Modified Early Warning Score: Clinical Deterioration of Mexican Patients Hospitalized with COVID-19 and Chronic Disease
Abstract
:1. Introduction
2. Materials and Methods
2.1. Setting
2.2. Data Collection and Measurements
2.3. Statistic Analysis
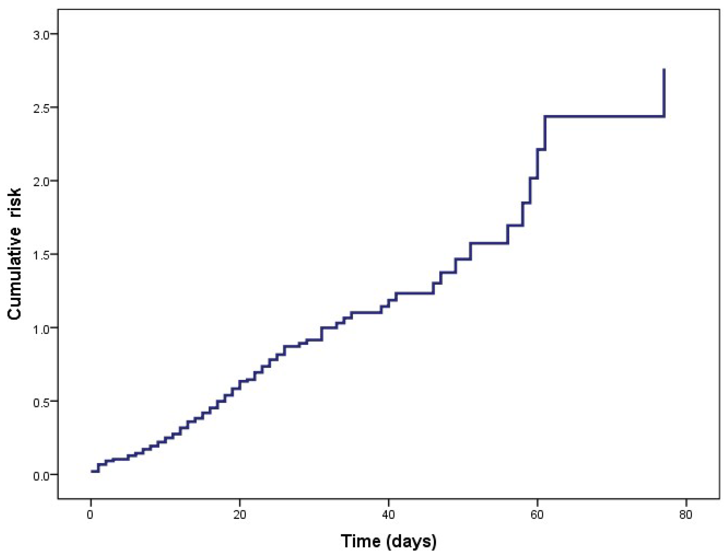
3. Results
4. Discussion
5. Conclusions
Author Contributions
Funding
Institutional Review Board Statement
Informed Consent Statement
Data Availability Statement
Acknowledgments
Conflicts of Interest
References
- Secretaría de Salud. Reporte—COVID-19. México. 2022. Available online: https://datos.covid-19.conacyt.mx/ (accessed on 1 May 2023).
- INEGI. Estadísticas de Defunciones Registradas en 2021. Comunicado de Prensa Núm. 600/22 26. 2022. Available online: https://www.inegi.org.mx/contenidos/saladeprensa/boletines/2022/EDR/EDR2021_10.pdf (accessed on 1 May 2023).
- Salinas-Aguirre, J.; Sánchez-García, C.; Rodríguez-Sanchez, R.; Rodríguez-Muñoz, L.; Díaz-Castaño, A.; Bernal-Gómez, R. Características clínicas y comorbilidades asociadas a mortalidad en pacientes con COVID-19 en Coahuila (México). Rev. Clínica Española 2021, 222, 288–292. [Google Scholar] [CrossRef]
- Terada, M.; Ohtsu, H.; Saito, S.; Hayakawa, K.; Tsuzuki, S.; Asai, Y.; Matsunaga, N.; Kutsuna, S.; Sugiura, W.; Ohmagari, N. Risk factors for severity on admission and the disease progression during hospitalisation in a large cohort of patients with COVID-19 in Japan. BMJ Open 2021, 11, e047007. [Google Scholar] [CrossRef]
- La Via, L.; Dezio, V.; Santonocito, C.; Astuto, M.; Morelli, A.; Huang, S.; Vieillard-Baron, A.; Sanfilippo, F. Full and simplified assessment of left ventricular diastolic function in COVID-19 patients admitted to ICU: Feasibility, incidence, and association with mortality. Echocardiography 2022, 39, 1391–1400. [Google Scholar] [CrossRef]
- Huang, S.; Vieillard-Baron, A.; Evrard, B.; Prat, G.; Chew, M.S.; Balik, M.; Clau-Terré, F.; De Backer, D.; Dessap, A.M.; Orde, S.; et al. Echocardiography phenotypes of right ventricular involvement in COVID-19 ARDS patients and ICU mortality: Post-hoc (exploratory) analysis of repeated data from the ECHO-COVID study. Intensive Care Med. 2023, 49, 946–956. [Google Scholar] [CrossRef] [PubMed]
- Geng, J.; Yu, X.; Bao, H.; Feng, Z.; Yuan, X.; Zhang, J.; Chen, X.; Chen, Y.; Li, C.; Yu, H. Chronic Diseases as a Predictor for Severity and Mortality of COVID-19: A Systematic Review with Cumulative Meta-Analysis. Front. Med. 2021, 8, 588013. [Google Scholar] [CrossRef] [PubMed]
- Bennett, T.D.; Moffitt, R.A.; Hajagos, J.G.; Amor, B.; Anand, A.; Bissell, M.M.; Bradwell, K.R.; Bremer, C.; Byrd, J.B.; Denham, A.; et al. Clinical Characterization and Prediction of Clinical Severity of SARS-CoV-2 Infection among US Adults Using Data from the US National COVID Cohort Collaborative. JAMA Netw. Open 2021, 4, e2116901. [Google Scholar] [CrossRef] [PubMed]
