.001 | |||||
| Degree or above | 3173 (11.9) | 8.7 | 16.4 | 14.4 | 18.5 | |
| Other qualification | 15,010 (56.5) | 51.1 | 62.0 | 63.6 | 66.6 | |
| No qualification | 8389 (31.6) | 40.3 | 21.6 | 22.0 | 14.9 | |
| Employment status | <0.001 | |||||
| Currently employed | 8457 (30.5) | 20.3 | 36.2 | 46.4 | 61.9 | |
| Not employed | 19,289 (69.5) | 79.7 | 63.8 | 53.6 | 38.1 | |
| Prevalent mental illness | <0.001 | |||||
| No | 22,599 (83.8) | 79.2 | 88.3 | 90.4 | 91.7 | |
| Yes | 4377 (16.2) | 20.8 | 11.7 | 9.6 | 8.3 | |
| Prevalent musculoskeletal problems | 0.004 | |||||
| No | 16,912 (61.3) | 61.3 | 59.6 | 62.4 | 63.6 | |
| Yes | 10,695 (38.7) | 38.7 | 40.4 | 37.6 | 36.4 | |
| Cardiovascular disease | <0.001 | |||||
| No | 9512 (32.5) | 27.4% | 35.8% | 39.5% | 51.7% | |
| Yes | 19,759 (67.5) | 72.6% | 64.2% | 60.5% | 48.3% | |
| Cancer | <0.001 | |||||
| No | 22,506 (83.5) | 82.1% | 84.8% | 85.7% | 86.5% | |
| Yes | 4437 (16.5) | 17.9% | 15.2% | 14.3% | 13.5% | |
| COPD | <0.001 | |||||
| No | 19,164 (65.5) | 65.3% | 67.8% | 66.0% | 56.7% | |
| Yes | 10,107 (34.5) | 34.7% | 32.2% | 34.0% | 43.3% | |
| Diabetes | <0.001 | |||||
| No | 23,316 (80.3) | 77.4% | 83.1% | 84.4% | 87.3% | |
| Yes | 5709 (19.7) | 22.6% | 16.9% | 15.6% | 12.7% | |
| Model 1 a | Model 2 a | |
|---|---|---|
| Coefficient (95% CI) | Coefficient (95% CI) | |
| HRQoL b | ||
| Inactive | Referent | Referent |
| Insufficiently active | 17.22 (16.56–17.88) | 9.83 (9.15–10.51) |
| Sufficiently active | 21.28 (20.54–22.02) | 11.70 (10.91–12.49) |
| Very active | 23.99 (22.82–25.16) | 12.54 (11.39–13.70) |
| Trend p value | <0.001 | <0.001 |
| SF-36 domains | ||
| Physical functioning b | ||
| Inactive | Referent | Referent |
| Insufficiently active | 25.84 (24.96–26.71) | 16.05 (15.09–17.01) |
| Sufficiently active | 30.82 (29.84–31.81) | 17.51 (16.39–18.62) |
| Very active | 32.71 (31.12–34.29) | 16.86 (15.21–18.50) |
| Trend p value | <0.001 | <0.001 |
| Role-physical b | ||
| Inactive | Referent | Referent |
| Insufficiently active | 24.57 (23.61–25.54) | 15.15 (14.08–16.22) |
| Sufficiently active | 30.33 (29.24–31.42) | 17.57 (16.32–18.82) |
| Very active | 32.45 (30.71–34.18) | 17.04 (15.21–18.86) |
| Trend p value | <0.001 | <0.001 |
| Role-emotional b | ||
| Inactive | Referent | Referent |
| Insufficiently active | 15.02 (14.11–15.93) | 5.34 (4.42–6.26) |
| Sufficiently active | 18.22 (17.20–19.24) | 5.89 (4.82–6.97) |
| Very active | 19.83 (18.20–21.46) | 5.59 (4.01–7.16) |
| Trend p value | <0.001 | <0.001 |
| Vitality b | ||
| Inactive | Referent | Referent |
| Insufficiently active | 14.08 (13.43–14.72) | 8.84 (8.10–9.58) |
| Sufficiently active | 18.62 (17.89–19.35) | 11.76 (10.90–12.62) |
| Very active | 22.81 (21.64–23.99) | 14.42 (13.15–15.69) |
| Trend p value | <0.001 | <0.001 |
| Mental health b | ||
| Inactive | Referent | Referent |
| Insufficiently active | 9.10 (8.50–9.69) | 3.50 (2.87–4.13) |
| Sufficiently active | 11.10 (10.43–11.77) | 4.36 (3.62–5.10) |
| Very active | 13.73 (12.65–14.81) | 5.49 (4.41–6.57) |
| Trend p value | <0.001 | <0.001 |
| Social functioning b | ||
