Systematic Review and Meta-Analysis on Burnout Owing to Perfectionism in Elite Athletes Based on the Multidimensional Perfectionism Scale (MPS) and Athlete Burnout Questionnaire (ABQ)
Abstract
1. Introduction
1.1. Research Purpose and Significance
1.2. Research Question
- What is the effect size of the impact on the types of burnout (emotional/physical exhaustion (E), reduced sense of accomplishment (R), and sports devaluation (SD)) depending on the type of perfectionism (SOP or SPP)?
- How does the effect size vary depending on the type of sport (individual, team, or individual/team sports)?
- How does the effect size vary depending on sex (male/both male and female)?
- How does the effect size vary depending on the nationality of participants (Asian/non-Asian)?
- How does effect size vary depending on the type of publication (academic journal or dissertation)?
2. Materials and Methods
2.1. Inclusion/Exclusion Criteria
2.2. Literature Search
2.3. Quality Assessment
2.4. Data Extraction
2.5. Data Analysis
3. Results
3.1. Literature Search
Study Characteristics
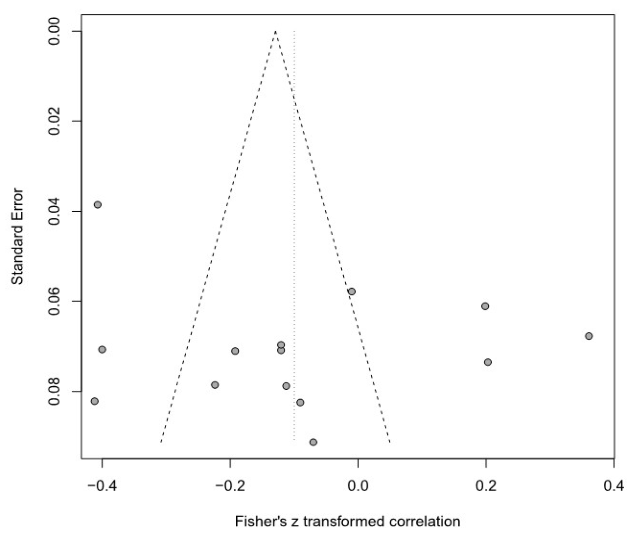
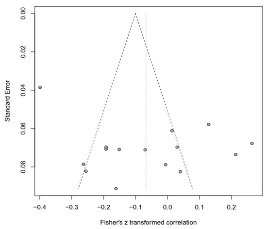
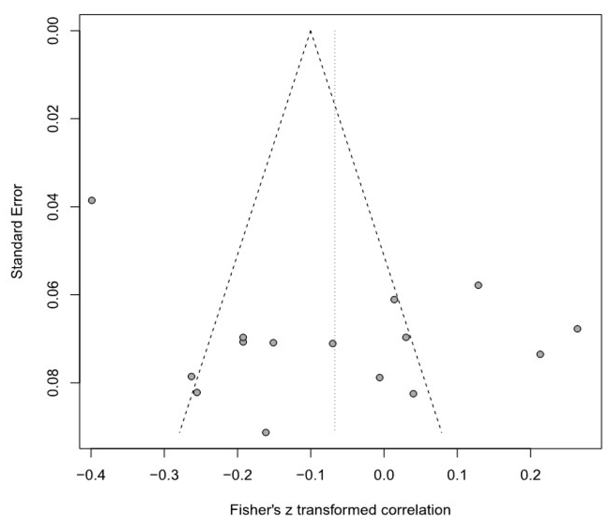
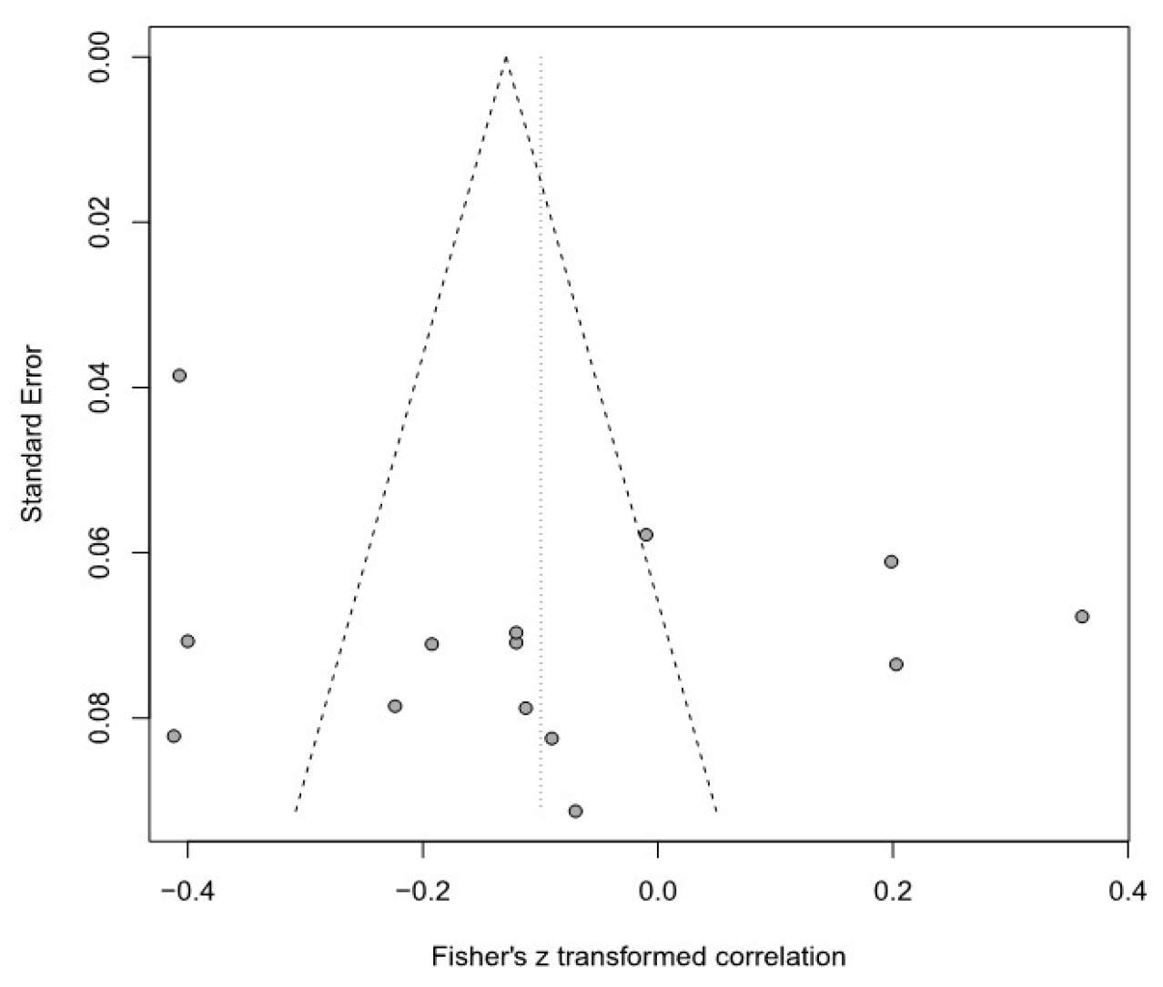
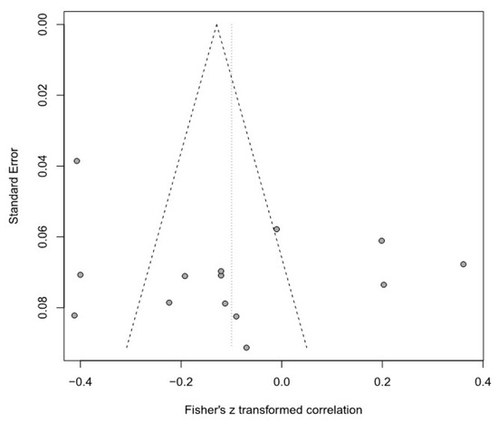
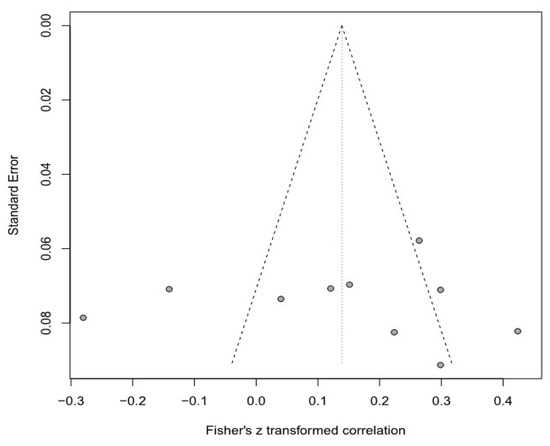
3.2. Overall Effects of Perfectionism and Burnout
3.3. Results of Moderator Analyses
4. Discussion
Limitations and Future Directions
5. Conclusions
Author Contributions
Funding
Institutional Review Board Statement
Informed Consent Statement
Data Availability Statement
Conflicts of Interest
References
- Frost, R.O.; Marten, P.; Lahart, C.; Rosenblate, R. The dimensions of perfectionism. Cognit. Ther. Res. 1990, 14, 449–468. [Google Scholar] [CrossRef]
- Stoeber, J. Perfectionism and performance. In The Oxford Handbook of Sport and Performance Psychology; Oxford University Press: Oxford, UK, 2012; pp. 294–306. [Google Scholar]
- Blatt, S.J. The destructiveness of perfectionism: Implications for the treatment of depression. Am. Psychol. 1995, 50, 1003–1020. [Google Scholar] [CrossRef] [PubMed]
- Bieling, P.J.; Israeli, A.L.; Antony, M.M. Is perfectionism good, bad, or both? Examining models of the perfectionism construct. Pers. Individ. Differ. 2004, 36, 1373–1385. [Google Scholar] [CrossRef]
- Hewitt, P.L.; Flett, G.L. Perfectionism in the self and social contexts: Conceptualization, assessment, and association with psychopathology. J. Pers. Soc. Psychol. 1991, 60, 456–470. [Google Scholar] [CrossRef] [PubMed]
- Madigan, D.J.; Stoeber, J.; Forsdyke, D.; Dayson, M.; Passfield, L. Perfectionism predicts injury in junior athletes: Preliminary evidence from a prospective study. J. Sports Sci. 2018, 36, 545–550. [Google Scholar] [CrossRef]
