Robust Mode Analysis
Abstract
1. Introduction
2. Dynamic Mode Decomposition and Robust Mode Analysis
2.1. Dynamic Mode Decomposition
2.2. Robust Mode Analysis
- Imaginary parts of the eigenvalues from multiple groups should be sufficiently close; specifically,where is a cutoff.
- The real parts of an eigenvalue identified from the first condition should not vary significantly among the subgroups; specifically,for a cutoff . For work reported here, we limit consideration to .
- Dynamic modes from the different groupings that satisfy Equations (3) and (4) should be close. Specifically, if and are normalized eigenfunctions associated with proximate eigenvalues, thenfor a cutoff . The minimization over the phase is implemented to account for the fact that eigenfunctions computed from different experimental realizations may differ in phase.
3. Reacting Flows behind a Single Bluff Body
3.1. The Experiment
3.2. Results from Robust Mode Analysis
4. Bluff Body Flow Assessed by Discrete Devices: Extended DMD
4.1. The Experiment
4.2. Extended DMD and Robust Mode Analysis
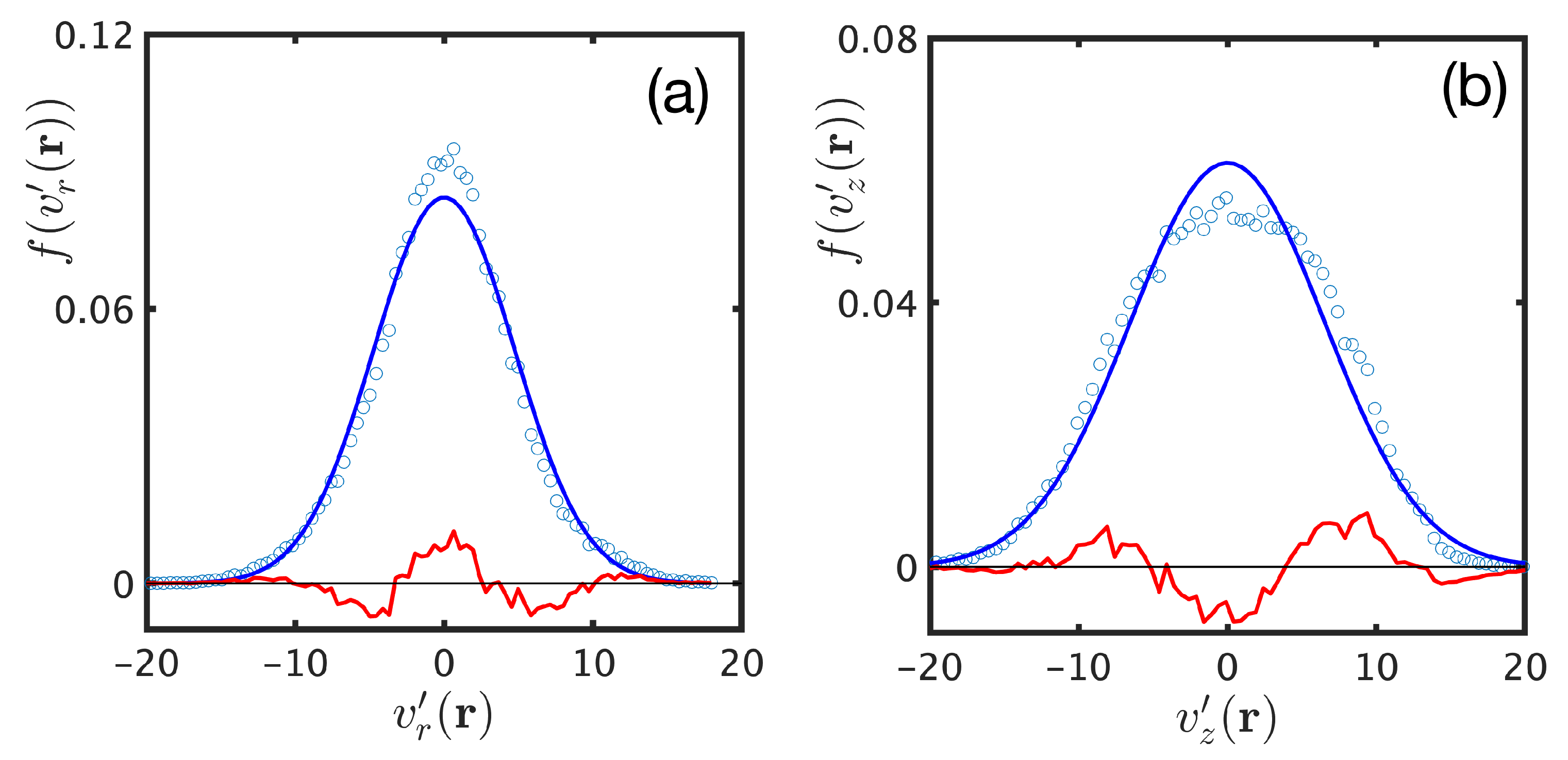
5. Non-Robust Constituents in Turbulent Jet Flow
5.1. The Experiment
5.2. Robust Mode Analysis
5.3. Velocity Fluctuations and Structure Functions
6. Discussion and Conclusions
Author Contributions
Funding
Institutional Review Board Statement
Informed Consent Statement
Data Availability Statement
Acknowledgments
Conflicts of Interest
References
- Lieuwen, T. Unsteady Combustor Physics; Cambridge University Press: Cambridge, UK, 2012. [Google Scholar]
- Joulin, G.; Sivashinsky, G. On the Dynamics of Nearly-Extinguished Non-Adiabatic Cellular Flames. Combust. Sci. Technol. 1983, 31, 75–90. [Google Scholar] [CrossRef]
- Kostka, S.; Lynch, A.C.; Huelskamp, B.C.; Kiel, B.V.; Gord, J.R.; Roy, S. Characterization of Flame-Shedding Behavior Behind a Bluff-Body Using Proper Orthogonal Decomposition. Combust. Flame 2012, 159, 2872–2882. [Google Scholar] [CrossRef]
- Viswanathan, G.; Sheintuch, M.; Luss, D. Transversal hot zones formation in catalytic packed-bed reactors. Ind. Eng. Chem. Res. 2008, 47, 2509–2523. [Google Scholar] [CrossRef]
- Chandrasekhar, S. Hydrodynamic and Hydromagnetic Stability; Dover Publications, Inc.: New York, NY, USA, 1961. [Google Scholar]
- Frisch, U. Turbulence: The Legacy of A. N. Kolmogorov; Cambridge University Press: Cambridge, UK, 1995. [Google Scholar]
- Monin, A.S.; Yaglom, A.M. Statistical Fluid Mechanics, Mechanics of Turbulence; Dover Publications, Inc.: New York, NY, USA, 1971; Volume I. [Google Scholar]
- Monin, A.S.; Yaglom, A.M. Statistical Fluid Mechanics, Mechanics of Turbulence; Dover Publications, Inc.: New York, NY, USA, 1971; Volume II. [Google Scholar]
