Nonlinear Control of Hydrostatic Thrust Bearing Using Multivariable Optimization
Abstract
1. Introduction
- The proposed method utilizes an extended state observer to estimate the unknown terms in the state models of the system.
- The combined extended-state-observer-based backstepping controller is an adaptive type compared to the previously reported method of [23].
- The optimal parameters of the proposed control scheme are tuned using the multiobjective particle swarm optimization method, while in the previously reported literature, the criteria for parameters tuning is not given.
- As compared to previously reported methods, the proposed method utilizes fewer sensors to implement the control law.
2. Mathematical Models
2.1. Fluid Viscosity as Control Input
2.2. Active Supply Pressure as Control Input
2.3. Membrane-Controlled Thrust Bearing
3. LESO-Based Controller Design
3.1. Multiobjective Performance Criteria
3.2. Particle Swarm Optimization (PSO)
- . It gives the value of the tuning parameters. For the nth iteration, the ith particle is represented by . The upper and lower bound are defined for the optimizing parameters.
- Velocity : it represents the velocity of particle . For the nth iteration, the ith particle velocity is given by
- Individual best : the cost function value of the particle is compared with the best cost function value. The particle that has the best cost function value is known as the individual best. The individual best is obtained when the ith particle holds the following condition:where and are the cost function for and . The ith individual best for the nth iteration is given by
- Global best : It is the best outcome among all the individual best values. For the nth iteration, the global best is found when the condition of Equation (43) is satisfied
- Position and velocity are updated with respect to individual best and global best position. The ith particle’s position and velocity is given bywhere and represent random numbers, is an inertial weight, as well as are positive acceleration constants, and are the current and the next velocity, respectively.
- Termination condition: Termination criteria are often two types. The first is the required number of iterations that have been achieved, while the second is the desired value of the objective function. The current research will try to achieve the “required number of iterations”.
- Step 1: Define a multiobjective function. The simulation is performed online, and variables such as error, settling time, overshoot, and rise time are updated to Equation (38) to find the multiobjective function. The total number iterations and parameters w, c1, c2 are defined.