- Sagar, S.S.; Stoeber, J. Perfectionism, fear of failure, and affective responses to success and failure: The central role of fear of experiencing shame and embarrassment. J. Sport Exerc. Psychol. 2009, 31, 602–627. [Google Scholar] [CrossRef]
- Curran, T.; Hill, A.P.; Jowett, G.E.; Mallinson-Howard, S.H. The relationship between multidimensional perfectionism and passion in junior athletes. Int. J. Sport Psychol. 2014, 45, 369–384. [Google Scholar]
- Ayas, H.; Biçer, T. The relationship between perfectionism and goal orientation types on sports continuation. J. Neurobehav. Sci. 2021, 8, 107–120. [Google Scholar] [CrossRef]
- Rotella, R.J.; Hanson, T.; Coop, R.H. Burnout in youth sports. Elem. Sch. J. 1991, 91, 421–428. [Google Scholar] [CrossRef]
- Gustafsson, H.; Hill, A.P.; Stenling, A.; Wagnsson, S. Profiles of perfectionism, parental climate, and burnout among competitive junior athletes. Scand. J. Med. Sci. Sports 2016, 26, 1256–1264. [Google Scholar] [CrossRef]
- Appleton, P.R.; Hall, H.K.; Hill, A.P. Relations between multidimensional perfectionism and burnout in junior-elite male athletes. Psychol. Sport Exer. 2009, 10, 457–465. [Google Scholar] [CrossRef]
- Gotwals, J.K. Perfectionism and burnout within intercollegiate sport: A person-oriented approach. Sport Psychol. 2011, 25, 489–510. [Google Scholar] [CrossRef]
- Jowett, G.E.; Hill, A.P.; Hall, H.K.; Curran, T. Perfectionism and junior athlete burnout: The mediating role of autonomous and controlled motivation. Sport Exer. Perform. Psychol. 2013, 2, 48–61. [Google Scholar] [CrossRef]
- Jowett, G.E.; Hill, A.P.; Hall, H.K.; Curran, T. Perfectionism, burnout and engagement in youth sport: The mediating role of basic psychological needs. Psychol. Sport Exer. 2016, 24, 18–26. [Google Scholar] [CrossRef]
- Madigan, D.J.; Stoeber, J.; Passfield, L. Perfectionism and burnout in junior athletes: A three-month longitudinal study. J. Sport Exerc. Psychol. 2015, 37, 305–315. [Google Scholar] [CrossRef]
- Raedeke, T.D.; Smith, A.L. Development and preliminary validation of an athlete burnout measure. J. Sport Exerc. Psychol. 2001, 23, 281–306. [Google Scholar] [CrossRef]
- Arce, C.; De Francisco, C.; Andrade, E.; Seoane, G.; Raedeke, T. Adaptation of the Athlete Burnout Questionnaire in a Spanish sample of athletes. Span. J. Psychol. 2012, 15, 1529–1536. [Google Scholar] [CrossRef]
- Sharp, L.A.; Woodcock, C.; Holland, M.; Duda, J.; Cumming, J. Validation of the Athlete Burnout Questionnaire with youth athletes. J. Sport Exerc. Psychol. 2010, 32, 218–219. [Google Scholar]
- Stoeber, J.; Otto, K.; Stoll, O. Perfectionism in Sport; Martin Luther University of Halle-Wittenberg: Halle, Germany, 2004; Volume 7, pp. 4–13. [Google Scholar]
