Increased Wellbeing following Engagement in a Group Nature-Based Programme: The Green Gym Programme Delivered by the Conservation Volunteers
Abstract
:1. Introduction
2. Materials and Methods
2.1. Participants
2.2. The Nature-Based Programme
2.3. Procedure
2.4. Measures
2.5. Treatment of Data and Statistical Analysis
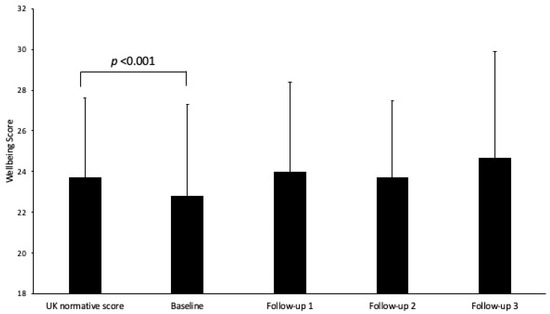
3. Results
4. Discussion
5. Conclusions
Author Contributions
Funding
Institutional Review Board Statement
Informed Consent Statement
Data Availability Statement
Acknowledgments
Conflicts of Interest
References
- van den Berg, M.; Wendel-Vos, W.; van Poppel, M.; Kemper, H.; van Mechelen, W.; Maas, J. Health Benefits of Green Spaces in the Living Environment: A Systematic Review of Epidemiological Studies. Urban For. Urban Green. 2015, 14, 806–816. [Google Scholar] [CrossRef]
- Mitchell, R.; Popham, F. Effect of Exposure to Natural Environment on Health Inequalities: An Observational Population Study. Lancet 2008, 372, 1655–1660. [Google Scholar] [CrossRef] [Green Version]
- Jimenez, M.P.; DeVille, N.V.; Elliott, E.G.; Schiff, J.E.; Wilt, G.E.; Hart, J.E.; James, P. Associations between Nature Exposure and Health: A Review of the Evidence. Int. J. Environ. Res. Public Health 2021, 18, 4790. [Google Scholar] [CrossRef]
- Helbich, M.; Klein, N.; Roberts, H.; Hagedoorn, P.; Groenewegen, P.P. More Green Space Is Related to Less Antidepressant Prescription Rates in the Netherlands: A Bayesian Geoadditive Quantile Regression Approach. Environ. Res. 2018, 166, 290–297. [Google Scholar] [CrossRef] [PubMed] [Green Version]
- Shuda, Q.; Bougoulias, M.E.; Kass, R. Effect of Nature Exposure on Perceived and Physiologic Stress: A Systematic Review. Complement. Ther. Med. 2020, 53, 102514. [Google Scholar] [CrossRef]
- Bowler, D.E.; Buyung-Ali, L.M.; Knight, T.M.; Pullin, A.S. A Systematic Review of Evidence for the Added Benefits to Health of Exposure to Natural Environments. BMC Public Health 2010, 10, 456. [Google Scholar] [CrossRef] [PubMed] [Green Version]
- White, M.P.; Alcock, I.; Grellier, J.; Wheeler, B.W.; Hartig, T.; Warber, S.L.; Bone, A.; Depledge, M.H.; Fleming, L.E. Spending at Least 120 Minutes a Week in Nature Is Associated with Good Health and Wellbeing. Sci. Rep. 2019, 9, 7730. [Google Scholar] [CrossRef] [Green Version]
- White, M.P.; Pahl, S.; Wheeler, B.W.; Depledge, M.H.; Fleming, L.E. Natural Environments and Subjective Wellbeing: Different Types of Exposure Are Associated with Different Aspects of Wellbeing. Health Place 2017, 45, 77–84. [Google Scholar] [CrossRef]
- Cassarino, M.; Setti, A. Environment as ‘Brain Training’: A Review of Geographical and Physical Environmental Influences on Cognitive Ageing. Ageing Res. Rev. 2015, 23, 167–182. [Google Scholar] [CrossRef]
- Twohig-Bennett, C.; Jones, A. The Health Benefits of the Great Outdoors: A Systematic Review and Meta-Analysis of Greenspace Exposure and Health Outcomes. Environ. Res. 2018, 166, 628–637. [Google Scholar] [CrossRef]
- Roe, J.J.; Thompson, W.C.; Aspinall, A.P.; Brewer, J.M.; Duff, I.E.; Miller, D.; Mitchell, R.; Clow, A. Green Space and Stress: Evidence from Cortisol Measures in Deprived Urban Communities. Int. J. Environ. Res. Public Health 2013, 10, 4086–4103. [Google Scholar] [CrossRef] [PubMed] [Green Version]
- Houlden, V.; Weich, S.; de Albuquerque, J.; Jarvis, S.; Rees, K. The Relationship between Greenspace and the Mental Wellbeing of Adults: A Systematic Review. PLoS ONE 2018, 13, e0203000. [Google Scholar] [CrossRef] [PubMed] [Green Version]
- Barton, J.; Pretty, J. What Is the Best Dose of Nature and Green Exercise for Improving Mental Health? A Multi-Study Analysis. Environ. Sci. Technol. 2010, 44, 3947–3955. [Google Scholar] [CrossRef]
