Exposure to Violence during Childhood and Child-to-Parent Violence: The Mediating Role of Moral Disengagement
Abstract
1. Introduction
2. Materials and Methods
2.1. Participants
2.2. Instruments
2.3. Procedure
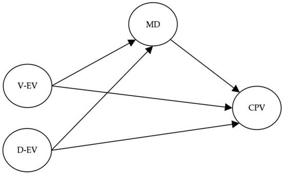
2.4. Data Analysis
3. Results
4. Discussion
5. Conclusions
Author Contributions
Funding
Institutional Review Board Statement
Informed Consent Statement
Data Availability Statement
Conflicts of Interest
References
- Harbin, H.; Madden, D. Battered Parents: A New Syndrome. Am. J. Psychiatry 1979, 136, 1288–1291. [Google Scholar] [CrossRef] [PubMed]
- Cottrell, B. Parent Abuse: The Abuse of Parents by Their Teenage Children; Health Canada; Public Services and Procurement Canada: Ottawa, ON, Canada, 2001. [Google Scholar]
- Howard, J.; Rottem, N. It All Starts at Home: Male Adolescent Violence to Mothers; Inner South Community Health Service Inc and Child Abuse Research Australia: Melbourne, Australia, 2008. [Google Scholar]
- Pereira, R.; Loinaz, I.; del Hoyo-Bilbao, J.; Arrospide, J.; Bertino, L.; Calvo, A.; Montes, Y.; Gutiérrez, M.M. Propuesta de Definición de Violencia Filio-Parental: Consenso de La Sociedad Española Para El Estudio de La Violencia Filio-Parental (SEVIFIP). Pap. Psicol. 2017, 38, 216–223. [Google Scholar] [CrossRef]
- Simmons, M.; McEwan, T.E.; Purcell, R.; Ogloff, J.R.P. Sixty Years of Child-to-Parent Abuse Research: What We Know and Where to Go. Aggress. Violent Behav. 2018, 38, 31–52. [Google Scholar] [CrossRef]
- Beckmann, L.; Bergmann, M.C.; Fischer, F.; Mößle, T. Risk and Protective Factors of Child-to-Parent Violence: A Comparison Between Physical and Verbal Aggression. J. Interpers. Violence 2017, 36, 1309–1334. [Google Scholar] [CrossRef]
- Cano-Lozano, M.C.; Rodríguez-Díaz, F.J.; León, S.P.; Contreras, L. Analyzing the Relationship Between Child-to-Parent Violence and Perceived Parental Warmth. Front. Psychol. 2020, 11, 590097. [Google Scholar] [CrossRef] [PubMed]
- Cano-Lozano, M.C.; León, S.P.; Contreras, L. Relationship between Punitive Discipline and Child-to-Parent Violence: The Moderating Role of the Context and Implementation of Parenting Practices. Int. J. Environ. Res. Public Health 2022, 19, 182. [Google Scholar] [CrossRef] [PubMed]
- Contreras, L.; Cano-Lozano, M.C. Family Profile of Young Offenders Who Abuse Their Parents: A Comparison with General Offenders and Non-Offenders. J. Fam. Violence 2014, 29, 901–910. [Google Scholar] [CrossRef]
- Contreras, L.; Cano-Lozano, M.C. Adolescents Who Assault Their Parents: A Different Family Profile of Young Offenders? Violence Vict. 2014, 29, 393–406. [Google Scholar] [CrossRef]
- Hernández, A.; Martín, A.M.; Hess-Medler, S.; García-García, J. What Goes on in This House Do Not Stay in This House: Family Variables Related to Adolescent-to-Parent Offenses. Front. Psychol. 2020, 11, 581761. [Google Scholar] [CrossRef]
- Bandura, A. Social Learning Theory of Aggression. J. Commun. 1978, 28, 12–29. [Google Scholar] [CrossRef]
- Gallego, R.; Novo, M.; Fariña, F.; Arce, R. Child-to-Parent Violence and Parent-to-Child Violence: A Meta-Analytic Review. Eur. J. Psychol. Appl. Leg. Context 2019, 11, 51–59. [Google Scholar] [CrossRef]
- Navas-Martínez, M.J.; Cano-Lozano, M.C. Profile of the Victimized Aggressor in Child-to-Parent Violence: Differences According to the Type of Victimization. Int. J. Clin. Health Psychol. 2022, 22, 100302. [Google Scholar] [CrossRef] [PubMed]