- Cross, M.C.; Hohenberg, P.C. Pattern formation outside of equilibrium. Rev. Mod. Phys. 1993, 65, 851. [Google Scholar] [CrossRef]
- Raffel, M.; Willert, C.; Wereley, S.; Kompenhans, J. Particle Image Velocimetry: A Practical Guide; Springer: Cham, Switzerland, 2007. [Google Scholar]
- Westerweek, A. Particle Image Velocimetry; Cambridge University Press: Cambridge, UK, 2011. [Google Scholar]
- Seitzman, J.M.; Hanson, R.K. Planar Fluorescence Imaging in Gases. In Instrumentation for Flows with Combustion; Taylor, A.M.K.P., Ed.; Academic Press: London, UK, 1993. [Google Scholar]
- Steinfeld, J.I.; Francisco, J.S.; Hase, W.L. Chemical Kinetics and Dynamics; Prentice-Hall: Hoboken, NJ, USA, 1998. [Google Scholar]
- Faltinsen, O.M.; Timokha, A.N. Sloshing; Cambridge University Press: Cambridge, UK, 2009. [Google Scholar]
- Lumley, J.L. The Structure of Inhomogeneous Flow. In Atmospheric Turbulence and Radio Wave Propagation; Publishing House Nauka: Moscow, Russia, 1967; pp. 166–176. [Google Scholar]
- Berkooz, G.; Holmes, P.; Lumley, J.L. The Proper Orthogonal Decomposition in the Analysis of Turbulent Flows. Annu. Rev. Fluid Mech. 1993, 25, 539–575. [Google Scholar] [CrossRef]
- Sirovich, L. Turbulence and the Dynamics of Coherent Structures. 1. Coherent Structures. Q. Appl. Math. 1987, 45, 561–571. [Google Scholar] [CrossRef]
- Sirovich, L. Turbulence and the Dynamics of Coherent Structures. 2. Symmetries and Transformations. Q. Appl. Math. 1987, 45, 573–582. [Google Scholar] [CrossRef]
- Sirovich, L. Turbulence and the Dynamics of Coherent Structures. 3. Dynamics and Scaling. Q. Appl. Math. 1987, 45, 583–590. [Google Scholar] [CrossRef]
- Schmid, P.J. Dynamic mode decomposition of experimental data. In Proceedings of the 8th International Symposium on Particle Image Velocimetry, PIV09-0141, Melbourne, VIC, Australia, 25–28 August 2009. [Google Scholar]
- Schmid, P.J. Dynamic Mode Decomposition of Numerical and Experimental Data. J. Fluid Mech. 2010, 656, 5–28. [Google Scholar] [CrossRef]
- Rowley, C.W.; Mezic, I.; Bagheri, S.; Schlatter, P.; Henningson, D.S. Spectral Analysis of Nonlinear Flows. J. Fluid Mech. 2009, 641, 115–127. [Google Scholar] [CrossRef]
- Mezic, I. Analysis of Fluid Flows via Spectral Properties of the Koopman Operator. Annu. Rev. Fluid Mech. 2013, 45, 357–378. [Google Scholar] [CrossRef]
- Kutz, J.N.; Brunton, S.L.; Brunton, B.W.; Proctor, J.L. Dynamic Mode Decomposition: Data-Driven Modeling of Complex Systems; Society for Industrial and Applied Mathematics: Philadelphia, PA, USA, 2016. [Google Scholar]
- Budiši´c, M.; Mohr, R.M.; Mezi´c, I. Applied Koopmanism. Chaos 2012, 22, 047510. [Google Scholar] [CrossRef]
- Chen, K.K.; Tu, J.H.; Rowley, C.W. Variants of dynamic mode decomposition: Boundary condition, Koopman and Fourier analysis. J. Nonlinear Sci. 2012, 22, 887–915. [Google Scholar] [CrossRef]