- Thompson Coon, J.; Boddy, K.; Stein, K.; Whear, R.; Barton, J.; Depledge, M.H. Does Participating in Physical Activity in Outdoor Natural Environments Have a Greater Effect on Physical and Mental Wellbeing than Physical Activity Indoors? A Systematic Review. Environ. Sci. Technol. 2011, 45, 1761–1772. [Google Scholar] [CrossRef] [PubMed]
- Rogerson, M.; Brown, D.K.; Sandercock, G.; Wooller, J.-J.; Barton, J. A Comparison of Four Typical Green Exercise Environments and Prediction of Psychological Health Outcomes. Perspect. Public Health 2016, 136, 171–180. [Google Scholar] [CrossRef] [PubMed]
- Pretty, P.J.; Peacock, J.; Sellens, M.; Griffin, M. The Mental and Physical Health Outcomes of Green Exercise. Int. J. Environ. Health Res. 2005, 15, 319–337. [Google Scholar] [CrossRef] [PubMed]
- Howarth, M.; Brettle, A.; Hardman, M.; Maden, M. What Is the Evidence for the Impact of Gardens and Gardening on Health and Well-Being: A Scoping Review and Evidence-Based Logic Model to Guide Healthcare Strategy Decision Making on the Use of Gardening Approaches as a Social Prescription. BMJ Open 2020, 10, e036923. [Google Scholar] [CrossRef]
- Soga, M.; Gaston, K.J.; Yamaura, Y. Gardening Is Beneficial for Health: A Meta-Analysis. Prev. Med. Rep. 2017, 5, 92–99. [Google Scholar] [CrossRef]
- Wood, C.J.; Pretty, J.; Griffin, M. A Case–Control Study of the Health and Well-Being Benefits of Allotment Gardening. J. Public Health 2016, 38, e336–e344. [Google Scholar] [CrossRef]
- Coventry, P.A.; Brown, J.E.; Pervin, J.; Brabyn, S.; Pateman, R.; Breedvelt, J.; Gilbody, S.; Stancliffe, R.; McEachan, R.; White, P.L. Nature-Based Outdoor Activities for Mental and Physical Health: Systematic Review and Meta-Analysis. SSM-Popul. Health 2021, 16, 100934. [Google Scholar] [CrossRef]
- Rogerson, M.; Barton, J.; Pretty, J.; Gladwell, V. The Green Exercise Concept: Two Intertwining Pathways to Health and Well-Being. In Physical Activity in Natural Settings: Green Exercise and Blue Mind; MacIntyre, T.E., Donnelly, A.A., Eds.; Routledge: Abingdon upon Thames, UK, 2019; pp. 1–384. [Google Scholar] [CrossRef]
- Gana, K.; Broc, G.; Saada, Y.; Amieva, H.; Quintard, B. Subjective Wellbeing and Longevity: Findings from a 22-Year Cohort Study. J. Psychosom. Res. 2016, 85, 28–34. [Google Scholar] [CrossRef] [PubMed]
- Boehm, J.K.; Kubzansky, L.D. The Heart’s Content: The Association between Positive Psychological Well-Being and Cardiovascular Health. Psychol. Bull. 2012, 138, 655–691. [Google Scholar] [CrossRef] [PubMed] [Green Version]
- Chida, Y.; Steptoe, A. Positive Psychological Well-Being and Mortality: A Quantitative Review of Prospective Observational Studies. Psychosom. Med. 2008, 70, 741–756. [Google Scholar] [CrossRef]
- Hernandez, R.; Bassett, S.M.; Boughton, S.W.; Schuette, S.A.; Shiu, E.W.; Moskowitz, J.T. Psychological Well-Being and Physical Health: Associations, Mechanisms, and Future Directions. Emot. Rev. 2018, 10, 18–29. [Google Scholar] [CrossRef]
- Rogerson, M.; Wood, C.; Pretty, J.; Schoenmakers, P.; Bloomfield, D.; Barton, J. Regular Doses of Nature: The Efficacy of Green Exercise Interventions for Mental Wellbeing. Int. J. Environ. Res. Public Health 2020, 17, 1526. [Google Scholar] [CrossRef] [Green Version]
- Flowers, E.P.; Freeman, P.; Gladwell, V.F. A Cross-Sectional Study Examining Predictors of Visit Frequency to Local Green Space and the Impact This Has on Physical Activity Levels. BMC Public Health 2016, 16, 420. [Google Scholar] [CrossRef] [Green Version]
- Kim, J.; Kaplan, R. Physical and Psychological Factors in Sense of Community: New Urbanist Kentlands and Nearby Orchard Village. Environ. Behav. 2004, 36, 313–340. [Google Scholar] [CrossRef]