- Nowakowski-Sims, E.; Rowe, A. The Relationship between Childhood Adversity, Attachment, and Internalizing Behaviors in a Diversion Program for Child-to-Mother Violence. Child Abuse Negl. 2017, 72, 266–275. [Google Scholar] [CrossRef] [PubMed]
- Izaguirre, A.; Calvete, E. Exposure to Family Violence as a Predictor of Dating Violence and Child-to-Parent Aggression in Spanish Adolescents. Youth Soc. 2017, 49, 393–412. [Google Scholar] [CrossRef]
- Contreras, L.; Cano-Lozano, M.C. Child-to-Parent Violence: The Role of Exposure to Violence and Its Relationship to Social-Cognitive Processing. Eur. J. Psychol. Appl. Leg. Context 2016, 8, 43–50. [Google Scholar] [CrossRef]
- Contreras, L.; León, S.P.; Cano-Lozano, M.C. Socio-Cognitive Variables Involved in the Relationship between Violence Exposure at Home and Child-to-Parent Violence. J. Adolesc. 2020, 80, 19–28. [Google Scholar] [CrossRef] [PubMed]
- Martín, A.M.; De la Fuente, L.; Hernández, A.; Zaldívar, F.; Ortega-Campos, E.; García-García, J. Psychosocial Profile of Juvenile and Adult Offenders Who Acknowledge Having Committed Child-to-Parent Violence. Int. J. Env. Res. Public Health 2022, 19, 601. [Google Scholar] [CrossRef]
- Cano-Lozano, M.C.; Navas-Martínez, M.J.; Contreras, L. Child-to-Parent Violence during Confinement Due to COVID-19: Relationship with Other Forms of Family Violence and Psychosocial Stressors in Spanish Youth. Sustainability 2021, 13, 11431. [Google Scholar] [CrossRef]
- Cano-Lozano, M.C.; Contreras, L.; Navas-Martínez, M.J.; León, S.P.; Rodrríguez-Díaz, F.J. Child-to-Parent Violence Offenders (Specialists vs. Generalists): The Role of Direct Victimization at Home. Eur. J. Psychol. Appl. Leg. Context 2023, 15, 9–22. [Google Scholar] [CrossRef]
- Del Hoyo-Bilbao, J.; Orue, I.; Gámez-Guadix, M.; Calvete, E. Multivariate Models of Child-to-Mother Violence and Child-to-Father Violence among Adolescents. Eur. J. Psychol. Appl. Leg. Context 2020, 12, 11–21. [Google Scholar] [CrossRef]
- Lyons, J.; Bell, T.; Fréchette, S.; Romano, E. Child-to-Parent Violence: Frequency and Family Correlates. J. Fam. Violence 2015, 30, 729–742. [Google Scholar] [CrossRef]
- Navas-Martínez, M.J.; Cano-Lozano, M.C. Unique and Additive Effects of Family and School Victimization on Child-to-Parent Violence. Violence Vict. 2022, 37, 459–478. [Google Scholar] [CrossRef] [PubMed]
- Ibabe, I. Family Predictors of Child-to-Parent Violence: The Role of Family Discipline. An. de Psicol. 2015, 31, 615–625. [Google Scholar] [CrossRef]
- Calvete, E.; Orue, I.; Gamez-Guadix, M.; Bushman, B.J. Predictors of Child-to-Parent Aggression: A 3-Year Longitudinal Study. Dev. Psychol. 2015, 51, 663–676. [Google Scholar] [CrossRef]
- Margolin, G.; Baucom, B.R. Adolescents’ Aggression to Parents: Longitudinal Links with Parents’ Physical Aggression. J. Adolesc. Health 2014, 55, 645–651. [Google Scholar] [CrossRef] [PubMed]
- Crick, N.R.; Dodge, K.A. A Review and Reformulation of Social Information-Processing Mechanisms in Children’s Social Adjustment. Psychol. Bull. 1994, 115, 74–101. [Google Scholar] [CrossRef]
- Dodge, K.A.; Pettit, G.S. A Biopsychosocial Model of the Development of Chronic Conduct Problems in Adolescence. Dev. Psychol. 2003, 39, 349–371. [Google Scholar] [CrossRef]
