Concurrent Validity and Test–Retest Reliability of the 3-Meter Backward Walk Test in Stroke Survivors
Abstract
:1. Introduction
2. Methods
2.1. Study Design
2.2. Participants
2.3. Sample Size
2.4. Measurement
2.4.1. 3-Meter Backward Walk Test
2.4.2. Functional Gait Assessment
2.4.3. 10-Meter Walking Test
2.4.4. 6-Minute Walk Test
2.4.5. Functional Ambulation Categories
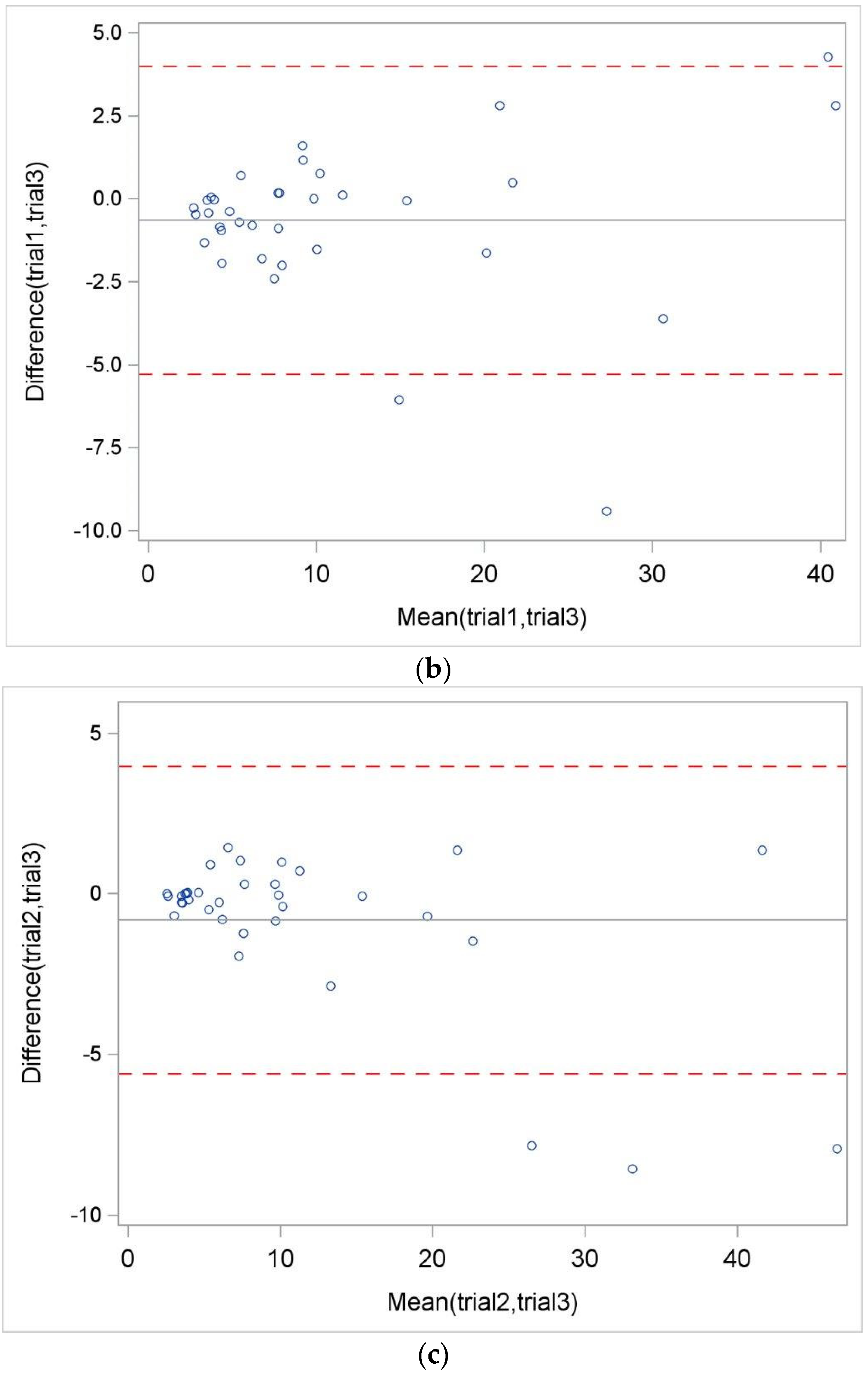
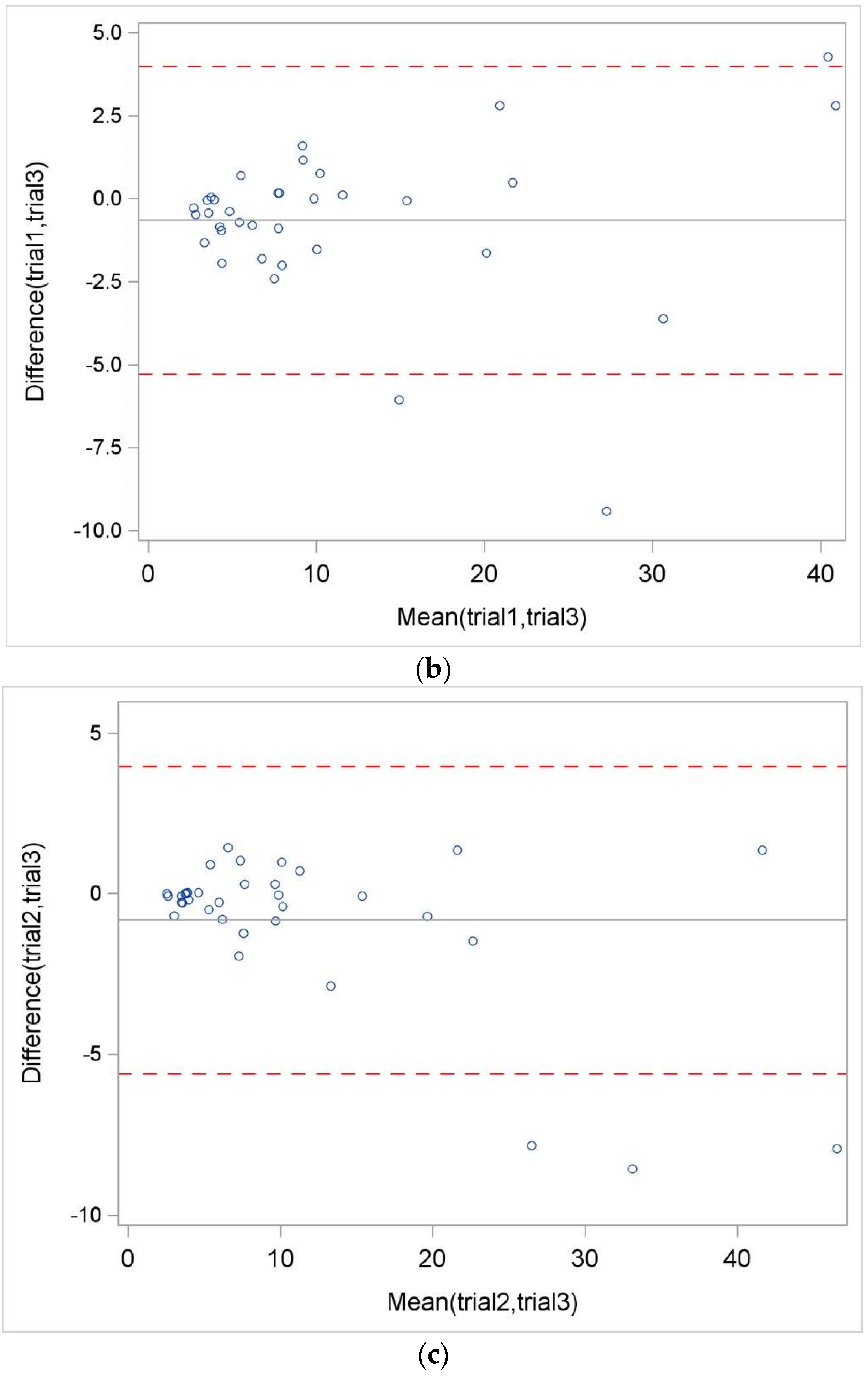
2.5. Statistical Analysis
3. Results
4. Discussion
5. Conclusions
Author Contributions
Funding
Institutional Review Board Statement
Informed Consent Statement
Data Availability Statement
Acknowledgments
Conflicts of Interest
Abbreviations
| FGA | Functional Gait Assessment |
| 3MBWT | 3-Meter Backward Walk Test |
| 10MWT | 10-Meter Walk Test |
| 6MWT | 6-Minute Walk Test |
| FAC | Functional Ambulation Category |
| MMSE | Mini-Mental State Examination |
| ICC | Intraclass Correlation Coefficient |
| BMI | Body Mass Index |
| ANOVA | Analysis of variance |
| CI | Confidence Interval |
References
- Li, J.; Zhong, D.; Ye, J.; He, M.; Liu, X.; Zheng, H.; Jin, R.; Zhang, S.-L. Rehabilitation for balance impairment in patients after stroke: A protocol of a systematic review and network meta-analysis. BMJ Open 2019, 9, e026844. [Google Scholar] [CrossRef] [PubMed]
- Tyson, S.F.; Hanley, M.; Chillala, J.; Selley, A.; Tallis, R.C. Balance disability after stroke. Phys. Ther. 2006, 86, 30–38. [Google Scholar] [CrossRef] [PubMed]
- Tasseel-Ponche, S.; Yelnik, A.; Bonan, I. Motor strategies of postural control after hemispheric stroke. Neurophysiol. Clin./Clin. Neurophysiol. 2015, 45, 327–333. [Google Scholar] [CrossRef] [PubMed]
- Yavuzer, G.; Eser, F.; Karakus, D.; Karaoglan, B.; Stam, H.J. The effects of balance training on gait late after stroke: A randomized controlled trial. Clin. Rehabil. 2006, 20, 960–969. [Google Scholar] [CrossRef]
- Treger, I.; Shames, J.; Giaquinto, S.; Ring, H. Return to work in stroke patients. Disabil. Rehabil. 2007, 29, 1397–1403. [Google Scholar] [CrossRef] [PubMed]
