A Novel Hybrid Machine Learning Based System to Classify Shoulder Implant Manufacturers
Abstract
:1. Introduction
2. Materials and Methods
2.1. Experimental Setup
2.2. Dataset
2.3. Proposed Method
2.4. Feature Extraction
2.5. Classification
- For the LSVM algorithm, LinearSVC with ‘crammer_singer’ [42] optimization regularized in L2 norm was used, and regularization parameter c was taken as 1.0.
- For the LDA algorithm, LinearDiscriminantAnalysis with the SVD (Singular Value Decomposition) optimization algorithm [45], which is used for data with many features, was used.
- For the RF algorithm, RandomForestClassifier with 100 trees in the forest was used. The maximum depth number 500 as the stopping condition and Gini index [46] as the splitting quality criterion was taken.
- For the KNN algorithm, the KNeighborsClassifier with a K value of 38 using Manhattan distance was used.
- GaussianNB and BernoulliNB algorithms were used for the Gaussian (GNB) and Bernoulli (BNB) versions of the Naive Bayes algorithm.
- For the DT algorithm, the DecisionTreeClassifier with a maximum depth of 350 and the quality of division measured by the Gini criterion was used.
- For the AB algorithm, the AdaBoostClassifier, which uses 600 DT weak classifiers, was used.
3. Results and Discussion
3.1. Performance Metrics
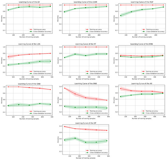
3.2. Test Results and Discussion
4. Conclusions and Future Directions
Author Contributions
Funding
Institutional Review Board Statement
Informed Consent Statement
Data Availability Statement
Conflicts of Interest
References
- Abdou, M.A. Literature review: Efficient deep neural networks techniques for medical image analysis. Neural Comput. Appl. 2022, 34, 5791–5812. [Google Scholar] [CrossRef]
- Karim, A.M.; Güzel, M.S.; Tolun, M.R.; Kaya, H.; Çelebi, F.V. A new generalized deep learning framework combining sparse autoencoder and taguchi method for novel data classification and processing. Math. Probl. Eng. 2018, 2018, 3145947. [Google Scholar] [CrossRef]
- Jeong, J.J.; Tariq, A.; Adejumo, T.; Trivedi, H.; Gichoya, J.W.; Banerjee, I. Systematic review of generative adversarial networks (gans) for medical image classification and segmentation. J. Digit. Imaging 2022, 35, 137–152. [Google Scholar] [CrossRef] [PubMed]
- Karim, A.M.; Güzel, M.S.; Tolun, M.R.; Kaya, H.; Çelebi, F.V. A new framework using deep auto-encoder and energy spectral density for medical waveform data classification and processing. Biocybern. Biomed. Eng. 2019, 39, 148–159. [Google Scholar] [CrossRef]
- Díaz-Pernas, F.J.; Martínez-Zarzuela, M.; González-Ortega, D.; Antón-Rodríguez, M. A deep learning approach for brain tumor classification and segmentation using a multiscale convolutional neural network. Healthcare 2021, 9, 153. [Google Scholar] [CrossRef] [PubMed]
- Zhang, W.; Wu, Y.; Yang, B.; Hu, S.; Wu, L.; Dhelimd, S. Overview of multi-modal brain tumor mr image segmentation. Healthcare 2021, 9, 1051. [Google Scholar] [CrossRef] [PubMed]
- Beyaz, S.; Açici, K.; Sümer, E. Femoral neck fracture detection in X-ray images using deep learning and genetic algorithm approaches. Jt. Dis. Relat. Surg. 2020, 31, 175–183. [Google Scholar] [CrossRef]