- Cartwright, B.D.S.; White, M.P.; Clitherow, T.J. Nearby Nature ‘Buffers’ the Effect of Low Social Connectedness on Adult Subjective Wellbeing over the Last 7 Days. Int. J. Environ. Res. Public Health 2018, 15, 1238. [Google Scholar] [CrossRef] [Green Version]
- Rogerson, M.; Gladwell, V.F.; Gallagher, D.J.; Barton, J.L. Influences of Green Outdoors versus Indoors Environmental Settings on Psychological and Social Outcomes of Controlled Exercise. Int. J. Environ. Res. Public Health 2016, 13, 363. [Google Scholar] [CrossRef] [Green Version]
- Rigolon, A.; Browning, M.H.E.M.; McAnirlin, O.; Yoon, H.V. Green Space and Health Equity: A Systematic Review on the Potential of Green Space to Reduce Health Disparities. Int. J. Environ. Res. Public Health 2021, 18, 2563. [Google Scholar] [CrossRef]
- Fields in Trust. CHAMPION: The Ten-Minute Walk and Why It’s Important. Available online: https://www.fieldsintrust.org/News/the-ten-minute-walk-and-why-its-important (accessed on 15 October 2020).
- Boyd, F.; White, M.P.; Bell, S.L.; Burt, J. Who Doesn’t Visit Natural Environments for Recreation and Why: A Population Representative Analysis of Spatial, Individual and Temporal Factors among Adults in England. Landsc. Urban Plan. 2018, 175, 102–113. [Google Scholar] [CrossRef]
- Natural England. Monitor of Engagement with the Natural Environment—The National Survey on People and the Natural Environment; Natural England: York, UK, 2019. [Google Scholar]
- Moore, M.; Townsend, M.; Oldroyd, J. Linking Human and Ecosystem Health: The Benefits of Community Involvement in Conservation Groups. Ecohealth 2006, 3, 255–261. [Google Scholar] [CrossRef]
- O’Brien, L.; Townsend, M.; Ebden, M. ‘Doing Something Positive’: Volunteers’ Experiences of the Well-Being Benefits Derived from Practical Conservation Activities in Nature. Volunt. Int. J. Volunt. Nonprofit Organ. 2010, 21, 525–545. [Google Scholar] [CrossRef]
- O’Brien, L.; Burls, A.; Townsend, M.; Ebden, M. Volunteering in Nature as a Way of Enabling People to Reintegrate into Society. Perspect. Public Health 2011, 131, 71–81. [Google Scholar] [CrossRef]
- Molsher, R.; Townsend, M. Improving Wellbeing and Environmental Stewardship Through Volunteering in Nature. Ecohealth 2016, 13, 151–155. [Google Scholar] [CrossRef]
- Mumaw, L.M.; Maller, C.; Bekessy, S. Strengthening Wellbeing in Urban Communities through Wildlife Gardening. Cities Environ. 2017, 10, 6. [Google Scholar]
- Gagliardi, C.; Pillemer, K.; Gambella, E.; Piccinini, F.; Fabbietti, P. Benefits for Older People Engaged in Environmental Volunteering and Socializing Activities in City Parks: Preliminary Results of a Program in Italy. Int. J. Environ. Res. Public Health 2020, 17, 3772. [Google Scholar] [CrossRef]
- Husk, K.; Lovell, R.; Cooper, C.; Stahl-Timmins, W.; Garside, R. Participation in Environmental Enhancement and Conservation Activities for Health and Well-being in Adults: A Review of Quantitative and Qualitative Evidence. Cochrane Database Syst. Rev. 2016, 5, CD010351. [Google Scholar] [CrossRef] [Green Version]
- Robinson, J.M.; Breed, M.F. Green Prescriptions and Their Co-Benefits: Integrative Strategies for Public and Environmental Health. Challenges 2019, 10, 9. [Google Scholar] [CrossRef] [Green Version]
- Bertotti, M.; Frostick, C.; Hutt, P.; Sohanpal, R.; Carnes, D. A Realist Evaluation of Social Prescribing: An Exploration into the Context and Mechanisms Underpinning a Pathway Linking Primary Care with the Voluntary Sector. Prim. Health Care Res. Dev. 2018, 19, 232–245. [Google Scholar] [CrossRef] [Green Version]
- NEF Consulting. TCV’s Impact: Organisational Social Return on Investment Summary Findings. Available online: https://www.nefconsulting.com/wp-content/uploads/2019/06/TCV-Report-FINAL-WITH-DESIGN.pdf (accessed on 1 January 2020).