- Denissen, S.; Staring, W.; Kunkel, D.; Pickering, R.M.; Lennon, S.; Geurts, A.C.; Weerdesteyn, V.; Verheyden, G.S. Interventions for preventing falls in people after stroke. Cochrane Database Syst. Rev. 2019, 2019, CD008728. [Google Scholar] [CrossRef] [PubMed]
- Blennerhassett, J.M.; Dite, W.; Ramage, E.R.; Richmond, M.E. Changes in balance and walking from stroke rehabilitation to the community: A follow-up observational study. Arch. Phys. Med. Rehabil. 2012, 93, 1782–1787. [Google Scholar] [CrossRef]
- Ashburn, A.; Hyndman, D.; Pickering, R.; Yardley, L.; Harris, S. Predicting people with stroke at risk of falls. Age Ageing 2008, 37, 270–276. [Google Scholar] [CrossRef]
- Joo, H.; Wang, G.; Yee, S.L.; Zhang, P.; Sleet, D. Economic burden of informal caregiving associated with history of stroke and falls among older adults in the US. Am. J. Prev. Med. 2017, 53, S197–S204. [Google Scholar] [CrossRef]
- Wagner, L.M.; Phillips, V.L.; Hunsaker, A.E.; Forducey, P.G. Falls among community-residing stroke survivors following inpatient rehabilitation: A descriptive analysis of longitudinal data. BMC Geriatr. 2009, 9, 46. [Google Scholar] [CrossRef]
- Xie, Q.; Pei, J.; Gou, L.; Zhang, Y.; Zhong, J.; Su, Y.; Wang, X.; Ma, L.; Dou, X. Risk factors for fear of falling in stroke patients: A systematic review and meta-analysis. BMJ Open 2022, 12, e056340. [Google Scholar] [CrossRef]
- Tilson, J.K.; Wu, S.S.; Cen, S.Y.; Feng, Q.; Rose, D.R.; Behrman, A.L.; Azen, S.P.; Duncan, P.W. Characterizing and identifying risk for falls in the LEAPS study: A randomized clinical trial of interventions to improve walking poststroke. Stroke 2012, 43, 446–452. [Google Scholar] [CrossRef]
- Smith, P.S.; Hembree, J.A.; Thompson, M.E. Berg Balance Scale and Functional Reach: Determining the best clinical tool for individuals post acute stroke. Clin. Rehabil. 2004, 18, 811–818. [Google Scholar] [CrossRef] [PubMed]