- Üreten, K.; Arslan, T.; Gültekin, K.E.; Demir, A.N.D.; Özer, H.F.; Bilgili, Y. Detection of hip osteoarthritis by using plain pelvic radiographs with deep learning methods. Skelet. Radiol. 2020, 49, 1369–1374. [Google Scholar] [CrossRef] [PubMed]
- Karnuta, J.M.; Luu, B.C.; Roth, A.L.; Haeberle, H.S.; Chen, A.F.; Iorio, R.; Schaffer, J.L.; Mont, M.A.; Patterson, B.M.; Krebs, V.E.; et al. Artificial intelligence to identify arthroplasty implants from radiographs of the knee. J. Arthroplast. 2021, 36, 935–940. [Google Scholar] [CrossRef]
- Kang, Y.J.; Yoo, J.I.; Cha, Y.H.; Park, C.H.; Kim, J.T. Machine learning–based identification of hip arthroplasty designs. J. Orthop. Transl. 2020, 21, 13–17. [Google Scholar] [CrossRef]
- Han, Y.; Wang, G. Skeletal bone age prediction based on a deep residual network with spatial transformer. Comput. Methods Programs Biomed. 2020, 197, 105754. [Google Scholar] [CrossRef] [PubMed]
- Lee, J.; Chung, S.W. Deep learning for orthopedic disease based on medical image analysis: Present and future. Appl. Sci. 2022, 12, 681. [Google Scholar] [CrossRef]
- Urban, G.; Porhemmat, S.; Stark, M.; Feeley, B.; Okada, K.; Baldi, P. Classifying shoulder implants in X-ray images using deep learning. Comput. Struct. Biotechnol. J. 2020, 18, 967–972. [Google Scholar] [CrossRef] [PubMed]
- Yi, P.H.; Kim, T.K.; Wei, J.; Li, X.; Hager, G.D.; Sair, H.I.; Fritz, J. Automated detection and classification of shoulder arthroplasty models using deep learning. Skelet. Radiol. 2020, 49, 1623–1632. [Google Scholar] [CrossRef] [PubMed]
- Vo, M.T.; Vo, A.H.; Le, T. A robust framework for shoulder implant X-ray image classification. Data Technol. Appl. 2021. [Google Scholar] [CrossRef]
- Sultan, H.; Owais, M.; Park, C.; Mahmood, T.; Haider, A.; Park, K.R. Artificial intelligence-based recognition of different types of shoulder implants in X-ray scans based on dense residual ensemble-network for personalized medicine. J. Pers. Med. 2021, 11, 482. [Google Scholar] [CrossRef]
- Yılmaz, A. Shoulder implant manufacturer detection by using deep learning: Proposed channel selection layer. Coatings 2021, 11, 346. [Google Scholar] [CrossRef]
- Zhou, M.; Mo, S. Shoulder implant X-ray manufacturer classification: exploring with vision transformer. arXiv 2021, arXiv:2104.07667. [Google Scholar]
- Efeoğlu, E.; Tuna, G. Radyografi Görüntüleri ve Sınıflandırma Algoritmaları Kullanılarak Omuz Protezlerinin Üreticilerinin Belirlenmesi. Kırklareli Üniversitesi Mühendislik Fen Bilim. Derg. 2021, 7, 57–73. [Google Scholar] [CrossRef]
- Karaci, A. Detection and classification of shoulder implants from X-ray images: YOLO and pretrained convolution neural network based approach. J. Fac. Eng. Archit. Gazi Univ. 2022, 37, 283–294. [Google Scholar] [CrossRef]
- Tang, Y. Deep Learning using linear support vector machines. arXiv 2013, arXiv:1306.0239. [Google Scholar]
- Cengil, E.; Çınar, A.; Yıldırım, M. Hybrid convolutional neural network architectures for skin cancer classification. Eur. J. Sci. Technol. 2021, 28, 694–701. [Google Scholar] [CrossRef]
- Jadoon, M.M.; Zhang, Q.; Haq, I.U.; Butt, S.; Jadoon, A. Three-class mammogram classification based on descriptive CNN features. BioMed Res. Int. 2017, 2017, 3640901. [Google Scholar] [CrossRef] [PubMed] [Green Version]
