Digital Device Use, Risk of Cognitive Impairment, and Cognition in Healthy Older Adults: The Role of Cognitive Reserve
Abstract
:1. Introduction
- Healthy older adults who use digital devices that require more cognitive effort will have statistically higher cognitive reserve and cognition and a lower risk of cognitive impairment compared to healthy older adults who use digital devices only for communicative purposes.
- There will be a significant correlation between cognitive reserve with the risk of cognitive impairment and cognition.
- Digital device use will be significantly associated with cognitive reserve, the risk of cognitive impairment, and cognition among healthy older adults.
- There is mediating and moderating effect of cognitive reserve in the relationship between digital device use with the risk of cognitive impairment and cognition.
2. Materials and Methods
2.1. Participants
2.2. Screening Tools and Study Variables
2.2.1. Malay Mini-Mental State Examination (M-MMSE)
2.2.2. Geriatric Depression Scale (M-GDS-14)
2.2.3. Malay Cognitive Reserve Scale (M-CRS)
2.2.4. TUA-WELLNESS
2.2.5. Addenbrooke’s Cognitive Examination-III (ACE-III)
2.2.6. Use of Digital Devices
2.3. Data Analysis
2.4. Ethical Considerations
3. Results
Participant Characteristics
4. Discussion
4.1. Limitations
4.2. Future Research Direction
4.3. Implications
5. Conclusions
Author Contributions
Funding
Institutional Review Board Statement
Informed Consent Statement
Data Availability Statement
Conflicts of Interest
References
- World Health Organization. Ageing and Health. [Updated 4 October 2021]. Available online: https://www.who.int/news-room/fact-sheets/detail/ageing-and-health (accessed on 4 December 2020).
- Department of Statistics Malaysia. Population Projections (Revised), Malaysia, 2010–2040. [Updated 4 November 2016]. Available online: https://www.dosm.gov.my/v1/index.php?r=column/cthemeByCat&cat=118&bul_id=Y3kwU2tSNVFDOWp1YmtZYnhUeVBEdz09&menu_id=L0pheU43NWJwRWVSZklWdzQ4TlhUUT09 (accessed on 4 December 2020).
- Tengku Abdul Hamid, T.A. Population Ageing in Malaysia: A Mosaic of Issues, Challenges and Prospects [Inaugural Lecture]; Faculty of Human Ecology, Universiti Putra Malaysia Press: Serdang, Malaysia, 2015; Available online: http://psasir.upm.edu.my/id/eprint/41616 (accessed on 4 December 2020).
- Acemoglu, D.; Restrepo, P. Secular Stagnation? The Effect of Aging on Economic Growth in the Age of Automation. Am. Econ. Rev. 2017, 10, 174–179. [Google Scholar] [CrossRef]
- Kleineidam, L.; Thoma, M.V.; Maercker, A.; Bickel, H.; Mösch, E.; Hajek, A.; König, H.-H.; Eisele, M.; Mallon, T.; Luck, T.; et al. What Is Successful Aging? A Psychometric Validation Study of Different Construct Definitions. Gerontologist 2018, 59, 738–748. [Google Scholar] [CrossRef]
- Kim, S.-H.; Park, S. A Meta-Analysis of the Correlates of Successful Aging in Older Adults. Res. Aging 2017, 39, 657–677. [Google Scholar] [CrossRef]
- Lau, H.; Ludin, A.F.M.; Rajab, N.F.; Shahar, S. Identification of Neuroprotective Factors Associated with Successful Ageing and Risk of Cognitive Impairment among Malaysia Older Adults. Curr. Gerontol. Geriatr. Res. 2017, 2017, 4218756. [Google Scholar] [CrossRef]
- Lachyan, A.S.; Fui, W.M.; Banerjee, B.; Zaki, R.A. Situational Analysis: Gerontechnology and Older Per-Sons Wellbeing in Developing Countries. Available online: https://www.openacessjournal.com/abstract/641 (accessed on 15 June 2022).