- Tsang, C.S.; Liao, L.-R.; Chung, R.C.; Pang, M.Y. Psychometric properties of the Mini-Balance Evaluation Systems Test (Mini-BESTest) in community-dwelling individuals with chronic stroke. Phys. Ther. 2013, 93, 1102–1115. [Google Scholar] [CrossRef]
- Thieme, H.; Ritschel, C.; Zange, C. Reliability and validity of the functional gait assessment (German version) in subacute stroke patients. Arch. Phys. Med. Rehabil. 2009, 90, 1565–1570. [Google Scholar] [CrossRef] [PubMed]
- Carter, V.; Jain, T.; James, J.; Cornwall, M.; Aldrich, A.; De Heer, H.D. The 3-m backwards walk and retrospective falls: Diagnostic accuracy of a novel clinical measure. J. Geriatr. Phys. Ther. 2019, 42, 249–255. [Google Scholar] [CrossRef]
- Maritz, C.; Silbernagel, K.; Pohlig, R. Relationship of backward walking to clinical outcome measures used to predict falls in the older population: A factor analysis. Phys. Ther. Rehabil. 2017, 4, 14. [Google Scholar] [CrossRef]
- Edwards, E.M.; Kegelmeyer, D.A.; Kloos, A.D.; Nitta, M.; Raza, D.; Nichols-Larsen, D.S.; Fritz, N.E. Backward Walking and Dual-Task Assessment Improve Identification of Gait Impairments and Fall Risk in Individuals with MS. Mult. Scler. Int. 2020, 2020, 6707414. [Google Scholar] [CrossRef] [PubMed]
- Rose, D.K.; DeMark, L.; Fox, E.J.; Clark, D.J.; Wludyka, P. A Backward Walking Training Program to Improve Balance and Mobility in Acute Stroke: A Pilot Randomized Controlled Trial. J. Neurol. Phys. Ther. 2018, 42, 12–21. [Google Scholar] [CrossRef]
- Abit Kocaman, A.; Aydoğan Arslan, S.; Uğurlu, K.; Katırcı Kırmacı, Z.; Keskin, E.D. Validity and Reliability of The 3-Meter Backward Walk Test in Individuals with Stroke. J. Stroke Cerebrovasc. Dis. 2021, 30, 105462. [Google Scholar] [CrossRef]
- DeMark, L.A.; Fox, E.J.; Manes, M.R.; Conroy, C.; Rose, D.K. The 3-Meter Backward Walk Test (3MBWT): Reliability and validity in individuals with subacute and chronic stroke. Physiother. Theory Pract. 2022, 39, 2698–2705. [Google Scholar] [CrossRef] [PubMed]