- The Wildlife Trusts. Social Return on Investment Analysis of the Health and Wellbeing Impacts of Wildlife Trust Programmes. Available online: https://www.wildlifetrusts.org/sites/default/files/2019-09/SROI%20Report%20FINAL%20-%20DIGITAL.pdf (accessed on 1 January 2020).
- NEF Consulting. Green Gym Evaluation Report. Available online: https://www.nefconsulting.com/our-work/leisure-culture-tourism/green-gym-evaluation-report-2016/ (accessed on 1 January 2020).
- The Conservations Report. Enabling the Potential of Social Prescribing. Available online: https://www.tcv.org.uk/wp-content/uploads/2020/09/tcv-social-prescribing-potential.pdf (accessed on 1 January 2020).
- Aughterson, H.; Baxter, L.; Fancourt, D. Social Prescribing for Individuals with Mental Health Problems: A Qualitative Study of Barriers and Enablers Experienced by General Practitioners. BMC Fam. Pract. 2020, 21, 194. [Google Scholar] [CrossRef] [PubMed]
- Chatterjee, H.J.; Camic, P.M.; Lockyer, B.; Thomson, L.J.M. Non-Clinical Community Interventions: A Systematised Review of Social Prescribing Schemes. Arts Health 2018, 10, 97–123. [Google Scholar] [CrossRef] [Green Version]
- Bickerdike, L.; Booth, A.; Wilson, P.M.; Farley, K.; Wright, K. Social Prescribing: Less Rhetoric and More Reality. A Systematic Review of the Evidence. BMJ Open 2017, 7, e013384. [Google Scholar] [CrossRef] [PubMed]
- Husk, K.; Elston, J.; Gradinger, F.; Callaghan, L.; Asthana, S. Social Prescribing: Where Is the Evidence? Br. J. Gen. Pract. 2019, 69, 6–7. [Google Scholar] [CrossRef] [PubMed] [Green Version]
- McHale, S.; Pearsons, A.; Neubeck, L.; Hanson, C.L. Green Health Partnerships in Scotland; Pathways for Social Prescribing and Physical Activity Referral. Int. J. Environ. Res. Public Health 2020, 17, 6832. [Google Scholar] [CrossRef]
- Lister, C. Rediscovering Human-Nature Connections through Social Prescribing. J. Holist. Healthc. 2018, 15, 38–40. [Google Scholar]
- UK Government. English Indices of Deprivation 2010; UK Government: London, UK, 2011; ISBN 9781409829249. [Google Scholar]
- Stewart-Brown, S.; Tennant, A.; Tennant, R.; Platt, S.; Parkinson, J.; Weich, S. Internal Construct Validity of the Warwick-Edinburgh Mental Well-Being Scale (WEMWBS): A Rasch Analysis Using Data from the Scottish Health Education Population Survey. Health Qual. Life Outcomes 2009, 7, 15. [Google Scholar] [CrossRef] [Green Version]
- Tennant, R.; Hiller, L.; Fishwick, R.; Platt, S.; Joseph, S.; Weich, S.; Parkinson, J.; Secker, J.; Stewart-Brown, S. The Warwick-Edinburgh Mental Well-Being Scale (WEMWBS): Development and UK Validation. Health Qual. Life Outcomes 2007, 5, 63. [Google Scholar] [CrossRef] [Green Version]
- Ng Fat, L.; Scholes, S.; Boniface, S.; Mindell, J.; Stewart-Brown, S. Evaluating and Establishing National Norms for Mental Wellbeing Using the Short Warwick–Edinburgh Mental Well-Being Scale (SWEMWBS): Findings from the Health Survey for England. Qual. Life Res. 2017, 26, 1129–1144. [Google Scholar] [CrossRef] [Green Version]