- Lee, C.K.; Lee, A.S.H.; Lee, C.E.C. Internet Usage Among Senior Citizens During COVID-19. In Proceedings of the 2021 7th International Conference on Research and Innovation in Information Systems (ICRIIS), Johor Bahru, Malaysia, 21–26 October 2021. [Google Scholar]
- Jin, Y.; Jing, M.; Ma, X. Effects of digital device ownership on cognitive decline in a middle-aged and elderly population: Longitudinal observational study. J. Med. Internet Res. 2019, 21, e14210. [Google Scholar] [CrossRef]
- Pazim, K.; Mahmud, R.; Yee, B.L.F.; Fabeil, N.F.; Langgat, J.; Ayob, N.; Nordin, M. The impact of COVID-19 pandemic on Malaysian senior citizens: A review. Int. J. Aquat. Sci. 2021, 12, 186–192. [Google Scholar]
- Tan, Y.R.; Tan, M.P.; Khor, M.M.; Hoh, H.B.; Saedon, N.I.; Hasmukharay, K.; Tan, K.M.; Chin, A.V.; Kama-ruzzaman, S.B.; Ong, T.; et al. Acceptance of virtual consultations among older adults and caregivers in Malaysia: A pilot study during the COVID-19 pandemic. Postgrad. Med. 2022, 134, 224–229. [Google Scholar] [CrossRef]
- Ganapathy, S.S.; Sooryanarayana, R.; Ahmad, N.A.; Jamaluddin, R.; Abd Razak, M.A.; Tan, M.P.; Mohd Sidik, S.; Mohamad Zahir, S.; Sandanasamy, K.S.; Ibrahim, N. Prevalence of dementia and quality of life of caregivers of people living with dementia in Malaysia. Geriatr. Gerontol. Int. 2020, 20, 16–20. [Google Scholar] [CrossRef]
- Stern, Y. What is cognitive reserve? Theory and research application of the reserve concept. J. Int. Neuropsychol. Soc. 2002, 8, 448–460. [Google Scholar] [CrossRef]
- Nithianantharajah, J.; Hannan, A.J. The neurobiology of brain and cognitive reserve: Mental and physical activity as modulators of brain disorders. Prog. Neurobiol. 2009, 89, 369–382. [Google Scholar] [CrossRef]
- Song, S.; Stern, Y.; Gu, Y. Modifiable lifestyle factors and cognitive reserve: A systemic review of current evidence. Ageing Res. Rev. 2021, 74, 101551. [Google Scholar] [CrossRef] [PubMed]
- Yates, L.A.; Ziser, S.; Spector, A.; Orrell, M. Cognitive leisure activities and future risk of cognitive impairment and dementia: Systematic review and meta-analysis. Int. Psychogeriatr. 2016, 28, 1791–1806. [Google Scholar] [CrossRef] [PubMed]
- Wong, C.Y.; Ibrahim, I.; Hamid, T.A.; Mansor, E.I. The use of smartphone and mobile application among older adults in Malaysia. In Proceedings of the International Conference ICT, Society and Human Beings, Porto, Portugal, 15–17 July 2017; pp. 87–94. [Google Scholar]
- Wu, Y.-H.; Lewis, M.; Rigaud, A.-S. Cognitive Function and Digital Device Use in Older Adults Attending a Memory Clinic. Gerontol. Geriatr. Med. 2019, 5, 2333721419844886. [Google Scholar] [CrossRef]
- Vanoh, D.; Shahar, S.; Ishak, I.H.M.; Manaf, Z.A.; Razali, R.; Ali, N.M.; Noah, S.M. Development and Evaluation of Acceptance of a Web Based Education Module for Reducing Risk of Mild Cognitive Impairment among Older Adults. J. Sains Kesihat. Malays. Isu Khas 2018, 39, 233–234. [Google Scholar] [CrossRef]
- Bonnechère, B.; Langley, C.; Sahakian, B.J. The use of commercial computerised cognitive games in older adults: A meta-analysis. Sci. Rep. 2020, 10, 15276. [Google Scholar] [CrossRef]