- Teasell, R.; Foley, N.; Salter, K.; Bhogal, S.; Jutai, J.; Speechley, M. Evidence-Based Review of Stroke Rehabilitation: Executive summary, 12th edition. Top. Stroke Rehabil. 2009, 16, 463–488. [Google Scholar] [CrossRef] [PubMed]
- Arifin, W.N. A Web-based Sample Size Calculator for Reliability Studies. Educ. Med. J. 2018, 10, 69. [Google Scholar] [CrossRef]
- Wrisley, D.M.; Marchetti, G.F.; Kuharsky, D.K.; Whitney, S.L. Reliability, internal consistency, and validity of data obtained with the functional gait assessment. Phys. Ther. 2004, 84, 906–918. [Google Scholar] [CrossRef] [PubMed]
- Dalgas, U.; Severinsen, K.; Overgaard, K. Relations between 6 minute walking distance and 10 meter walking speed in patients with multiple sclerosis and stroke. Arch. Phys. Med. Rehabil. 2012, 93, 1167–1172. [Google Scholar] [CrossRef] [PubMed]
- Cheng, D.K.; Nelson, M.; Brooks, D.; Salbach, N.M. Validation of stroke-specific protocols for the 10-meter walk test and 6-minute walk test conducted using 15-meter and 30-meter walkways. Top. Stroke Rehabil. 2020, 27, 251–261. [Google Scholar] [CrossRef] [PubMed]
- Bland, J.M.; Altman, D. Statistical methods for assessing agreement between two methods of clinical measurement. Lancet 1986, 327, 307–310. [Google Scholar] [CrossRef]
- Portney, L.G.; Watkins, M.P. Foundations of Clinical Research: Applications to Practice; Pearson/Prentice Hall: Upper Saddle River, NJ, USA, 2009; Volume 892. [Google Scholar]
- Dos Santos, R.B.; Fiedler, A.; Badwal, A.; Legasto-Mulvale, J.M.; Sibley, K.M.; Olaleye, O.A.; Diermayr, G.; Salbach, N.M. Standardized tools for assessing balance and mobility in stroke clinical practice guidelines worldwide: A scoping review. Front. Rehabil. Sci. 2023, 4, 1084085. [Google Scholar] [CrossRef]
- Yang, Y.; Komisar, V.; Shishov, N.; Lo, B.; Korall, A.M.; Feldman, F.; Robinovitch, S.N. The effect of fall biomechanics on risk for hip fracture in older adults: A cohort study of video-captured falls in long-term care. J. Bone Miner. Res. 2020, 35, 1914–1922. [Google Scholar] [CrossRef]