- Ho, R.T.H.; Fong, T.C.T.; Chan, W.C.; Kwan, J.S.K.; Chiu, P.K.C.; Yau, J.C.Y.; Lam, L.C.W. Psychophysiological Effects of Dance Movement Therapy and Physical Exercise on Older Adults with Mild Dementia: A Randomized Controlled Trial. J. Gerontol. B. Psychol. Sci. Soc. Sci. 2018, 75, 560–570. [Google Scholar] [CrossRef]
- Patrick, R.; Henderson-Wilson, C.; Ebden, M. Exploring the Co-Benefits of Environmental Volunteering for Human and Planetary Health Promotion. Health Promot. J. Aust. 2022, 33, 57–67. [Google Scholar] [CrossRef] [PubMed]
- Dayson, C.; Bashir, N. The Social and Economic Impact of the Rotherham Social Prescribing Pilot: Main Evaluation Report; Sheffield Hallam University: Sheffield, UK, 2014; Available online: https://www.shu.ac.uk/centre-regional-economic-social-research/publications/the-social-and-economic-impact-of-the-rotherham-social-prescribing-pilot-summary-evaluation-report (accessed on 1 January 2020).
- Leavell, M.A.; Leiferman, J.A.; Gascon, M.; Braddick, F.; Gonzalez, J.C.; Litt, J.S. Nature-Based Social Prescribing in Urban Settings to Improve Social Connectedness and Mental Well-Being: A Review. Curr. Environ. Health Rep. 2019, 6, 297–308. [Google Scholar] [CrossRef] [PubMed]
- McMahan, E.A.; Estes, D. The Effect of Contact with Natural Environments on Positive and Negative Affect: A Meta-Analysis. J. Posit. Psychol. 2015, 10, 507–519. [Google Scholar] [CrossRef]
- Mygind, L.; Kjeldsted, E.; Hartmeyer, R.; Mygind, E.; Bølling, M.; Bentsen, P. Mental, Physical and Social Health Benefits of Immersive Nature-Experience for Children and Adolescents: A Systematic Review and Quality Assessment of the Evidence. Health Place 2019, 58, 102136. [Google Scholar] [CrossRef]


Publisher’s Note: MDPI stays neutral with regard to jurisdictional claims in published maps and institutional affiliations. |
© 2022 by the authors. Licensee MDPI, Basel, Switzerland. This article is an open access article distributed under the terms and conditions of the Creative Commons Attribution (CC BY) license (https://creativecommons.org/licenses/by/4.0/).
Share and Cite
Smyth, N.; Thorn, L.; Wood, C.; Hall, D.; Lister, C. Increased Wellbeing following Engagement in a Group Nature-Based Programme: The Green Gym Programme Delivered by the Conservation Volunteers. Healthcare 2022, 10, 978. https://doi.org/10.3390/healthcare10060978
Smyth N, Thorn L, Wood C, Hall D, Lister C. Increased Wellbeing following Engagement in a Group Nature-Based Programme: The Green Gym Programme Delivered by the Conservation Volunteers. Healthcare. 2022; 10(6):978. https://doi.org/10.3390/healthcare10060978
Chicago/Turabian StyleSmyth, Nina, Lisa Thorn, Carly Wood, Dominic Hall, and Craig Lister. 2022. "Increased Wellbeing following Engagement in a Group Nature-Based Programme: The Green Gym Programme Delivered by the Conservation Volunteers" Healthcare 10, no. 6: 978. https://doi.org/10.3390/healthcare10060978
APA StyleSmyth, N., Thorn, L., Wood, C., Hall, D., & Lister, C. (2022). Increased Wellbeing following Engagement in a Group Nature-Based Programme: The Green Gym Programme Delivered by the Conservation Volunteers. Healthcare, 10(6), 978. https://doi.org/10.3390/healthcare10060978