- Gotwals, J.K.; Dunn, J.G. A multi-method multi-analytic approach to establishing internal construct validity evidence: The Sport Multidimensional Perfectionism Scale 2. Meas. Phys. Educ. Exerc. Sci. 2009, 13, 71–92. [Google Scholar] [CrossRef]
- Maslach, C.; Jackson, S.E. Burnout in Health Professions: A Social Psychological Analysis, 1st ed.; Psychology Press: London, UK, 1982; pp. 227–251. [Google Scholar]
- Ho, M.S.H.; Appleton, P.R.; Cumming, J.; Duda, J.L. Examining the relationship between perfectionism dimensions and burning out symptoms in deaf and hearing athletes. J. Clin. Sport Psychol. 2015, 9, 156–172. [Google Scholar] [CrossRef]
- Aghdasi, M.T. The relationship between perfectionism and burnout in junior-elite athletes. Int. J. Sport Cult. Sci. 2014, 2, 27–39. [Google Scholar] [CrossRef]
- Olsson, L.F.; Madigan, D.J.; Hill, A.P.; Grugan, M.C. Do athlete and coach performance perfectionism predict athlete burnout? Eur. J. Sport Sci. 2022, 22, 1073–1084. [Google Scholar] [CrossRef] [PubMed]
- Park, J.-H. Structural Study on Perfectionism, Social Support, and Burnout in College Taekwondo Athletes. Ph.D. Thesis, Dankook University, Yongin, Republic of Korea, 2014. [Google Scholar]
- Zhang, D. The Relationship Among Oriented Perfectionism, Self-Management, Ego-Resilience and Burnout on Korean and Chinese Tennis Players. Master’s Thesis, Dankook University, Yongin, Republic of Korea, 2021. [Google Scholar]
- Kim, K.-Y.; Kim, S.-K. The relationship between multidimensional perfectionism orientation, sport stress, and sport burnout of college athletes. Korean J. Sport 2016, 14, 325–334. [Google Scholar]
- Moher, D.; Liberati, A.; Tetzlaff, J.; Altman, D.G.; PRISMA Group. Preferred reporting items for systematic reviews and meta-analyses: The PRISMA statement (reprinted from annals of internal medicine). Phys. Ther. 2009, 89, 873–880. [Google Scholar] [CrossRef]
- Cicolini, G.; Comparcini, D.; Simonetti, V. Workplace empowerment and nurses’ job satisfaction: A systematic literature review. J. Nurs. Manag. 2014, 22, 855–871. [Google Scholar] [CrossRef] [PubMed]
- Hill, A.P.; Hall, H.K.; Appleton, P.R.; Kozub, S.A. Perfectionism and burnout in junior elite soccer players: The mediating influence of unconditional self-acceptance. Psychol. Sport Exer. 2008, 9, 630–644. [Google Scholar] [CrossRef]
- Hill, A.P.; Appleton, P.R. The predictive ability of the frequency of perfectionistic cognitions, self-oriented perfectionism, and socially prescribed perfectionism in relation to symptoms of burnout in youth rugby players. J. Sports Sci. 2011, 29, 695–703. [Google Scholar] [CrossRef]