- Huesmann, L.R. An Information Processing Model for the Development of Aggression. Aggress. Behav. 1988, 14, 13–24. [Google Scholar] [CrossRef]
- Huesmann, L.R. The Role of Social Information Processing and Cognitive Schema in the Acquisition and Maintenance of Habitual Aggressive Behavior. In Human Aggression: Theories, Research, and Implications for Social Policy; Geen, R.G., Donnerstein, E., Eds.; Academic Press: Cambridge, MA, USA, 1998; pp. 73–109. ISBN 978-0-12-278805-5. [Google Scholar]
- Bandura, A. Selective Activation and Disengagement of Moral Control. J. Soc. Issues 1990, 46, 27–46. [Google Scholar] [CrossRef]
- Orue, I.; Calvete, E.; Fernández-González, L. Early Maladaptive Schemas and Social Information Processing in Child-to-Parent Aggression. J. Interpers. Violence 2021, 36, 6931–6955. [Google Scholar] [CrossRef]
- Contreras, L.; Cano-Lozano, M.C. Exploring Psychological Features in Adolescents Who Assault Their Parents: A Different Profile of Young Offenders? J. Forens. Psychiatry Psychol. 2015, 26, 224–241. [Google Scholar] [CrossRef]
- Simmons, M.; McEwan, T.E.; Purcell, R. A Social-Cognitive Investigation of Young Adults Who Abuse Their Parents. J. Interpers. Violence 2020, 37, 327–349. [Google Scholar] [CrossRef] [PubMed]
- Junco-Guerrero, M.; Ruiz-Fernández, A.; Cantón-Cortés, D. Family Environment and Child-To-Parent Violence: The Role of Emotional Insecurity. J. Interpers. Violence 2022, 37, 13581–13602. [Google Scholar] [CrossRef] [PubMed]
- Bandura, A. Selective Moral Disengagement in the Exercise of Moral Agency. J. Moral Educ. 2002, 31, 101–119. [Google Scholar] [CrossRef]
- Obermann, M.L. Moral Disengagement in Self-Reported and Peer-Nominated School Bullying. Aggress. Behav. 2011, 37, 133–144. [Google Scholar] [CrossRef]
- Bandura, A.; Barbaranelli, C.; Caprara, G.V.; Pastorelli, C. Mechanisms of Moral Disengagement in the Exercise of Moral Agency. J. Soc. Psychol. 1996, 71, 364–374. [Google Scholar] [CrossRef]
- Bandura, A. Moral Disengagement in the Perpetration of Inhumanities. Personal. Soc. Psychol. Rev. 1999, 3, 193–209. [Google Scholar] [CrossRef]
- Bandura, A.; Caprara, G.V.; Barbaranelli, C.; Pastorelli, C.; Regalia, C. Sociocognitive Self-Regulatory Mechanisms Governing Transgressive Behavior. J. Soc. Psychol. 2001, 80, 125–135. [Google Scholar] [CrossRef]
- Concha-Salgado, A.; Ramírez, A.; Pérez, B.; Pérez-Luco, R.; García-Cueto, E. Moral Disengagement as a Self-Regulatory Cognitive Process of Transgressions: Psychometric Evidence of the Bandura Scale in Chilean Adolescents. Int. J. Environ. Res. Public Health 2022, 19, 12249. [Google Scholar] [CrossRef]
- Rubio-Garay, F.; Carrasco, M.A.; Amor, P.J. Aggression, Anger and Hostility: Evaluation of Moral Disengagement as a Mediational Process. Scand. J. Psychol. 2016, 57, 129–135. [Google Scholar] [CrossRef]
- Wang, X.; Lei, L.; Yang, J.; Gao, L.; Zhao, F. Moral Disengagement as Mediator and Moderator of the Relation Between Empathy and Aggression Among Chinese Male Juvenile Delinquents. Child Psychiatry Hum. Dev. 2017, 48, 316–326. [Google Scholar] [CrossRef] [PubMed]
- Gómez, A.S.; Narváez, M. Mecanismos de Desconexión Moral y Su Relación Con La Empatía y La Prosocialidad En Adolescentes Que Han Tenido Experiencias Delictivas. Rev. Psicol. 2019, 37, 603–641. [Google Scholar] [CrossRef]