- Azuddin, M.; Abd Malik, S.; Abdullah, L.M.; Mahmud, M. Older people and their use of mobile devices: Issues, purpose and context. In Proceedings of the 5th International Conference on Information and Communication Technology for the Muslim World (ICT4M), Kuching, Malaysia, 17–18 November 2014; IEEE: Pisccataway, NJ, USA, 2014; pp. 1–6. [Google Scholar]
- Soldan, A.; Pettigrew, C.; Cai, Q.; Wang, J.; Wang, M.C.; Moghekar, A.; Miller, M.I.; Albert, M.; BIOCARD Research Team. Cognitive reserve and long-term change in cognition in aging and preclinical Alzheimer’s disease. Neurobiol. Aging 2017, 60, 164–172. [Google Scholar] [CrossRef] [PubMed]
- Franzmeier, N. Neural Mechanisms of Cognitive Reserve in Alzheimer’s Disease. Ph.D. Thesis, LMU Munich, Munich, Germany, 2017. [Google Scholar]
- Clare, L.; Wu, Y.-T.; Teale, J.; MacLeod, C.; Matthews, F.; Brayne, C.; Woods, B.; CFAS-Wales Study Team. Potentially modifiable lifestyle factors, cognitive reserve, and cognitive function in later life: A cross-sectional study. PLoS Med. 2017, 14, e922589. [Google Scholar] [CrossRef]
- Leon, I.; Garcia, J.; Roldan-Tapia, L. Development of the scale of cognitive reserve in Spanish population: A pilot study. Rev. Neurol. 2011, 52, 653–660. [Google Scholar]
- Jokinen, H.; Melkas, S.; Madureira, S.; Verdelho, A.; Ferro, J.M.; Fazekas, F.; Schmidt, R.; Scheltens, P.; Barkhof, F.; Wardlaw, J.M.; et al. Cognitive reserve moderates long-term cognitive and functional outcome in cerebral small vessel disease. J. Neurol. Neurosurg. Psychiatry 2016, 87, 1296–1302. [Google Scholar] [CrossRef]
- Folstein, M.F.; Folstein, S.E.; McHugh, P.R. “Mini-Mental State”. A Practical Method for Grading the Cognitive State of Patients for the Clinician. J. Psychiatr. Res. 1975, 12, 189–198. [Google Scholar] [CrossRef]
- Teh, E.E.; Che Ismail, H. Validation of Malay version of Geriatric Depression Scale among elderly inpatients. Age 2004, 17, 65. [Google Scholar]
- Mitrushina, M.; Satz, P. Reliability and validity of the mini-mental state exam in neurologically intact elderly. J. Clin. Psychol. 1991, 47, 537–543. [Google Scholar] [CrossRef] [PubMed]
- Ibrahim, N.M.; Shohaimi, S.; Chong, H.-T.; Rahman, A.H.A.; Razali, R.; Esther, E.; Basri, H.B. Validation Study of the Mini-Mental State Examination in a Malay-Speaking Elderly Population in Malaysia. Dement. Geriatr. Cogn. Disord. 2009, 27, 247–253. [Google Scholar] [CrossRef]
- Shahar, S.; Vanoh, D.; Razali, R.; Din, N.C.; Yahya, H.M.; Omar, A. Development of TUA-WELLNESS screening tool for screening risk of mild cognitive impairment among community-dwelling older adults. Clin. Interv. Aging 2016, 11, 579–587. [Google Scholar] [CrossRef]
- Hsieh, S.; Schubert, S.; Hoon, C.; Mioshi, E.; Hodges, J.R. Validation of the Addenbrooke’s Cognitive Examination III in frontotemporal dementia and Alzheimer’s disease. Dement. Geriatr. Cogn. Disord. 2013, 36, 242–250. [Google Scholar] [CrossRef]