- Hill, A.P.; Hall, H.K.; Appleton, P.R. Perfectionism and athlete burnout in junior elite athletes: The mediating role of coping tendencies. Anxiety Stress. Coping 2010, 23, 415–430. [Google Scholar] [CrossRef]
- Bum, C.H.; Yoo, C.K.; Jung, C.K. A Convergence study on the relationship between perfectionism, stress, and burnout among college golf athletes. J. Korea Converg. Soc. 2017, 8, 243–252. [Google Scholar] [CrossRef]
- So, Y.-H. The relationship between perfectionism, competition anxiety, and burnout of physical education high school athletes. Korean J. Sport Psychol. 2011, 22, 77–92. [Google Scholar]
- Kim, M.-J.; Cho, S.-L. The relationship among perfectionism, exercise stress and athlete burnout of badminton athletes. Korean J. Sport 2017, 15, 623–634. [Google Scholar]
- Oh, C.Y. The Structural Relationship Between the Perfectionism and Psychological Factors of Boxing Athletes. Master’s Thesis, Kyung Hee University, Seoul, Republic of Korea, 2020. [Google Scholar]
- Lee, A. The Mediating Effect of Self-Compassion on the Relationship Between Multidimensional Perfectionism and Burnout of Dance Major. Ph.D. Thesis, Ewha Woman’s University, Seoul, Republic of Korea, 2020. [Google Scholar]
- Cohen, J. Statistical Power Analysis for the Behavioral Sciences, 2nd ed.; 12 Lawrence Erlbaum Associates Inc.: Hillsdale, NJ, USA, 1988; p. 13. [Google Scholar]
- Thompson, S.G.; Sharp, S.J. Explaining heterogeneity in meta-analysis: A comparison of methods. Stat. Med. 1999, 18, 2693–2708. [Google Scholar] [CrossRef]
- Hill, A.P.; Appleton, P.R.; Mallinson, S.H. Development and initial validation of the Performance Perfectionism Scale for Sport (PPS-S). J. Psychoeduc. Assess. 2016, 34, 653–669. [Google Scholar] [CrossRef]
- Gustafsson, H.; Sagar, S.S.; Stenling, A. Fear of failure, psychological stress, and burnout among adolescent athletes competing in high level sport. Scand. J. Med. Sci. Sports 2017, 27, 2091–2102. [Google Scholar] [CrossRef]
- Zhang, Y.; Gan, Y.; Cham, H. Perfectionism, academic burnout and engagement among Chinese college students: A structural equation modeling analysis. Personal. Individ. Differ. 2007, 43, 1529–1540. [Google Scholar] [CrossRef]
- Mahmoodi-Shahrebabaki, M. The effect of perfectionism on burnout among English language teachers: The mediating role of anxiety. Teach. Teach. 2017, 23, 91–105. [Google Scholar] [CrossRef]
- Vealey, R.S.; Martin, E.; Coppola, A.; Ward, R.M.; Chamberlin, J. The slippery slope: Can motivation and perfectionism lead to burnout in coaches? Int. Sport. Coach. J. 2020, 7, 1–10. [Google Scholar] [CrossRef]
- Appleton, P.R.; Hall, H.K.; Hill, A.P. Family patterns of perfectionism: An examination of elite junior athletes and their parents. Psychol. Sport Exerc. 2010, 11, 363–371. [Google Scholar] [CrossRef]