- Paciello, M.; Fida, R.; Cerniglia, L.; Tramontano, C.; Cole, E. High Cost Helping Scenario: The Role of Empathy, Prosocial Reasoning and Moral Disengagement on Helping Behavior. Pers. Individ. Differ. 2013, 55, 3–7. [Google Scholar] [CrossRef]
- Rubio-Garay, F.; Carrasco Ortiz, M.Á.; García-Rodríguez, B. Moral Disengagement and Violence in Adolescent and Young Dating Relationships: An Exploratory Study. Rev. Argent. Clin. Psicol. 2019, 28, 22. [Google Scholar] [CrossRef]
- Rollero, C.; De Piccoli, N. Myths about Intimate Partner Violence and Moral Disengagement: An Analysis of Sociocultural Dimensions Sustaining Violence against Women. Int. J. Environ. Res. Public Health 2020, 17, 8139. [Google Scholar] [CrossRef]
- Romera, E.M.; Ortega-Ruiz, R.; Runions, K.; Falla, D. Moral Disengagement Strategies in Online and Offline Bullying. Psychosoc. Interv. 2021, 30, 85–93. [Google Scholar] [CrossRef]
- Bao, Z.; Zhang, W.; Lai, X.; Sun, W.; Wang, Y. Parental Attachment and Chinese Adolescents’ Delinquency: The Mediating Role of Moral Disengagement. J. Adolesc. 2015, 44, 37–47. [Google Scholar] [CrossRef]
- Hyde, L.W.; Shaw, D.S.; Moilanen, K.L. Developmental Precursors of Moral Disengagement and the Role of Moral Disengagement in the Development of Antisocial Behavior. J. Abnorm. Child. Psychol. 2010, 38, 197–209. [Google Scholar] [CrossRef]
- Pelton, J.; Gound, M.; Forehand, R.; Brody, G. The Moral Disengagement Scale: Extension with an American Minority Sample. Psychopathol. Behav. Assess 2004, 26, 31–39. [Google Scholar] [CrossRef]
- Wojciechowski, T. The Effect of Polyvictimization on the Development of Moral Disengagement and Effects on Violent Offending in Adulthood: Emotional and Cognitive Mediation Effects. Vict. Offenders 2021, 16, 1089–1107. [Google Scholar] [CrossRef]
- Esposito, C.; Spadari, E.M.; Caravita, S.C.S.; Bacchini, D. Profiles of Community Violence Exposure, Moral Disengagement, and Bullying Perpetration: Evidence from a Sample of Italian Adolescents. J. Interpers. Violence 2022, 37, 5887–5913. [Google Scholar] [CrossRef] [PubMed]
- Liang, H.; Jiang, H.; Zhang, C.; Zhou, H.; Zhang, B.; Tuo, A. How Does Parent-Adolescent Conflict and Deviant Peer Affiliation Affect Cyberbullying: Examining the Roles of Moral Disengagement and Gender. Psychol. Res. Behav. Manag. 2022, 15, 2259–2269. [Google Scholar] [CrossRef] [PubMed]
- Wang, X.; Yang, J.; Wang, P.; Lei, L. Childhood Maltreatment, Moral Disengagement, and Adolescents’ Cyberbullying Perpetration: Fathers’ and Mothers’ Moral Disengagement as Moderators. Comput. Hum. Behav. 2019, 95, 48–57. [Google Scholar] [CrossRef]
- Wang, X.; Dong, W.; Qiao, J. How Is Childhood Psychological Maltreatment Related to Adolescents’ Cyberbullying Perpetration? The Roles of Moral Disengagement and Empathy. Curr. Psychol. 2021. [Google Scholar] [CrossRef]
- Contreras, L.; Bustos-Navarrete, C.; Cano-Lozano, M.C. Child-to-Parent Violence Questionnaire (CPV-Q): Validation among Spanish Adolescents. Int. J. Clin. Health Psychol 2019, 19, 67–74. [Google Scholar] [CrossRef]
- Orue, I.; Calvete, E. Elaboración y Validación de Un Cuestionario Para Medir La Exposición a La Violencia En Infancia y Adolescencia. Int. J. Psychol. Psychol. Ther. 2010, 10, 279–292. [Google Scholar]
- Rubio-Garay, F.; Amor, P.J.; Carrasco, M.A. Dimensionality and Psychometric Properties of the Spanish Version of the Mechanisms of Moral Disengagement Scale (MMDS-S). Rev. Psicopatol. Psicol. Clin. 2017, 22, 43–54. [Google Scholar] [CrossRef]