- Step 2: Stop PSO if the required number of iterations have been reached, or else update the multiobjective function by simulating the model and updating the monitoring variables.
- Step 3: Update the position of individual best according to Equation (41).
- Step 4: Update the position of global best according to Equation (43).
- Step 5: Update position and velocity according to Equation (44). Apply lower and upper boundaries by using Equation (39) if the value goes beyond the desired interval.
- Step 6: go to Step 2.
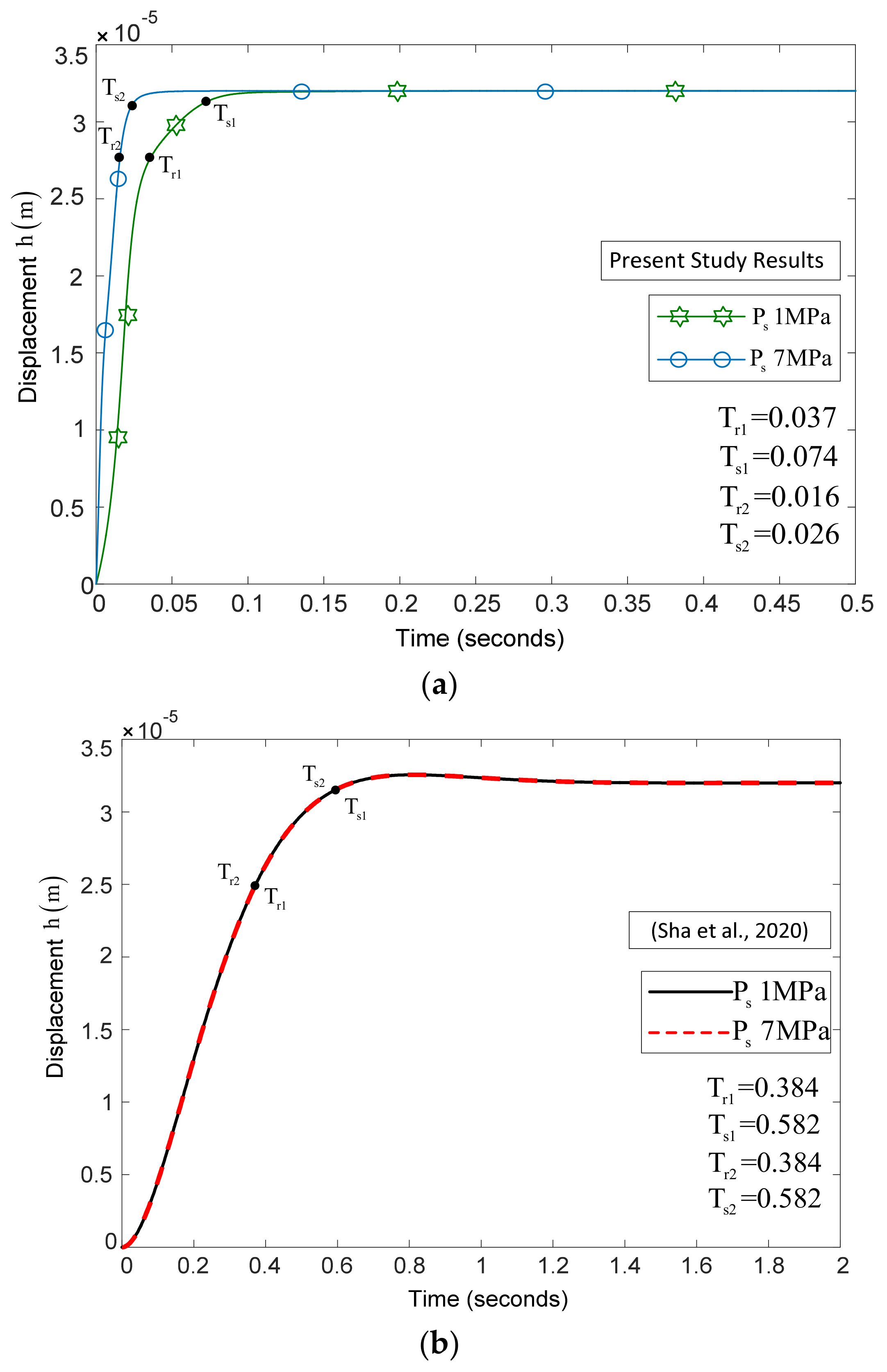
4. Results
5. Conclusions
Author Contributions
Funding
Institutional Review Board Statement
Informed Consent Statement
Data Availability Statement
Acknowledgments
Conflicts of Interest
Nomenclature
| Unknown disturbance | |
| Fluid film thickness | |
| Initial fluid film thickness | |
| Supply pressure | |
| μ | Fluid viscosity |
| Inner and outer radius for bearing | |
| Radius for membrane restrictor | |
| Recess pressure | |
| Unmodelled dynamic | |
| Mass of bearing |
References
- Dadouche, A.; Conlon, M.J. Operational performance of textured journal bearings lubricated with a contaminated fluid. Tribol. Int. 2016, 93, 377–389. [Google Scholar] [CrossRef]
- Vlădescu, S.-C.; Medina, S.; Olver, A.V.; Pegg, I.G.; Reddyhoff, T. Lubricant film thickness and friction force measurements in a laser surface textured reciprocating line contact simulating the piston ring–liner pairing. Tribol. Int. 2016, 98, 317–329. [Google Scholar] [CrossRef]
- Tala-Ighil, N.; Fillon, M. A numerical investigation of both thermal and texturing surface effects on the journal bearings static characteristics. Tribol. Int. 2015, 90, 228–239. [Google Scholar] [CrossRef]
- Hesselbach, J.; Abel-Keilhack, C. Active hydrostatic bearing with magnetorheological fluid. J. Appl. Phys. 2003, 93, 8441–8443. [Google Scholar] [CrossRef]
- Wang, X.; Li, H.; Li, M.; Bai, H.; Meng, G.; Zhang, H. Dynamic characteristics of magnetorheological fluid lubricated journal bearing and its application to rotor vibration control. J. Vibroeng. 2015, 17, 1912–1928. [Google Scholar]
- Zhang, S.; Long, Z.; Yang, X. Lubrication performance of magnetorheological fluid-lubricated rubber stern bearing test ring. J. Braz. Soc. Mech. Sci. Eng. 2021, 43, 1–10. [Google Scholar] [CrossRef]
- Kumar, V.; Sharma Satish, C. Magneto-hydrostatic lubrication of thrust bearings considering different configurations of recess. Ind. Lubr. Tribol. 2019, 71, 915–923. [Google Scholar] [CrossRef]
- Morosi, S.; Santos, I.F. Active lubrication applied to radial gas journal bearings. Part 1: Modeling. Tribol. Int. 2011, 44, 1949–1958. [Google Scholar] [CrossRef]
- Pierart, F.G.; Santos, I.F. Active lubrication applied to radial gas journal bearings. Part 2: Modelling improvement and experimental validation. Tribol. Int. 2016, 96, 237–246. [Google Scholar] [CrossRef]