- Seo, Y.; Kim, M. The Relationship of Perceived Pressure, Perfectionism and Burnout among Ice Hockey Players. Korean J. Phys. Educ. 2022, 61, 429–445. [Google Scholar]
- Bicalho, C.C.F. Burnout in elite athletes: A systematic review. Cuad. Psicol. Deporte 2018, 18, 89–102. [Google Scholar]
- Gotwals, J.K.; Stoeber, J.; Dunn, J.G.H.; Stoll, O. Are perfectionistic strivings in sport adaptive? A systematic review of confirmatory, contradictory, and mixed evidence. Can. Psychol. Psychol. Can. 2012, 54, 263–279. [Google Scholar] [CrossRef]
- Yu, S.-Y. The Structural Relationship of Performance, Cooping and Burnout Based on Athletes’ Performance. Master’s Thesis, Chungnam National University, Daejeon, Republic of Korea, 2014. [Google Scholar]
- Mouratidis, A.; Michou, A. Perfectionism, self-determined motivation, and coping among adolescent athletes. Psychol. Sport Exer. 2011, 12, 355–367. [Google Scholar] [CrossRef]
- Sidhu, J.S. Passion in sports: A comparative study of male and female athletes. Int. J. Physiol. 2019, 4, 1440–1442. [Google Scholar]
- Schellenberg, B.J.; Verner-Filion, J.; Vallerand, R.J. The role of passion in the experience of emotions in sport. In Feelings in Sport; Routledge: New York, NY, USA, 2020; pp. 37–46. [Google Scholar]
- Martínez-Alvarado, J.R.; Aguiar Palacios, L.H.; Chávez-Flores, Y.V.; Berengüí, R.; Asadi-González, A.A.; Magallanes Rodríguez, A.G. Burnout, positivity and passion in young Mexican athletes: The mediating effect of social support. Int. J. Environ. Res. Public Health 2021, 18, 1757. [Google Scholar] [CrossRef] [PubMed]







| First Author (Year) | Q1 | Q2-1 | Q2-2 | Q2-3 | Q2-4 | Q2-5 | Q3-1 | Q3-2 | Q4-1 | Q4-2 (2 Points) | Q4-3 | Q5-1 | Q5-2 | Outcome |
|---|---|---|---|---|---|---|---|---|---|---|---|---|---|---|
| Appleton (2009) [12] | Y | N/A | Y | Y | Y | N/A | Y | Y | Y | Y | Y | Y | Y | 12(H) |
| Hill (2008) [31] | Y | N/A | Y | N | Y | N/A | Y | Y | Y | Y | Y | Y | Y | 11(H) |
| Hill (2011) [32] | Y | N/A | Y | N | Y | N/A | Y | Y | Y | Y | Y | Y | Y | 11(H) |
| Hill (2010) [33] | Y | N/A | Y | N | Y | N/A | Y | Y | Y | Y | Y | Y | Y | 11(H) |
| Aghdasi (2014) [24] | Y | N | Y | N | Y | Y | Y | Y | Y | N/A | Y | Y | Y | 10(H) |
| Olsson (2021) [25] | Y | N/A | Y | Y | Y | N/A | Y | Y | Y | Y | Y | Y | Y | 12(H) |
| Ho (2015) [23] | Y | N/A | Y | Y | Y | N/A | Y | Y | Y | Y | Y | Y | Y | 11(H) |
| Bum (2017) [34] | Y | N | Y | Y | Y | Y | Y | Y | Y | Y | Y | Y | Y | 13(H) |
| So (2011) [35] | Y | N/A | Y | Y | Y | Y | Y | Y | Y | Y | Y | Y | Y | 13(H) |
| Kim (2017) [36] | Y | N | Y | N | Y | N/A | Y | Y | Y | Y | Y | Y | Y | 12(H) |