- Wang, L.; Lv, Q.; Zhang, X.; Jiang, B.; Liu, E.; Xiao, C.; Yu, X.; Yang, C.; Chen, L. The utility of MEWS for predicting the mortality in the elderly adults with COVID-19: A retrospective cohort study with comparison to other predictive clinical scores. PeerJ 2020, 8, e10018. [Google Scholar] [CrossRef] [PubMed]
- Mahala, P.; Kaeley, N.; Kabi, A.; Choudhary, S.; Hazra, A.; Vempalli, S. Utility of early warning scores to predict mortality in COVID-19 patients: A retrospective observational study. Int. J. Crit. Illn. Inj. Sci. 2021, 11, 161–166. [Google Scholar] [CrossRef]
- Aygun, H.; Eraybar, S. The role of emergency department triage early warning score (TREWS) and modified early warning score (MEWS) to predict in-hospital mortality in COVID-19 patients. Ir. J. Med Sci. 2022, 191, 997–1003. [Google Scholar] [CrossRef]
- Hu, H.; Yao, N.; Qiu, Y. Comparing Rapid Scoring Systems in Mortality Prediction of Critically Ill Patients with Novel Coronavirus Disease. Acad. Emerg. Med. 2020, 27, 461–468. [Google Scholar] [CrossRef]
- Drabik, L.; Derbisz, J.; Chatys-Bogacka, Z.; Mazurkiewicz, I.; Sawczynska, K.; Kesek, T.; Czepiel, J.; Wrona, P.; Szaleniec, J.; Wojcik-Bugajska, M.; et al. Neurological Prognostic Factors in Hospitalized Patients with COVID-19. Brain Sci. 2022, 12, 193. [Google Scholar] [CrossRef]
- Hu, H.; Kong, W.; Yao, N.; Qiu, Y.; Yao, R. Prognostic value of three rapid scoring scales and combined predictors for the assessment of patients with coronavirus disease 2019. Nurs. Open 2022, 9, 1865–1872. [Google Scholar] [CrossRef] [PubMed]
- Delo, A.; Tan, A.; Permejo, C.C.; Consolacion, M.; Torres, D. Modified Early Warning Score vs. Cardiac Arrest Risk Triage Score for Prediction of Cardiopulmonary Arrest: A Case–Control Study. Indian J. Crit. Care Med. 2022, 26, 780–785. [Google Scholar]
- Subbe, C.P.; Kruger, M.; Rutherford, P.; Gemmel, L. Validation of a modified Early Warning Score in medical admissions. QJM 2001, 94, 521–526. [Google Scholar] [CrossRef]
- Mirri, S.; Delnevo, G.; Roccetti, M. Is a COVID-19 second wave possible in Emilia-Romagna (Italy)? Forecasting a future outbreak with particulate pollution and machine learning. Computation 2020, 8, 74. [Google Scholar] [CrossRef]
- Milano, M.; Zucco, C.; Cannataro, M. COVID-19 Community Temporal Visualizer: A new methodology for the network-based analysis and visualization of COVID-19 data. Netw. Model. Anal. Health Inform. Bioinform. 2021, 10, 46. [Google Scholar] [CrossRef]
- Özdemir, S.; Algın, A.; Akça, H.; Altunok, I.; Kokulu, K.; Eroğlu, S.E.; Aksel, G. Predictive Ability of the MEWS, REMS, and RAPS in Geriatric Patients with SARS-CoV-2 Infection in the Emergency Department. Disaster Med. Public Health Prep. 2022, 17, e174. [Google Scholar] [CrossRef]
- Na, Y.S.; Kim, J.H.; Baek, M.S.; Kim, W.-Y.; Baek, A.-R.; Lee, B.Y.; Seong, G.M.; Lee, S.-I. In-hospital mortality prediction using frailty scale and severity score in elderly patients with severe COVID-19. Acute Crit. Care 2022, 37, 303–311. [Google Scholar] [CrossRef]