- Herzog, N.J.; Magoulas, G.D. Deep learning of brain asymmetry images and transfer learning for early diagnosis of dementia. In Proceedings of the International Neural Networks Society; Springer: Cham, Switzerland, 2021; pp. 57–70. [Google Scholar]
- Shalaby, W.A.; Dessouky, M.I.; Saad, W.; Shokair, M.; Abd El-Samie, F.E. COVID-19 diagnosis using X-ray images based on convolutional neural networks. In Proceedings of the 2021 International Conference on Electronic Engineering (ICEEM), Menouf, Egypt, 3–4 July 2021; pp. 3–4. [Google Scholar] [CrossRef]
- Almezhghwi, K.; Serte, S.; Al-Turjman, F. Convolutional neural networks for the classification of chest X-rays in the IoT era. Multimed. Tools Appl. 2021, 80, 29051–29065. [Google Scholar] [CrossRef] [PubMed]
- Chollet, F. Deep Learning with Python; Manning: Shelter Island, NY, USA, 2017; ISBN 9781617294433. [Google Scholar]
- Pedregosa, F.; Varoquaux, G.; Gramfort, A.; Weiss, R.; Brucher, M.; Michel, V.; Thirion, B.; Grisel, O.; Blondel, M.; Prettenhofer, P.; et al. Scikit-learn: Machine learning in Python. J. Mach. Learn. Res. 2011, 12, 2825–2830. [Google Scholar]
- Monasse, P. Extraction of the level lines of a bilinear image. Image Process. Line 2019, 9, 205–219. [Google Scholar] [CrossRef] [Green Version]
- Huang, G.; Liu, Z.; Van Der Maaten, L.; Weinberger, K.Q. Densely connected convolutional networks. In Proceedings of the 2017 IEEE Conference on Computer Vision and Pattern Recognition (CVPR), Honolulu, HI, USA, 21–26 July 2017; pp. 2261–2269. [Google Scholar]
- Rawat, S.S.; Bisht, A.; Nijhawan, R. A Deep Learning based CNN framework approach for plankton classification. In Proceedings of the 2019 Fifth International Conference on Image Information Processing (ICIIP), Shimla, India, 15–17 November 2019; pp. 268–273. [Google Scholar]
- Jain, A.K.; Mao, J.; Mohiuddin, K.M. Artificial neural networks: A tutorial. Computer 1996, 29, 31–44. [Google Scholar] [CrossRef] [Green Version]
- Izenman, A.J. Linear discriminant analysis. In Modern Multivariate Statistical Techniques; Springer: New York, NY, USA, 2013; pp. 237–280. [Google Scholar] [CrossRef]
- Breiman, L. Random forests. Mach. Learn. 2001, 45, 5–32. [Google Scholar] [CrossRef] [Green Version]
- Kim, J.; Kim, B.-S.; Savarese, S. Comparing image classification methods: k-nearest-neighbor and support-vector-machines. In Proceedings of the Applied Mathematics in Electrical and Computer Engineering, Cambridge, MA, USA, 25–27 January 2012; pp. 133–138. [Google Scholar]
- Bustamante, C.; Garrido, L.; Soto, R. Comparing fuzzy Naive Bayes and Gaussian Naive Bayes for decision making in RoboCup 3D. In Proceedings of the Lecture Notes in Computer Science (Including Subseries Lecture Notes in Artificial Intelligence and Lecture Notes in Bioinformatics); Springer: Berlin/Heidelberg, Germany, 2006; Volume 4293 LNAI, pp. 237–247. [Google Scholar]
- Singh, G.; Kumar, B.; Gaur, L.; Tyagi, A. Comparison between multinomial and bernoulli naïve bayes for text classification. In Proceedings of the 2019 International Conference on Automation, Computational and Technology Management, ICACTM 2019, London, UK, 24–26 April 2019; pp. 593–596. [Google Scholar]