| Kim (2016) [28] | Y | N | Y | N | Y | Y | Y | Y | Y | Y | Y | Y | Y | 12(H) |
| Zhang (2021) [27] | Y | N/A | Y | Y | Y | N/A | Y | Y | Y | Y | Y | Y | Y | 12(H) |
| Oh (2020) [37] | Y | N | Y | N | Y | Y | Y | Y | Y | Y | Y | Y | Y | 12(H) |
| Lee (2020) [38] | Y | N/A | Y | Y | Y | Y | Y | Y | Y | Y | Y | Y | Y | 13(H) |
| First Author (Year) | Participant Characteristics | Extracted Value | Perfectionism Questionnaires | Burnout Questionnaires | Type of Publication |
|---|---|---|---|---|---|
| Appleton (2009) [12] | (Individual, team) 201 junior elite male athletes aged 11–21 in England | Correlation (r) | MPS [5] | ABQ [17] | Article |
| Hill (2008) [31] | (Team) 151 male soccer players aged 10–18 in the UK | Correlation (r) | MPS [5] | ABQ [17] | Article |
| Hill (2011) [32] | (Team) 202 male rugby players aged 16–24 in the UK | Correlation (r) | MPS-H [5] | ABQ [17] | Article |
| Hill (2010) [33] | (Team) 150 male and female canoe/kayak athletes aged 13–55 in the UK | Correlation (r) | MPS [5] | ABQ [17] | Article |
| Aghdasi (2014) [24] | (Team) 123 male and female youth handball players in Turkey | Correlation (r) | MPS [5] | ABQ [17] | Article |
| Olsson (2021) [25] | (Individual) 190 male and female athletes with an average age of 20.54 in the UK | Correlation (r) | PPS-S [40] | ABQ [17] | Article |
| Ho (2015) [23] | (Individual, team) Male and female athletes in the UK Hearing impaired (n = 209), average age of 27.3 Not hearing impaired (n = 203), average age of 18.8 | Correlation (r) | MPS [5] | ABQ [17] | Article |
| Bum (2017) [34] | (Individual) 221 male and female golf athletes from six universities in Korea | Correlation (r) | K-MPS [5] | MBI [22] | Article |
| So (2011) [35] | (Individual, team) 271 male and female athletes in middle and high schools in Korea | Correlation (r) | MPS [5] | MBI [22] | Article |
| Kim (2017) [36] | (Individual) 165 athletes in male and female business badminton teams in Korea as of 2016 | Correlation (r) | MPS [5] | ABQ [17] | Article |
| Kim (2016) [28] | (Individual, team) 164 male athletes from one university in Korea | Correlation (r) | MPS [5] | MBI [22] | Article |
| Zhang (2021) [27] | (Individual) 676 male and female tennis players aged 19 and above in Korea and China | Correlation (r) | MPS [5] | ABQ [22] | Dissertation |
| Oh (2020) [37] | (Individual) 268 male and female athletes registered in the Boxing Association of Korea in 2019 | Correlation (r) | MPS [5] | ABQ [17] | Dissertation |
| Lee (2020) [38] | (Individual) 302 male and female dancers in Korea | Correlation (r) | MPS [5] | ABQ [17] | Dissertation |
| k | ESr | Confidence Interval | I2 | Egger’s (t) | Egger’s (df) | Egger’s (p) | |
|---|---|---|---|---|---|---|---|