- Mizumoto, H.; Arii, S.; Kami, Y.; Goto, K.; Yamamoto, T.; Kawamoto, M. Active inherent restrictor for air-bearing spindles. Precis. Eng. 1996, 19, 141–147. [Google Scholar] [CrossRef]
- Rehman, W.U.; Luo, Y.; Wang, Y.; Jiang, G.; Iqbal, N.; Rehman, S.U.; Bibi, S. Fuzzy logic–based intelligent control for hydrostatic journal bearing. Meas. Control. 2019, 52, 229–243. [Google Scholar] [CrossRef]
- Rehman, W.U.; Wang, X.; Cheng, Y.; Chen, Y.; Shahzad, H.; Chai, H.; Abbas, K.; Ullah, Z.; Kanwal, M. Model-based design approach to improve performance characteristics of hydrostatic bearing using multivariable optimization. Mathematics 2021, 9, 388. [Google Scholar] [CrossRef]
- Rehman, W.U.; Wang, X.; Chen, Y.; Yang, X.; Ullah, Z.; Cheng, Y.; Kanwal, M. An active control for hydrostatic journal bearing using optimization algorithms. Ind. Lubr. Tribol. 2021, 73, 316–324. [Google Scholar] [CrossRef]
- Rehman, W.U.; Jiang, G.; Luo, Y.; Wang, Y.; Khan, W.; Rehman, S.U.; Iqbal, N. Control of active lubrication for hydrostatic journal bearing by monitoring bearing clearance. Adv. Mech. Eng. 2018, 10. [Google Scholar] [CrossRef]
- Eberhardt, C.; Kurth, R.; Kraft, C.; Schwarze, H.; Päßler, T.; Bergmann, M.; Putz, M. Experimental validation of an intelligent hybrid plain bearing active control. J. Tribol. 2020, 143, 1–26. [Google Scholar] [CrossRef]
- Rehman, W.U.; Jiang, G.; Wang, Y.; Iqbal, N.; Rehman, S.U.; Bibi, S.; Elahi, H. A new type of aerostatic thrust bearing controlled by high-speed pneumatic valve and a novel pressure transducer. Int. J. Automot. Mech. Eng. 2019, 16, 7430–7446. [Google Scholar] [CrossRef]
- Kang, Y.; Yang, D.-W.; Hu, S.-Y.; Hung, Y.-H.; Peng, D.-X.; Chen, S.-K. Design for static stiffness of hydrostatic bearings: Double-action variable compensation of spool-type restrictors. Ind. Lubr. Tribol. 2014, 66, 83–99. [Google Scholar] [CrossRef]
- Kang, Y.; Peng, D.-X.; Hung, Y.-H.; Hu, S.-Y.; Lin, C.-S. Design for static stiffness of hydrostatic bearings: Double-action variable compensation of membrane-type restrictors and self-compensation. Ind. Lubr. Tribol. 2014, 66, 322–334. [Google Scholar] [CrossRef]
- Babin, A.; Kornaev, A.; Rodichev, A.; Savin, L. Active thrust fluid-film bearings: Theoretical and experimental studies. Proc. Inst. Mech. Eng. Part J J. Eng. Tribol. 2020, 234, 261–273. [Google Scholar] [CrossRef]
- Lai, T.-H.; Lin, S.-C. A simulation study for the design of membrane restrictor in an opposed-pad hydrostatic bearing to achieve high static stiffness. Lubricants 2018, 6, 71. [Google Scholar] [CrossRef]