- Song, X.; Rui, T.; Zha, Z.; Wang, X.; Fang, H. The AdaBoost algorithm for vehicle detection based on CNN features. In Proceedings of the 7th International Conference on Internet Multimedia Computing and Service—ICIMCS’15, Zhangjiajie City, China, 19–21 August 2015; ACM Press: New York, NY, USA, 2015; pp. 1–5. [Google Scholar]
- Zhang, Q.; Yang, Y.; Ma, H.; Wu, Y.N. Interpreting CNNs via decision trees. In Proceedings of the 2019 IEEE/CVF Conference on Computer Vision and Pattern Recognition (CVPR), Long Beach, CA, USA, 15–20 June 2019; pp. 6254–6263. [Google Scholar]
- Luo, X.; Chang, X.; Ban, X. Regression and classification using extreme learning machine based on L1-norm and L2-norm. Neurocomputing 2016, 174, 179–186. [Google Scholar] [CrossRef]
- Hanke, M. Regularizing properties of a truncated Newton-CG algorithm for nonlinear inverse problems. Numer. Funct. Anal. Optim. 1997, 18, 971–993. [Google Scholar] [CrossRef] [Green Version]
- Crammer, K.; Singer, Y. On the algorithmic implementation of multiclass kernel-based vector machines. J. Mach. Learn. Res. 2001, 2, 265–292. [Google Scholar]
- Kingma, D.P.; Ba, J. Adam: A Method for stochastic optimization. In Proceedings of the 3rd International Conference on Learning Representations, ICLR 2015—Conference Track Proceedings, San Diego, CA, USA, 7–9 May 2015; pp. 1–15. [Google Scholar]
- Agarap, A.F. Deep Learning using Rectified Linear Units (ReLU). arXiv 2018, arXiv:1803.08375. [Google Scholar]
- Dongarra, J.; Gates, M.; Haidar, A.; Kurzak, J.; Luszczek, P.; Tomov, S.; Yamazaki, I. The singular value decomposition: Anatomy of optimizing an algorithm for extreme scale. SIAM Rev. 2018, 60, 808–865. [Google Scholar] [CrossRef]
- Raileanu, L.E.; Stoffel, K. Theoretical comparison between the gini index and information gain criteria. Ann. Math. Artif. Intell. 2004, 41, 77–93. [Google Scholar] [CrossRef]
- Dietterich, T.G. Approximate statistical tests for comparing supervised classification learning algorithms. Neural Comput. 1998, 10, 1895–1923. [Google Scholar] [CrossRef] [PubMed] [Green Version]






| Abbreviation | Explanation |
|---|---|
| AB | AdaBoost |
| BNB | Bernoulli Naive Bayes |
| DL | Deep Learning |
| DT | Decision Tree |
| GNB | Gaussian Naive Bayes |
| KNN | K-Nearest Neighbor |
| LDA | Linear Discriminant Analysis |
| LR | Logistic Regression |
| LSVM | Linear Support Vector Machine |
| ML | Machine Learning |
| MLP | Multilayer Perceptron |
| RF | Random Forest |
| CV | Cross-Validation |
| Training | Test | |
|---|---|---|
| Cofield | 75 | 8 |
| Depuy | 264 | 30 |
| Tornier | 64 | 7 |
| Zimmer | 134 | 15 |
| Total | 537 | 60 |
| Layers | Output Size | Operation |
|---|---|---|
| Conv | 112 × 112 | 7 × 7 conv, stride 2 |
| Pooling | 56 × 56 | 3 × 3 max-pool, stride 2 |
| DB1 | 56 × 56 | ![]() |
| TL1 | 56 × 56 | 1 × 1 conv |
| 28 × 28 | 2 × 2 avg-pool, stride 2 | |
| DB2 | 28 × 28 | ![]() |
| TL2 | 28 × 28 | 1× 1 conv |
| 14 × 14 | 2 × 2 avg-pool, stride 2 | |
| DB3 | 14 × 14 | ![]() |
| TL3 | 14 × 14 | 1 × 1 conv |
| 7 × 7 | 2 × 2 avg-pool, stride 2 | |
| DB4 | 7 × 7 | ![]() |