| 1->3 | k = 14 | −0.132 | −0.234; −0.030 | 93% *** | 1.264 | 12 | 0.230 |
| 1->4 | k = 15 | −0.079 | −0.192; −0.035 | 91% *** | 1.935 | 13 | 0.074 |
| 1->5 | k = 11 | −0.246 *** | −0.344; −0.143 | 86% *** | 0.982 | 9 | 0.351 |
| 2->3 | k = 13 | 0.126 | −0.023; 0.270 | 93% *** | −0.236 | 11 | 0.817 |
| 2->4 | k = 14 | 0.150 * | 0.025; 0.271 | 91% *** | −0.382 | 12 | 0.709 |
| 2->5 | k = 10 | 0.138 * | 0.009; 0.261 | 88% *** | −0.034 | 8 | 0.973 |
| Moderator Analysis on the Type of Sports Played by Athletes | |||||||||||
|---|---|---|---|---|---|---|---|---|---|---|---|
| SOP | SPP | ||||||||||
| k | ESr | I2 | QB(df) | p-Value | k | ESr | I2 | QB(df) | p-Value | ||
| 1->7 | k = 5 | −0.016 | 91% ** | 4->7 | k = 4 | 0.149 | 96% ** | ||||
| 1->8 | k = 4 | −0.137 | 97% ** | 0.81(2) | p = 0.66 | 4->8 | k = 4 | 0.189 | 96% ** | 0.58(2) | p = 0.74 |
| 1->9 | k = 5 | −0.171 | 73% * | 4->9 | k = 5 | 0.058 | 78% ** | ||||
| 2->7 | k = 6 | −0.074 | 96% ** | 5->7 | k = 5 | 0.181 | 93% ** | ||||
| 2->8 | k = 4 | −0.131 | 41% | 0.29(2) | p = 0.86 | 5->8 | k = 5 | 0.169 | 95% ** | 0.26(2) | p = 0.87 |
| 2->9 | k = 5 | −0.044 | 40% | 5->9 | k = 4 | 0.104 | 85% ** | ||||
| 3->7 | k = 4 | −0.196 | 93% ** | 6->7 | k = 3 | 0.012 | 94% ** | ||||
| 3->8 | k = 4 | −0.196 | 82% ** | 0.71(2) | p = 0.70 | 6->8 | k = 4 | 0.195 | 90% ** | 1.34(2) | p = 0.51 |
| 3->9 | k = 3 | −0.234 | 81% ** | 6->9 | k = 3 | 0.187 | 44% | ||||
| Moderator Analysis on the Athletes’ Sex | |||||||||||
| SOP | SPP | ||||||||||
| k | ESr | I2 | QB(df) | p-Value | k | ESr | (df) | p-Value | |||
| 1->10 | k = 4 | −0.205 | 67% * | 0.86(1) | p = 0.35 | 4->10 | k = 4 | 0.077 | 96% ** | 0.17(1) | p = 0.67 |
| 1->11 | k = 10 | −0.062 | 95% ** | 4->11 | k = 9 | 0.147 | 91% ** | ||||
| 2->10 | k = 4 | −0.119 | 45% | 0.16(1) | p = 0.68 | 5->10 | k = 4 | 0.039 | 96% ** | 1.24(1) | p = 0.26 |
| 2->11 | k = 11 | −0.064 | 94% ** | 5->11 | k = 10 | 0.193 | 86% ** | ||||
| 3->10 | k = 3 | −0.351 | 82% ** | 1.60(1) | p = 0.20 | 6->10 | k = 3 | 0.118 | 94% ** | 0.24(1) | p = 0.62 |
| 3->11 | k = 8 | −0.020 | 87% ** | 6->11 | k = 7 | 0.116 | 85% ** | ||||
| Moderator Analysis on the Athletes‘ Nationality | |||||||||||
| SOP | SPP | ||||||||||
| k | ESr | (df) | p-Value | k | ESr | (df) | p-Value | ||||
| 1->12 | k = 6 | −0.033 | 96% ** | 0.74(1) | p = 0.39 | 4->12 | k = 5 | 0.077 | 95% ** | 0.24(1) | p = 0.62 |
| 1->13 | k = 8 | −0.156 | 86% ** | 4->13 | k = 8 | 0.157 | 92% ** | ||||
| 2->12 | k = 7 | −0.091 | 95% ** | 0.03(1) | p = 0.85 | 5->12 | k = 6 | 0.094 | 94% ** | 0.56(1) | p = 0.45 |
| 2->13 | k = 8 | −0.068 | 75% ** | 5->13 | k = 8 | 0.193 | 89% ** | ||||