- Fritz, N.; Worstell, A.; Kloos, A.D.; Siles, A.; White, S.E.; Kegelmeyer, D.A. Backward walking measures are sensitive to age-related changes in mobility and balance. Gait Posture 2013, 37, 593–597. [Google Scholar] [CrossRef]
- Wrisley, D.M.; Kumar, N.A. Functional gait assessment: Concurrent, discriminative, and predictive validity in community-dwelling older adults. Phys. Ther. 2010, 90, 761–773. [Google Scholar] [CrossRef]
- Price, R.; Choy, N.L. Investigating the Relationship of the Functional Gait Assessment to Spatiotemporal Parameters of Gait and Quality of Life in Individuals With Stroke. J. Geriatr. Phys. Ther. 2019, 42, 256–264. [Google Scholar] [CrossRef]



| Variables | All Participants (n = 35) | Non-Fallers (n= 26) | Fallers (n = 9) |
|---|---|---|---|
| Female, n (%) | 15 (42.9) | 8 (30.8) | 7 (77.8) |
| Age (years), mean (SD) | 64.9 (13.9) | 62.0 (14.6) | 73.3 (7.6) |
| BMI (kg/m2), mean (SD) | 26.3 (4.8) | 26.1 (4.6) | 26.9 (5.5) |
| Stroke duration (month), median (min–max) | 3 (1–97) | 3 (1–97) | 2.67 (1–10) |
| Stroke type, n (%) | |||
| Hemorrhagic | 2 (5.7) | 2 (7.7) | 0 (0) |
| Ischemic | 33 (94.3) | 24 (92.3) | 9 (100) |
| Subacute phase | 27 (77.1) | 19 (73.1) | 8 (88.9) |
| Chronic phase | 8 (22.9) | 7 (26.9) | 1 (11.1) |
| Dominant side, n (%) | |||
| Right | 34 (97.1) | 25 (96.2) | 9 (100) |
| Affected side n (%) | |||
| Right | 17 (48.6) | 14 (53.8) | 3 (33.3) |
| Variables | All Participants (n = 35) | Non-Fallers (n = 26) | Fallers (n = 9) |
|---|---|---|---|
| FAC Score n (%) | |||
| FAC 4 | 10 (28.6) | 6 (23.1) | 4 (44.4) |
| FAC 5 | 25 (71.4) | 20 (76.9) | 5 (55.6) |
| 3MBWT (seconds)—1 round, mean (SD) | 11.6 (10.1) | 10.3 (9.3) | 15.5 (12.5) |
| 3MBWT (seconds)—2 round, mean (SD) | 11.8 (11.7) | 10.3 (10.7) | 16.2 (14.1) |
| 3MBWT (seconds)—3 round, mean (SD) | 10.9 (10.3) | 9.3 (8.9) | 15.9 (12.8) |
| FGA Score, median (min–max) | 24 (4–30) | 24 (10–30) | 20 (4–28) |