| Performance Metrics | Mathematical Formulas |
|---|---|
| Accuracy | |
| Precision | |
| Recall | |
| Score |
| Class | Prediction Numbers | Algorithm | Precision | Recall | Score |
|---|---|---|---|---|---|
| Cofield (0) | 7 correct 1 incorrect | DenseNet201 + LR | 1.0000 | 0.8750 | 0.9333 |
| DenseNet201 + LSVM | 0.8741 | 0.8750 | 0.8745 | ||
| DenseNet201 + AB | 0.8738 | 0.8749 | 0.8743 | ||
| DenseNet201 + MLP | 0.8746 | 0.8740 | 0.8742 | ||
| Depuy (1) | 30 correct 0 incorrect | DenseNet201 + LR | 0.9375 | 1.0000 | 0.9677 |
| DenseNet201 + KNN | 0.8125 | 0.8667 | 0.8387 | ||
| Tornier (2) | 6 correct 1 incorrect | DenseNet201 + LR | 1.0000 | 0.8571 | 0.9231 |
| DenseNet201 + LSVM | 1.0000 | 0.8568 | 0.9228 | ||
| DenseNet201 + LDA | 0.7500 | 0.8571 | 0.8000 | ||
| DenseNet201 + BNB | 0.3158 | 0.8571 | 0.4615 | ||
| Zimmer (3) | 14 correct 1 incorrect | DenseNet201 + LR | 0.9333 | 0.9333 | 0.9333 |
| DenseNet201 + LSVM | 0.9321 | 0.9333 | 0.9326 |
| Macro Average | Weighted Average | |||||||||
|---|---|---|---|---|---|---|---|---|---|---|
| Algorithm | Mean Fit Time (s) | Accuracy (%) | Precision | Recall | Score | AUC | Precision | Recall | Score | AUC |
| DenseNet201 + LR | 10.2057 | 95.07 | 0.9677 | 0.9164 | 0.9394 | 0.9471 | 0.9521 | 0.9500 | 0.9493 | 0.9556 |
| DenseNet201 + LSVM | 10.1041 | 93.31 | 0.9360 | 0.9080 | 0.9206 | 0.9405 | 0.9344 | 0.9333 | 0.9331 | 0.9459 |
| DenseNet201 | 83.4028 | 73.33 | 0.7058 | 0.6824 | 0.6860 | 0.7423 | 0.7566 | 0.7333 | 0.7390 | 0.7469 |
| DenseNet201 + MLP | 7.8994 | 89.62 | 0.9120 | 0.8557 | 0.8776 | 0.9074 | 0.9031 | 0.9000 | 0.8983 | 0.9182 |
| DenseNet201 + LDA | 3.1186 | 70 | 0.7202 | 0.6643 | 0.6779 | 0.7843 | 0.7005 | 0.7000 | 0.6888 | 0.7911 |
| DenseNet201 + RF | 2.1407 | 81.67 | 0.8696 | 0.7158 | 0.7687 | 0.8153 | 0.8386 | 0.8167 | 0.8074 | 0.8295 |
| DenseNet201 + KNN | 0.3374 | 80.11 | 0.8049 | 0.7470 | 0.7699 | 0.8326 | 0.8014 | 0.8000 | 0.7973 | 0.8365 |
| DenseNet201 + GNB | 0.5175 | 55 | 0.4904 | 0.4065 | 0.4187 | 0.5645 | 0.5323 | 0.5500 | 0.5224 | 0.5663 |
| DenseNet201 + BNB | 0.5688 | 46.67 | 0.4519 | 0.5080 | 0.4375 | 0.5251 | 0.5339 | 0.4667 | 0.4717 | 0.5386 |
| DenseNet201 + AB | 18.1274 | 85.63 | 0.8523 | 0.8223 | 0.8357 | 0.8800 | 0.8500 | 0.8500 | 0.8488 | 0.8754 |
| DenseNet201 + DT | 7.5126 | 63.33 | 0.5694 | 0.5929 | 0.5769 | 0.7310 | 0.6522 | 0.6333 | 0.6400 | 0.7383 |
| Algorithms | t Statistic | p-Value |
|---|---|---|
| DenseNet201 + LR − DenseNet201 + LSVM | 3.530 | 0.017 |
| DenseNet201 + LR − DenseNet201 + MLP | 2.896 | 0.034 |
| DenseNet201 + LR − DenseNet201 + AB | 15.403 | 0.000 |
| DenseNet201 + LSVM − DenseNet201 + MLP | 2.778 | 0.039 |
| DenseNet201 + LSVM − DenseNet201 + AB | 8.696 | 0.000 |
| DenseNet201 + MLP − DenseNet201 + AB | −3.900 | 0.011 |
| DenseNet201 + RF − Dense-Net201 + KNN | −0.204 | 0.846 |
| DenseNet201 + LDA − DenseNet201 + DT | −2.743 | 0.041 |
| DenseNet201 + GNB − DenseNet201 + BNB | 1.388 | 0.224 |
| Algorithm | Accuracy (%) |
|---|---|
| DenseNet201 + LR | 92.07 |
| DenseNet201 + LSVM | 89.36 |
| DenseNet201 + MLP | 82.57 |
| DenseNet201 + LDA | 68.57 |
| DenseNet201 + RF | 74.61 |
| DenseNet201 + KNN | 69.60 |
| DenseNet201 + GNB | 51.08 |