| 3->12 | k = 3 | −0.351 | 82% ** | 1.60(1) | p = 0.20 | 6->12 | k = 2 | 0.000 | 97% ** | 1.02(1) | p = 0.31 |
| 3->13 | k = 8 | −0.205 | 87% ** | 6->13 | k = 8 | 0.173 | 82% ** | ||||
| Moderator Analysis on the Type of Publication | |||||||||||
| SOP | SPP | ||||||||||
| k | ESr | (df) | p-Value | k | ESr | (df) | p-Value | ||||
| 1->14 | k = 12 | −0.085 | 91% ** | 0.44(1) | p = 0.50 | 4->14 | k = 12 | 0.101 | 92% ** | 1.38(1) | p = 0.23 |
| 1->15 | k = 2 | −0.208 | 97% ** | 4->15 | k = 1 | 0.402 | - | ||||
| 2->14 | k = 12 | −0.044 | 81% ** | 1.66(1) | p = 0.19 | 5->14 | k = 12 | 0.143 | 91% ** | 0.08(1) | p = 0.78 |
| 2->15 | k = 3 | −0.210 | 97% ** | 5->15 | k = 2 | 0.194 | 95% ** | ||||
| 3->14 | k = 9 | −0.252 | 81% ** | 0.05(1) | p = 0.83 | 6->14 | k = 9 | 0.123 | 88% ** | 0.38(1) | p = 0.53 |
| 3->15 | K = 2 | −0.221 | 97% ** | 6->15 | k = 1 | 0.258 | - | ||||
Disclaimer/Publisher’s Note: The statements, opinions and data contained in all publications are solely those of the individual author(s) and contributor(s) and not of MDPI and/or the editor(s). MDPI and/or the editor(s) disclaim responsibility for any injury to people or property resulting from any ideas, methods, instructions or products referred to in the content. |
© 2023 by the authors. Licensee MDPI, Basel, Switzerland. This article is an open access article distributed under the terms and conditions of the Creative Commons Attribution (CC BY) license (https://creativecommons.org/licenses/by/4.0/).
Share and Cite
Yang, J.-H.; Yang, H.-J.; Choi, C.; Bum, C.-H. Systematic Review and Meta-Analysis on Burnout Owing to Perfectionism in Elite Athletes Based on the Multidimensional Perfectionism Scale (MPS) and Athlete Burnout Questionnaire (ABQ). Healthcare 2023, 11, 1417. https://doi.org/10.3390/healthcare11101417
Yang J-H, Yang H-J, Choi C, Bum C-H. Systematic Review and Meta-Analysis on Burnout Owing to Perfectionism in Elite Athletes Based on the Multidimensional Perfectionism Scale (MPS) and Athlete Burnout Questionnaire (ABQ). Healthcare. 2023; 11(10):1417. https://doi.org/10.3390/healthcare11101417
Chicago/Turabian StyleYang, Ji-Hye, Hye-Jin Yang, Chulhwan Choi, and Chul-Ho Bum. 2023. "Systematic Review and Meta-Analysis on Burnout Owing to Perfectionism in Elite Athletes Based on the Multidimensional Perfectionism Scale (MPS) and Athlete Burnout Questionnaire (ABQ)" Healthcare 11, no. 10: 1417. https://doi.org/10.3390/healthcare11101417
APA StyleYang, J.-H., Yang, H.-J., Choi, C., & Bum, C.-H. (2023). Systematic Review and Meta-Analysis on Burnout Owing to Perfectionism in Elite Athletes Based on the Multidimensional Perfectionism Scale (MPS) and Athlete Burnout Questionnaire (ABQ). Healthcare, 11(10), 1417. https://doi.org/10.3390/healthcare11101417