| 10-Meter Walk Test (seconds), median (min–max) | 9 (5.9–27.0) | 9 (5.9–19) | 12.5 (6–27) |
| 6-Minute Walk Test (meters), mean (SD) | 367.3 (132.5) | 387.0 (122.5) | 310.5 (151.2) |
| Single-Question Wellbeing (Scale 1–10) median (min–max) | 8 (1–10) | 8 (5–10) | 6 (1–10) |
| Single-Question Gait safety (Scale 1–10) median (min–max) | 7 (1–10) | 8 (3–10) | 6 (1–8) |
Disclaimer/Publisher’s Note: The statements, opinions and data contained in all publications are solely those of the individual author(s) and contributor(s) and not of MDPI and/or the editor(s). MDPI and/or the editor(s) disclaim responsibility for any injury to people or property resulting from any ideas, methods, instructions or products referred to in the content. |
© 2023 by the authors. Licensee MDPI, Basel, Switzerland. This article is an open access article distributed under the terms and conditions of the Creative Commons Attribution (CC BY) license (https://creativecommons.org/licenses/by/4.0/).
Share and Cite
Kapan, A.; Ristic, M.; Yang, L.; Kranz, G.; Waldhör, T. Concurrent Validity and Test–Retest Reliability of the 3-Meter Backward Walk Test in Stroke Survivors. Healthcare 2023, 11, 3020. https://doi.org/10.3390/healthcare11233020
Kapan A, Ristic M, Yang L, Kranz G, Waldhör T. Concurrent Validity and Test–Retest Reliability of the 3-Meter Backward Walk Test in Stroke Survivors. Healthcare. 2023; 11(23):3020. https://doi.org/10.3390/healthcare11233020
Chicago/Turabian StyleKapan, Ali, Milos Ristic, Lin Yang, Gottfried Kranz, and Thomas Waldhör. 2023. "Concurrent Validity and Test–Retest Reliability of the 3-Meter Backward Walk Test in Stroke Survivors" Healthcare 11, no. 23: 3020. https://doi.org/10.3390/healthcare11233020
APA StyleKapan, A., Ristic, M., Yang, L., Kranz, G., & Waldhör, T. (2023). Concurrent Validity and Test–Retest Reliability of the 3-Meter Backward Walk Test in Stroke Survivors. Healthcare, 11(23), 3020. https://doi.org/10.3390/healthcare11233020