- Covino, M.; Sandroni, C.; Santoro, M.; Sabia, L.; Simeoni, B.; Bocci, M.G.; Ojetti, V.; Candelli, M.; Antonelli, M.; Gasbarrini, A.; et al. Predicting intensive care unit admission and death for COVID-19 patients in the emergency department using early warning scores. Resuscitation 2020, 156, 84–91. [Google Scholar] [CrossRef]
- Usul, E.; Korkut, S.; Kayipmaz, A.E.; Halici, A.; Kavalci, C. The role of the quick sequential organ failure assessment score (qSOFA) and modified early warning score (MEWS) in the pre-hospitalization prediction of sepsis prognosis. Am. J. Emerg. Med. 2020, 41, 158–162. [Google Scholar] [CrossRef]
- Guan, G.; Lee, C.M.Y.; Begg, S.; Crombie, A.; Mnatzaganian, G. The use of early warning system scores in prehospital and emergency department settings to predict clinical deterioration: A systematic review and meta-analysis. PLoS ONE 2022, 17, e0265559. [Google Scholar] [CrossRef] [PubMed]
- Allarakia, J.; Felemban, T.; Alghamdi, A.; Ashi, A.; Al Talhi, Y.M.; Alsahafi, A.; Alamri, A.; Aldabbagh, M. Modified Early Warning Score (MEWS) as a predictor of intensive care unit admission in cancer patient on chemotherapy with positive blood culture: A retrospective cohort study. J. Infect. Public Health 2023, 16, 865–869. [Google Scholar] [CrossRef] [PubMed]
- Liu, V.X.; Lu, Y.; Carey, K.A.; Gilbert, E.R.; Afshar, M.; Akel, M.; Shah, N.S.; Dolan, J.; Winslow, C.; Kipnis, P.; et al. Comparison of Early Warning Scoring Systems for Hospitalized Patients with and without Infection at Risk for In-Hospital Mortality and Transfer to the Intensive Care Unit. JAMA Netw. Open 2020, 3, e205191. [Google Scholar] [CrossRef] [PubMed]
- Khan, A.; Sarma, D.; Gowda, C.; Rodrigues, G. The Role of Modified Early Warning Score (MEWS) in the Prognosis of Acute Pancreatitis. Oman Med. J. 2021, 36, e272. [Google Scholar] [CrossRef]
- Singh, A.K.; Khunti, K. COVID-19 and Diabetes. Annu. Rev. Med. 2022, 73, 129–147. [Google Scholar] [CrossRef]
- Mahmoodpoor, A.; Sanaie, S.; Saghaleini, S.H.; Ostadi, Z.; Hosseini, M.-S.; Sheshgelani, N.; Vahedian-Azimi, A.; Samim, A.; Rahimi-Bashar, F. Prognostic value of National Early Warning Score and Modified Early Warning Score on intensive care unit readmission and mortality: A prospective observational study. Front. Med. 2022, 9, 938005. [Google Scholar] [CrossRef]
- Ko, R.-E.; Kwon, O.; Cho, K.-J.; Lee, Y.J.; Kwon, J.-M.; Park, J.; Kim, J.S.; Kim, A.J.; Jo, Y.H.; Lee, Y.; et al. Quick Sequential Organ Failure Assessment Score and the Modified Early Warning Score for Predicting Clinical Deterioration in General Ward Patients Regardless of Suspected Infection. J. Korean Med. Sci. 2022, 37, e122. [Google Scholar] [CrossRef]
- Wu, K.-H.; Cheng, F.-J.; Tai, H.-L.; Wang, J.-C.; Huang, Y.-T.; Su, C.-M.; Chang, Y.-N. Predicting in-hospital mortality in adult non-traumatic emergency department patients: A retrospective comparison of the Modified Early Warning Score (MEWS) and machine learning approach. PeerJ 2021, 9, e11988. [Google Scholar] [CrossRef]