- Williams, M.O.; Rowley, C.W.; Kevrikidis, I.G. A kernal-based approach to data-driven Koopman spectral analysis. arXiv 2016, arXiv:1411.2260. [Google Scholar]
- Bouwmans, T.; Sobral, A.; Javed, S.; Jung, S.K.; Zahzah, E.-H. Decomposition into low-rank plus additive matrices for background/foreground separation: A review for a comparative eveluation with a large-scale dataset. Comput. Sci. Rev. 2017, 23, 1–71. [Google Scholar] [CrossRef]
- Scherl, I.; Strom, B.; Shang, J.K.; Williams, O.; Polagye, B.L.; Brunton, S.L. Robust principal components analysis for modal decomposition of corrupt fluid flows. Phys. Rev. Fluids 2020, 5, 054401. [Google Scholar] [CrossRef]
- Choi, H.; Jeon, W.-P.; Kim, J. Control of flow over a bluff body. Annu. Rev. Fluid Mech. 2008, 40, 113–139. [Google Scholar] [CrossRef]
- Roy, S.; Hua, J.-C.; Barnhill, W.; Gunaratne, G.H.; Gord, J.R. Deconvolution of reacting-flow dynamics using proper orthogonal and dynamic mode decompositions. Phys. Rev. E 2015, 91, 013001. [Google Scholar] [CrossRef]
- Hua, J.-C.; Gunaratne, G.H.; Talley, D.G.; Gord, J.R.; Roy, S. Dynamic-mode decomposition based analysis of shear coaxial jets with and without transverse acoustic driving. J. Fluid Mech. 2016, 790, 5–32. [Google Scholar] [CrossRef]
- Roy, S.; Yi, T.; Jiang, N.; Gunaratne, G.H.; Chterev, I.; Emerson, B.; Lieuwen, T.; Caswell, A.W.; Gord, J.R. Dynamics of robust structures in turbulent swirling reacting flows. J. Fluid Mech. 2017, 816, 554–585. [Google Scholar] [CrossRef]
- Bagheri, S. Effects of weak noise on oscillating flows: Linking quality factor, Floquet modes, and Koopman spectrum. Phys. Fluids 2014, 26, 094104. [Google Scholar] [CrossRef]
- Dawson, S.T.M.; Hemati, M.S.; Williams, M.O.; Rowley, C.W. Characterizing and correcting for the effect of sensor noise in the dynamic mode decomposition. Exp. Fluids 2016, 57, 42. [Google Scholar] [CrossRef]
- Huang, L.-Z.; Nie, D.-M. Vortex Shedding Patterns in Flow Past Inline Oscillating Elliptical Cylinders. Therm. Sci. 2012, 16, 1395–1399. [Google Scholar] [CrossRef]
- Konstantinidis, E.; Balabani, S. Symmetric vortex. shedding in the near wake of a circular cylinder due to streamwise perturbations. J. Fluids Struct. 2007, 23, 1047–1063. [Google Scholar] [CrossRef]
- Caswell, A.W.; Jiang, N.; Roy, S.; Huelskamp, B.; Monfort, J.; Lynch, A.; Belovich, V.M.; Gord, J.R. High-repetition-rate OH-PLIF and PIV measurements in bluff body stabilized flames. In Proceedings of the 52nd Aerospace Sciences Meeting, Harbor, MD, USA, 13–17 January 2014. [Google Scholar] [CrossRef]
- Li, Q.; Dietrich, F.; Bolt, E.M.; Kevrikidis, I.G. Extended dynamic mode decomposition with dictionary learning: A data-driven adaptive spectral decomposition of the Koopman operator. Chaos 2017, 27, 103111. [Google Scholar] [CrossRef]