- Kan, K.C.; Subramaniam, P.; Shahrizaila, N.; Kamaruzzaman, S.B.; Razali, R.; Ghazali, S.E. Validation of the Malay Version of Addenbrooke’s Cognitive Examination III in Detecting Mild Cognitive Impairment and Dementia. Dement. Geriatr. Cogn. Disord. Extra 2019, 9, 66–76. [Google Scholar] [CrossRef]
- Hayes, A.F. Introduction to Mediation, Moderation, and Conditional Process Analysis: A Regression-Based Approach; Guilford Publications: New York, NY, USA, 2017. [Google Scholar]
- Mayers, A. Introduction to Statistics and SPSS in Psychology; Pearson PLC: London, UK, 2013. [Google Scholar]
- Alam, M.M.; Awawdeh, A.E.; Muhamad, A.I. Using e-wallet for business process development: Challenges and prospects in Malaysia. Bus. Process Manag. J. 2021, 27, 1142–1162. [Google Scholar] [CrossRef]
- Aziz, N.F.; Zainal, A.; Ahmad, N.A. Towards User Experience Evaluation of Digital Health Technology for Elderly. Selangor Sci. Technol. Rev. 2021, 5, 57–63. [Google Scholar]
- Zamri, N.; Mohideen, F.B.S. The Practicality of Mobile Applications in Healthcare Administration and COVID-19 Pandemic. Ulum Islam. 2021, 33, 117–130. [Google Scholar] [CrossRef]
- Minhat, H.S.; Amin, R.M. Sociodemographic Determinants of Leisure Participation Among Elderly in Malaysia. J. Community Health 2011, 37, 840–847. [Google Scholar] [CrossRef]
- Sixsmith, A.; Horst, B.R.; Simeonov, D.; Mihailidis, A. Older People’s Use of Digital Technology During the COVID-19 Pandemic. Bull. Sci. Technol. Soc. 2022, 42, 19–24. [Google Scholar] [CrossRef]
- Mansor, N.S.; Chow, C.M.; Halaki, M. Cognitive effects of video games in older adults and their modera-tors: A systematic review with meta-analysis and meta-regression. Aging Ment. Health 2022, 24, 841–856. [Google Scholar] [CrossRef] [PubMed]
- Dekhtyar, S.; Marseglia, A.; Xu, W.; Darin-Mattsson, A.; Wang, H.; Fratiglioni, L. Genetic risk of dementia mitigated by cognitive reserve: A cohort study. Ann. Neurol. 2019, 86, 68–78. [Google Scholar] [CrossRef] [PubMed]
- Groot, C.; Van Loenhoud, A.C.; Barkhof, F.; Van Berckel, B.N.; Koene, T.; Teunissen, C.C.; Scheltens, P.; van der Flier, W.M.; Ossenkoppele, R. Differential effects of cognitive reserve and brain reserve on cognition in Alzheimer disease. Neurology 2018, 90, e149–e156. [Google Scholar] [CrossRef]
- Giogkaraki, E.; Michaelides, M.P.; Constantinidou, F. The role of cognitive reserve in cognitive aging: Results from the neurocognitive study on aging. J. Clin. Exp. Neuropsychol. 2013, 35, 1024–1035. [Google Scholar] [CrossRef]
- Robertson, I.H. A right hemisphere role in cognitive reserve. Neurobiol. Aging 2014, 35, 1375–1385. [Google Scholar] [CrossRef]
- Sundararaman, V.; Kumari, G.S. Digital technology usage and cognitive functioning in older adults. Indian J. Gerontol. 2021, 35, 126–136. [Google Scholar]
- Kelly, M.E.; Duff, H.; Kelly, S.; Power, J.E.M.; Brennan, S.; Lawlor, B.A.; Loughrey, D.G. The impact of social activities, social networks, social support and social relationships on the cognitive functioning of healthy older adults: A systematic review. Syst. Rev. 2017, 6, 259. [Google Scholar] [CrossRef]