- Satorra, A.; Bentler, P.M. A Scaled Difference Chi-Square Test Statistic for Moment Structure Analysis. Psychometrika 2001, 66, 507–514. [Google Scholar] [CrossRef]
- Hu, L.; Bentler, P.M. Cutoff Criteria for Fit Indexes in Covariance Structure Analysis: Conventional Criteria versus New Alternatives. Struct. Equ. Model. 1999, 6, 1–55. [Google Scholar] [CrossRef]
- Kwong, M.J.; Bartholomew, K.; Henderson, A.J.Z.; Trinke, S.J. The Intergenerational Transmission of Relationship Violence. J. Fam. Psychol. 2003, 17, 288–301. [Google Scholar] [CrossRef]



| M | SD | Skew | Kurtosis | 1 | 2 | 3 | 4 | 5 | |
|---|---|---|---|---|---|---|---|---|---|
| 1. V-EV | 0.912 | 2.205 | 3.457 | 14.909 | 1 | ||||
| 2. D-EV | 3.106 | 4.067 | 1.313 | 1.140 | 0.436 *** | 1 | |||
| 3. MD | 66.660 | 15.880 | 0.440 | 0.198 | 0.133 *** | 0.183 *** | 1 | ||
| 4. CPV-Father | 5.101 | 4.227 | 1.639 | 4.615 | 0.235 *** | 0.312 *** | 0.243 *** | 1 | |
| 5. CPV-Mother | 5.685 | 4.629 | 1.885 | 6.967 | 0.246 *** | 0.344 *** | 0.239 *** | 0.850 *** | 1 |
| Model 1 | Model 2 | |||
|---|---|---|---|---|
| β | t | β | t | |
| CPV-Father | ||||
| Gender | 0.053 * | 2.444 | 0.085 *** | 3.953 |
| V-EV | 0.146 *** | 5.986 | 0.134 *** | 5.608 |
| D-EV | 0.267 *** | 10.922 | 0.237 *** | 9.816 |
| MD | 0.201 *** | 9.285 | ||
| R2 | 0.135 | 0.173 | ||
| F | 96.775 *** | 97.452 *** | ||
| CPV-Mother | ||||
| Gender | 0.068 ** | 3.179 | 0.100 *** | 4.716 |
| V-EV | 0.147 *** | 6.066 | 0.134 *** | 5.687 |
| D-EV | 0.293 *** | 12.140 | 0.263 *** | 11.040 |
| MD | 0.201 *** | 9.406 | ||
| R2 | 0.156 | 0.194 | ||
| F | 114.652 *** | 112.145 *** | ||
Disclaimer/Publisher’s Note: The statements, opinions and data contained in all publications are solely those of the individual author(s) and contributor(s) and not of MDPI and/or the editor(s). MDPI and/or the editor(s) disclaim responsibility for any injury to people or property resulting from any ideas, methods, instructions or products referred to in the content. |
© 2023 by the authors. Licensee MDPI, Basel, Switzerland. This article is an open access article distributed under the terms and conditions of the Creative Commons Attribution (CC BY) license (https://creativecommons.org/licenses/by/4.0/).
Share and Cite
Bautista-Aranda, N.; Contreras, L.; Cano-Lozano, M.C. Exposure to Violence during Childhood and Child-to-Parent Violence: The Mediating Role of Moral Disengagement. Healthcare 2023, 11, 1402. https://doi.org/10.3390/healthcare11101402
Bautista-Aranda N, Contreras L, Cano-Lozano MC. Exposure to Violence during Childhood and Child-to-Parent Violence: The Mediating Role of Moral Disengagement. Healthcare. 2023; 11(10):1402. https://doi.org/10.3390/healthcare11101402
Chicago/Turabian StyleBautista-Aranda, Nazaret, Lourdes Contreras, and M. Carmen Cano-Lozano. 2023. "Exposure to Violence during Childhood and Child-to-Parent Violence: The Mediating Role of Moral Disengagement" Healthcare 11, no. 10: 1402. https://doi.org/10.3390/healthcare11101402
APA StyleBautista-Aranda, N., Contreras, L., & Cano-Lozano, M. C. (2023). Exposure to Violence during Childhood and Child-to-Parent Violence: The Mediating Role of Moral Disengagement. Healthcare, 11(10), 1402. https://doi.org/10.3390/healthcare11101402