- Suresh, S. Fatigue of Materials; Cambridge University Press: Cambridge, UK, 2004. [Google Scholar]
- Kim, W.H.; Laird, C. Crack nucleation and stage i propagation in high strain fatigue—II mechanism. Acta Metall. 1978, 26, 789–799. [Google Scholar] [CrossRef]
- Fugger, C.A.; Roy, S.; Caswell, A.W.; Rankin, B.A.; Gord, J.R. Structure and dynamics of CH2O, OH, and the velocity field of a confined bluff-body premixed flame, using simultaneous PLIF and PIV at 10 kHz. Proc. Combust. Inst. 2019, 37, 1461–1469. [Google Scholar] [CrossRef]
- Slipchenko, M.; Miller, J.D.; Roy, S.; Meyer, T.R.; Mance, J.G.; Gord, J.R. 100-kHz, 100-ms, 400-J Burst-Mode Laser with Dual-Wavelength Diode-Pumped Amplifiers. Opt. Lett. 2014, 39, 4735–4738. [Google Scholar] [CrossRef] [PubMed]
- Miller, J.D.; Jiang, N.; Slipchenko, M.N.; Mance, J.; Gmeyer, T.R.; Roy, S.; Gord, J.R. Spatiotemporal analysis of turbulent jets enabled by 100-kHz, 100-ms burst-mode particle image velocimetry. Exp. Fluids 2016, 57, 192. [Google Scholar] [CrossRef]
- Roy, S.; Miller, J.; Gunaratne, G.H. Deviations from Taylor’s Frozen Hypothesis and Scaling Laws in Inhomogeneous Jet Flows. Commun. Phys. 2021, 4, 32. [Google Scholar] [CrossRef]
- Kolmogorov, A.N. Local structure of turbulence in an incompressible fluid at very high Reynolds numbers. Dokl. Akad. Naud. SSSR 1941, 30, 299–303. [Google Scholar] [CrossRef]
- Kolmogorov, A.N. Energy dissipation in locally isotropic turbulence. Dokl. Akad. Naud. SSSR 1941, 32, 19–21. [Google Scholar]
- Obukhov, A.M. Energy distribution in the spectrum of a turbulent flow. Izvestiya Akad. Nauk. SSSR Ser. Geogr. Geofiz. 1941, 4–5, 453–466. [Google Scholar]
- Williams, M.O.; Kevrikidis, I.G.; Rowley, C.W. A data-driven approximation of the Koopman operator: Extending dynamic mode decomposition. J. Nonlinear Sci. 2016, 25, 1307–1346. [Google Scholar] [CrossRef]













Publisher’s Note: MDPI stays neutral with regard to jurisdictional claims in published maps and institutional affiliations. |
© 2021 by the authors. Licensee MDPI, Basel, Switzerland. This article is an open access article distributed under the terms and conditions of the Creative Commons Attribution (CC BY) license (https://creativecommons.org/licenses/by/4.0/).
Share and Cite
Gunaratne, G.H.; Roy, S. Robust Mode Analysis. Mathematics 2021, 9, 1057. https://doi.org/10.3390/math9091057
Gunaratne GH, Roy S. Robust Mode Analysis. Mathematics. 2021; 9(9):1057. https://doi.org/10.3390/math9091057
Chicago/Turabian StyleGunaratne, Gemunu H., and Sukesh Roy. 2021. "Robust Mode Analysis" Mathematics 9, no. 9: 1057. https://doi.org/10.3390/math9091057
APA StyleGunaratne, G. H., & Roy, S. (2021). Robust Mode Analysis. Mathematics, 9(9), 1057. https://doi.org/10.3390/math9091057