| Inactive | Referent | Referent |
| Insufficiently active | 21.51 (20.63–22.38) | 11.70 (10.74–12.65) |
| Sufficiently active | 25.79 (24.80–26.78) | 13.08 (11.96–14.20) |
| Very active | 28.53 (26.94–30.12) | 13.56 (11.91–15.20) |
| Trend p value | <0.001 | <0.001 |
| Bodily pain b | ||
| Inactive | Referent | Referent |
| Insufficiently active | 15.95 (15.14–16.77) | 9.48 (8.56–10.39) |
| Sufficiently active | 19.68 (18.76–20.60) | 10.87 (9.80–11.93) |
| Very active | 22.51 (21.03–23.99) | 11.40 (9.82–12.97) |
| Trend p value | <0.001 | <0.001 |
| General health b | ||
| Inactive | Referent | Referent |
| Insufficiently active | 14.54 (14.86–16.23) | 9.70 (8.92–10.47) |
| Sufficiently active | 20.56 (19.78–21.33) | 13.13 (12.22–14.03) |
| Very active | 25.45 (24.21–26.69) | 16.29 (14.96–17.62) |
| Trend p value | <0.001 | <0.001 |
Disclaimer/Publisher’s Note: The statements, opinions and data contained in all publications are solely those of the individual author(s) and contributor(s) and not of MDPI and/or the editor(s). MDPI and/or the editor(s) disclaim responsibility for any injury to people or property resulting from any ideas, methods, instructions or products referred to in the content. |
© 2023 by the authors. Licensee MDPI, Basel, Switzerland. This article is an open access article distributed under the terms and conditions of the Creative Commons Attribution (CC BY) license (https://creativecommons.org/licenses/by/4.0/).
Share and Cite
Alzahrani, H.; Alotaibi, N.; Alshahrani, A.; Alkhathami, K.M.; Alshehri, Y.S.; Alzhrani, M.; Alshehri, F.H.; Almeheyawi, R.; Aljulaymi, I.S.; Alsufiany, M.; et al. Self-Reported Moderate-to-Vigorous Physical Activity: Its Association with Health-Related Quality of Life in a Large Cohort of People with Chronic Diseases. Healthcare 2023, 11, 3057. https://doi.org/10.3390/healthcare11233057
Alzahrani H, Alotaibi N, Alshahrani A, Alkhathami KM, Alshehri YS, Alzhrani M, Alshehri FH, Almeheyawi R, Aljulaymi IS, Alsufiany M, et al. Self-Reported Moderate-to-Vigorous Physical Activity: Its Association with Health-Related Quality of Life in a Large Cohort of People with Chronic Diseases. Healthcare. 2023; 11(23):3057. https://doi.org/10.3390/healthcare11233057
Chicago/Turabian StyleAlzahrani, Hosam, Najlaa Alotaibi, Adel Alshahrani, Khalid M. Alkhathami, Yasir S. Alshehri, Msaad Alzhrani, Fahad H. Alshehri, Rania Almeheyawi, Ibrahim Saeed Aljulaymi, Muhsen Alsufiany, and et al. 2023. "Self-Reported Moderate-to-Vigorous Physical Activity: Its Association with Health-Related Quality of Life in a Large Cohort of People with Chronic Diseases" Healthcare 11, no. 23: 3057. https://doi.org/10.3390/healthcare11233057
APA StyleAlzahrani, H., Alotaibi, N., Alshahrani, A., Alkhathami, K. M., Alshehri, Y. S., Alzhrani, M., Alshehri, F. H., Almeheyawi, R., Aljulaymi, I. S., Alsufiany, M., Sadarangani, K. P., Allam, H. H., & Barcaccia, B. (2023). Self-Reported Moderate-to-Vigorous Physical Activity: Its Association with Health-Related Quality of Life in a Large Cohort of People with Chronic Diseases. Healthcare, 11(23), 3057. https://doi.org/10.3390/healthcare11233057