- Kim, D.-K.; Lee, D.-H.; Lee, B.-K.; Cho, Y.-S.; Ryu, S.-J.; Jung, Y.-H.; Lee, J.-H.; Han, J.-H. Performance of Modified Early Warning Score (MEWS) for Predicting In-Hospital Mortality in Traumatic Brain Injury Patients. J. Clin. Med. 2021, 10, 1915. [Google Scholar] [CrossRef]
- Yu, Z.; Xu, F.; Chen, D. Predictive value of Modified Early Warning Score (MEWS) and Revised Trauma Score (RTS) for the short-term prognosis of emergency trauma patients: A retrospective study. BMJ Open 2021, 11, e041882. [Google Scholar] [CrossRef]
- Jiang, X.; Jiang, P.; Mao, Y. Performance of Modified Early Warning Score (MEWS) and Circulation, Respiration, Abdomen, Motor, and Speech (CRAMS) score in trauma severity and in-hospital mortality prediction in multiple trauma patients: A comparison study. PeerJ 2019, 7, e7227. [Google Scholar] [CrossRef] [PubMed]
- Jiang, X. An improved modified early warning score that incorporates the abdomen score for identifying multiple traumatic injury severity. PeerJ 2020, 8, e10242. [Google Scholar] [CrossRef] [PubMed]
- Latten, G.H.; Polak, J.; Merry, A.H.; Muris, J.W.; Ter Maaten, J.C.; Olgers, T.J.; Cals, J.W.; Stassen, P.M. Frequency of alterations in qSOFA, SIRS, MEWS and NEWS scores during the emergency department stay in infectious patients: A prospective study. Int. J. Emerg. Med. 2021, 14, 69. [Google Scholar] [CrossRef]
- Yu, M.; Huang, B.; Liu, P.; Wang, A.; Ding, W.; Zhai, Y.; Huang, Y.; Zhong, Y.; Jian, Z.; Huang, H.; et al. Detection of deteriorating patients after Whipple surgery by a modified early warning score (MEWS). Ann. Transl. Med. 2019, 7, 574. [Google Scholar] [CrossRef] [PubMed]
- Bhatnagar, M.; Sirohi, N.; Dubey, A. Prediction of hospital outcome in emergency medical admissions using modified early warning score (MEWS): Indian experience. J. Fam. Med. Prim. Care 2021, 10, 192–198. [Google Scholar] [CrossRef]
- Mitsunaga, T.; Hasegawa, I.; Uzura, M.; Okuno, K.; Otani, K.; Ohtaki, Y.; Sekine, A.; Takeda, S. Comparison of the National Early Warning Score (NEWS) and the Modified Early Warning Score (MEWS) for predicting admission and in-hospital mortality in elderly patients in the pre-hospital setting and in the emergency department. PeerJ 2019, 7, e6947. [Google Scholar] [CrossRef]
- Cook, R.J.; Dickens, B.M.; Fathalla, M.F. World Medical Association Declaration of Helsinki: Ethical principles for medical research involving human subjects. J. Am. Coll. Dent. 2014, 81, 14–18. [Google Scholar] [CrossRef]



| MEWS Value | MRI | Total | Did Not Survive | Survive | Women | Men | |||||
|---|---|---|---|---|---|---|---|---|---|---|---|
| % | % | No. | % | No. | % | No. | % | No. | % | No. | |
| Low | 7.9 | 53.5 | 230 | 20.9 | 90 | 32.6 | 140 | 24.5 | 105 | 29 | 125 |
| Half | 12.7 | 23.7 | 102 | 10.9 | 47 | 12.8 | 55 | 10.9 | 47 | 12.8 | 55 |
| High | 30 | 22.8 | 98 | 9.5 | 41 | 13.3 | 57 | 8.6 | 37 | 14.2 | 61 |
| Total | 100 | 430 | 41.4 | 178 | 58.6 | 252 | 44 | 189 | 56 | 241 | |
| Test | Score | MEWS Score | Confidence Interval 95% | |||