- Fortenbaugh, F.C.; DeGutis, J.; Germine, L.; Wilmer, J.B.; Grosso, M.; Russo, K.; Esterman, M. Sustained attention across the life span in a sample of 10,000: Dissociating ability and strategy. Psychol. Sci. 2015, 26, 1497–1510. [Google Scholar] [CrossRef]
- Spector, P.E. Do Not Cross Me: Optimizing the Use of Cross-Sectional Designs. J. Bus. Psychol. 2019, 34, 125–137. [Google Scholar] [CrossRef]
- Anthony, M.; Lin, F. A systematic review for functional neuroimaging studies of cognitive reserve across the cog-nitive aging spectrum. Arch. Clin. Neuropsychol. 2018, 33, 937–948. [Google Scholar] [CrossRef] [PubMed]
- Tian, H.; Wang, Y. Mobile Phone Addiction and Sleep Quality among Older People: The Mediating Roles of Depression and Loneliness. Behav. Sci. 2023, 13, 153. [Google Scholar] [CrossRef] [PubMed]
- Busch, P.A.; Hausvik, G.I.; Ropstad, O.K.; Pettersen, D. Smartphone usage among older adults. Comput. Hum. Behav. 2021, 121, 106783. [Google Scholar] [CrossRef]
- Kuerbis, A.; Mulliken, A.; Muench, F.; Moore, A.A.; Gardner, D. Older adults and mobile technology: Factors that enhance and inhibit utilization in the context of behavioral health. Ment. Health Addict. Res. 2017, 2, 1000136. [Google Scholar] [CrossRef]



| Variable | Total Sample (N = 210) | Skewness | Kurtosis | |||
|---|---|---|---|---|---|---|
| M(SD) or n(%) | Range | Stat. | SE | Stat. | SE | |
| Age (years), M(SD) | 67.22 (5.24) | 60–83 | ||||
| Gender, n(%) | ||||||
| Male | 114 (54.3) | |||||
| Female | 96 (45.7) | |||||
| Marital Status, n(%) | ||||||
| Single | 16 (7.6) | |||||
| Married | 161 (76.7) | |||||
| Divorced | 5 (2.4) | |||||
| Widowed | 28 (13.3) | |||||
| Ethnicity, n(%) | ||||||
| Malay | 68 (32.4) | |||||
| Chinese | 113 (53.8) | |||||
| Indian | 25 (11.9) | |||||
| Others | 4 (1.9) | |||||
| Education level, n(%) | ||||||
| No formal education | 4 (1.9) | |||||
| Primary school | 39 (18.6) | |||||
| Secondary school | 96 (45.7) | |||||
| Diploma/certificate equivalent | 31 (14.8) | |||||
| Undergraduate | 16 (7.6) | |||||
| Graduate and above | 24 (11.4) | |||||
| Currently working, n(%) | ||||||
| Yes | 66 (31.4) | |||||
| No | 144 (68.6) | |||||
| Level of job, n(%) | ||||||
| Low skilled manual work | 47 (22.4) | |||||
| Skilled manual work | 35 (16.7) | |||||
| Skilled non-manual work | 54 (25.7) | |||||
| Professional occupation | 56 (26.7) | |||||
| Highly responsible or intellectual occupation | 18 (8.6) | |||||
| Digital device ownership, n(%) | ||||||
| Mobile phone only | 5 (2.4) | |||||
| Smartphone only | 108 (51.4) | |||||
| Two devices and above including tablet or laptop | 97 (46.2) | |||||
| Purpose of digital device use, n(%) | ||||||
| Communication only | 14 (6.7) | |||||
| Multipurpose | 196 (93.3) | |||||
| Total hours per week on digital device use, M(SD) | 26.51 (20.02) | 1–89 | 0.81 | 0.17 | 0.20 | 0.33 |
| M-CSR, M(SD) | 56.42 (11.57) | 23–81 | −0.20 | 0.17 | −0.55 | 0.33 |
| TUA-WELLNESS, M(SD) | 12.94 (2.43) | 6–17 | −0.50 | 0.17 | −0.05 | 0.33 |