| DenseNet201 + BNB | 45.39 |
| DenseNet201 + AB | 74.49 |
| DenseNet201 + DT | 53.90 |
| Author, Year, Reference | Classes | Dataset | Method | Results Accuracy % |
|---|---|---|---|---|
| Urban et al., 2020, [13] | Cofield, Depuy, Tornier, Zimmer | All 4-classes dataset: 597 | 6 different DL algorithms: VGG-16, VGG-19, ResNet-50, ResNet-152, DenseNet, and NASNet and 4 different ML algorithms: Logistic Regression, Random Forests, Gradient Boost, and K-Nearest Neighbor; 10-fold cross-validation | DL algorithms: 74–80%; ML algorithms: 51–56% |
| Vo et al., 2021, [15] | Cofield, Depuy, Tornier, Zimmer | All 4-classes dataset: 597 | X-Net: Squeeze and Excitation block integrated into the ResNet module; 10-fold cross-validation | 82% |
| Sultan et al., 2021, [16] | Cofield, Depuy, Tornier, Zimmer | All 4-classes dataset: 597 | DRE-Net: Combination of modified ResNet and DenseNet; 10-fold cross-validation | 85.92% |
| Yılmaz, 2021, [17] | Cofield, Depuy, Tornier, Zimmer | All 4-classes dataset: 597 | DL network with a new layer using a channel selection formula; 5-fold cross-validation | 97.2% |
| Zhou and Mo, 2021, [18] | Cofield, Depuy, Tornier, Zimmer | All 4-classes dataset: 597 | Random Forest, K-Nearest Neighbor, VGG16, ResNet50, InceptionV3 and Vision Transformer algorithms; 10-fold cross-validation | ResNet50: 77% |
| Efeoğlu and Tuna, [19] | Cofield, Depuy, Zimmer | All 3-classes dataset: 349 | 12 different ML algorithms; 10-fold cross-validation | K-Nearest Neighbor: 74% |
| Karaci, 2022, [20] | Cofield, Depuy, Tornier, Zimmer | All 4-classes dataset: 597 | Cascade models consisting of pretrained convolutional neural network architectures and the YOLOV3 algorithm; 10-fold cross-validation | YOLOV3 + DenseNet201: 84.76% |
| This study | Cofield, Depuy, Tornier, Zimmer | All 4-classes dataset: 597 | Hybrid ML algorithms; 5-fold cross-validation | DenseNet201 + Logistic Regression: 95.07% |
Publisher’s Note: MDPI stays neutral with regard to jurisdictional claims in published maps and institutional affiliations. |
© 2022 by the authors. Licensee MDPI, Basel, Switzerland. This article is an open access article distributed under the terms and conditions of the Creative Commons Attribution (CC BY) license (https://creativecommons.org/licenses/by/4.0/).
Share and Cite
Sivari, E.; Güzel, M.S.; Bostanci, E.; Mishra, A. A Novel Hybrid Machine Learning Based System to Classify Shoulder Implant Manufacturers. Healthcare 2022, 10, 580. https://doi.org/10.3390/healthcare10030580
Sivari E, Güzel MS, Bostanci E, Mishra A. A Novel Hybrid Machine Learning Based System to Classify Shoulder Implant Manufacturers. Healthcare. 2022; 10(3):580. https://doi.org/10.3390/healthcare10030580
Chicago/Turabian StyleSivari, Esra, Mehmet Serdar Güzel, Erkan Bostanci, and Alok Mishra. 2022. "A Novel Hybrid Machine Learning Based System to Classify Shoulder Implant Manufacturers" Healthcare 10, no. 3: 580. https://doi.org/10.3390/healthcare10030580
APA StyleSivari, E., Güzel, M. S., Bostanci, E., & Mishra, A. (2022). A Novel Hybrid Machine Learning Based System to Classify Shoulder Implant Manufacturers. Healthcare, 10(3), 580. https://doi.org/10.3390/healthcare10030580