|---|---|---|---|---|---|---|
| Mean | SD | p | Lower | Superior | ||
| t for a sample | 30.03 | 3.09 | 2.135 | 0.000 | 2.89 | 3.30 |
| t for independent samples: Survivors | 0.891 | 3.02 | 2.142 | 0.373 | −0.225 | 0.597 |
| t for independent samples: Non-survivors | 0.892 | 3.20 | 2.127 | −0.224 | 0.597 | |
| Linear Regression Model | Score | MEWS Score | ||||
|---|---|---|---|---|---|---|
| R. | ANOVA | Constant | Coefficient | t | p | |
| Simple linear regression model: Oxygen saturation | 0.432 | 0.000 | 9.181 | −0.068 | −9.902 | 0.000 |
| Multiple Linear Regression Model: Oxygen Saturation | 0.920 | 0.000 | 4.713 | −0.037 | −9.783 | 0.000 |
| Diabetes | 0.059 | 0.719 | 0.472 | |||
| Hypertension | 0.161 | 1.799 | 0.073 | |||
| Sex | 0.078 | 0.948 | 0.344 | |||
| Use oxygenation device | 0.026 | 1.201 | 0.230 | |||
| Hypoxia | −0.271 | −2.593 | 0.010 | |||
| Medium risk of mortality | 1.845 | 17.256 | 0.000 | |||
| High risk of mortality | 4.406 | 37.407 | 0.000 | |||
Disclaimer/Publisher’s Note: The statements, opinions and data contained in all publications are solely those of the individual author(s) and contributor(s) and not of MDPI and/or the editor(s). MDPI and/or the editor(s) disclaim responsibility for any injury to people or property resulting from any ideas, methods, instructions or products referred to in the content. |
© 2023 by the authors. Licensee MDPI, Basel, Switzerland. This article is an open access article distributed under the terms and conditions of the Creative Commons Attribution (CC BY) license (https://creativecommons.org/licenses/by/4.0/).
Share and Cite
Santiago González, N.; García-Hernández, M.d.L.; Cruz-Bello, P.; Chaparro-Díaz, L.; Rico-González, M.d.L.; Hernández-Ortega, Y. Modified Early Warning Score: Clinical Deterioration of Mexican Patients Hospitalized with COVID-19 and Chronic Disease. Healthcare 2023, 11, 2654. https://doi.org/10.3390/healthcare11192654
Santiago González N, García-Hernández MdL, Cruz-Bello P, Chaparro-Díaz L, Rico-González MdL, Hernández-Ortega Y. Modified Early Warning Score: Clinical Deterioration of Mexican Patients Hospitalized with COVID-19 and Chronic Disease. Healthcare. 2023; 11(19):2654. https://doi.org/10.3390/healthcare11192654
Chicago/Turabian StyleSantiago González, Nicolás, María de Lourdes García-Hernández, Patricia Cruz-Bello, Lorena Chaparro-Díaz, María de Lourdes Rico-González, and Yolanda Hernández-Ortega. 2023. "Modified Early Warning Score: Clinical Deterioration of Mexican Patients Hospitalized with COVID-19 and Chronic Disease" Healthcare 11, no. 19: 2654. https://doi.org/10.3390/healthcare11192654
APA StyleSantiago González, N., García-Hernández, M. d. L., Cruz-Bello, P., Chaparro-Díaz, L., Rico-González, M. d. L., & Hernández-Ortega, Y. (2023). Modified Early Warning Score: Clinical Deterioration of Mexican Patients Hospitalized with COVID-19 and Chronic Disease. Healthcare, 11(19), 2654. https://doi.org/10.3390/healthcare11192654