| ACE-III, M(SD) | 83.96 (10.14) | 45–99 | −0.99 | 0.17 | 0.89 | 0.33 |
| Total Effects | Direct Effect | Indirect Effects | ||||||||
|---|---|---|---|---|---|---|---|---|---|---|
| β | t | p-Value | β | t | p-Value | Hypothesis | β | SE | Percentile Bootstrap 95% Confidence Interval | |
| Lower | Upper | |||||||||
| 0.17 | 4.98 | <0.001 ** | 0.13 | 4.03 | <0.001 ** | H:DDU > CR > C | 0.04 | 0.14 | 0.012 | 0.066 |
| R | R2 | F | β | SE | t | p-Value | |
|---|---|---|---|---|---|---|---|
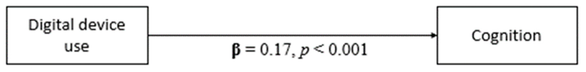
| Digital device use → Cognition (Path c) | 0.33 | 0.11 | 24.81 | 0.17 | 0.20 | 4.98 | <0.001 ** |
| Digital device use → Cognitive reserve (Path a) | 0.22 | 0.05 | 10.30 | 0.13 | 0.04 | 3.21 | 0.002 * |
| Cognitive reserve → Cognition (Path b) | 0.46 | 0.21 | 27.37 | 0.29 | 0.56 | 5.18 | <0.001 ** |
| Digital device use lessen predicts cognitive reserve (Path c’) | 0.46 | 0.21 | 27.37 | 0.13 | 0.03 | 4.03 | <0.001 ** |
| Moderator | R | R2 | F | p-Value |
|---|---|---|---|---|
| Cognitive reserve | 0.46 | 0.21 | 18.69 | <0.001 ** |
| Variables | β | SE | t | p-Value |
|---|---|---|---|---|
| Digital device use | 0.300 | 0.155 | 1.93 | 0.054 |
| Cognitive reserve | 0.363 | 0.087 | 4.17 | <0.001 ** |
| Digital device use * Cognitive reserve | −0.003 | 0.003 | −1.13 | 0.262 |
Disclaimer/Publisher’s Note: The statements, opinions and data contained in all publications are solely those of the individual author(s) and contributor(s) and not of MDPI and/or the editor(s). MDPI and/or the editor(s) disclaim responsibility for any injury to people or property resulting from any ideas, methods, instructions or products referred to in the content. |
© 2023 by the authors. Licensee MDPI, Basel, Switzerland. This article is an open access article distributed under the terms and conditions of the Creative Commons Attribution (CC BY) license (https://creativecommons.org/licenses/by/4.0/).
Share and Cite
Liang, C.; Subramaniam, P.; Mohd Ridzwan Goh, N.S.; Kok Wai, T.; Moustafa, A.A. Digital Device Use, Risk of Cognitive Impairment, and Cognition in Healthy Older Adults: The Role of Cognitive Reserve. Healthcare 2023, 11, 2822. https://doi.org/10.3390/healthcare11212822
Liang C, Subramaniam P, Mohd Ridzwan Goh NS, Kok Wai T, Moustafa AA. Digital Device Use, Risk of Cognitive Impairment, and Cognition in Healthy Older Adults: The Role of Cognitive Reserve. Healthcare. 2023; 11(21):2822. https://doi.org/10.3390/healthcare11212822
Chicago/Turabian StyleLiang, Carolyn, Ponnusamy Subramaniam, Nurul Syasya Mohd Ridzwan Goh, Tay Kok Wai, and Ahmed A. Moustafa. 2023. "Digital Device Use, Risk of Cognitive Impairment, and Cognition in Healthy Older Adults: The Role of Cognitive Reserve" Healthcare 11, no. 21: 2822. https://doi.org/10.3390/healthcare11212822
APA StyleLiang, C., Subramaniam, P., Mohd Ridzwan Goh, N. S., Kok Wai, T., & Moustafa, A. A. (2023). Digital Device Use, Risk of Cognitive Impairment, and Cognition in Healthy Older Adults: The Role of Cognitive Reserve. Healthcare, 11(21), 2822. https://doi.org/10.3390/healthcare11212822