- Santos, I.F.; Scalabrin, A. Control system design for active lubrication with theoretical and experimental examples. J. Eng. Gas Turbines Power 2003, 125, 75–80. [Google Scholar] [CrossRef]
- San Andrés, L.; Ryu, K. Hybrid gas bearings with controlled supply pressure to eliminate rotor vibrations while crossing system critical speeds. J. Eng. Gas Turbines Power 2008, 130. [Google Scholar] [CrossRef]
- Sha, Y.; Lu, C.; Pan, W.; Chen, S.; Ge, P. Nonlinear control system design for active lubrication of hydrostatic thrust bearing. Coatings 2020, 10, 426. [Google Scholar] [CrossRef]
- Ur Rehman, W.; Guiyun, J.; Yuan Xin, L.; Yongqin, W.; Iqbal, N.; UrRehman, S.; Bibi, S. Linear extended state observer-based control of active lubrication for active hydrostatic journal bearing by monitoring bearing clearance. Ind. Lubr. Tribol. 2019, 71, 869–884. [Google Scholar] [CrossRef]
- Wang, C.; Cusano, C. Dynamic characteristics of externally pressurized, double-pad, circular thrust bearings with membrane restrictors. J. Tribol. 1991, 113, 158–165. [Google Scholar] [CrossRef]
- Yan, Y.; Ding, L.; Yang, Y.; Liu, F. Discrete sliding mode control design for bilateral teleoperation system via adaptive extended state observer. Sensors 2020, 20, 5091. [Google Scholar] [CrossRef]
- Tran, D.T.; Dao, H.V.; Dinh, T.Q.; Ahn, K.K. Output feedback control via linear extended state observer for an uncertain manipulator with output constraints and input dead-zone. Electronics 2020, 9, 1355. [Google Scholar] [CrossRef]
- Deng, J.; Feng, C.; Zhao, H.; Wen, Y.; Wu, S. Disturbance and uncertainty suppression control for a saucer-shaped unmanned aerial vehicle based on extended state observer. Appl. Sci. 2020, 10, 4884. [Google Scholar] [CrossRef]
- Lara, M.; Garrido, J.; Ruz, M.L.; Vázquez, F. Adaptive pitch controller of a large-scale wind turbine using multi-objective optimization. Appl. Sci. 2021, 11, 2844. [Google Scholar] [CrossRef]
- Sánchez, H.S.; Padula, F.; Visioli, A.; Vilanova, R. Tuning rules for robust FOPID controllers based on multi-objective optimization with FOPDT models. ISA Trans. 2017, 66, 344–361. [Google Scholar] [CrossRef]
- Zhou, X.; Zhou, J.; Yang, C.; Gui, W. Set-point tracking and multi-objective optimization-based PID control for the goethite process. IEEE Access 2018, 6, 36683–36698. [Google Scholar] [CrossRef]
- Soleimani Amiri, M.; Ramli, R.; Ibrahim, M.F.; Abd Wahab, D.; Aliman, N. Adaptive particle swarm optimization of PID gain tuning for lower-limb human exoskeleton in virtual environment. Mathematics 2020, 8, 2040. [Google Scholar] [CrossRef]
- Manikantan, R.; Chakraborty, S.; Uchida, T.K.; Vyasarayani, C. Parameter identification in nonlinear mechanical systems with noisy partial state measurement using PID-controller penalty functions. Mathematics 2020, 8, 1084. [Google Scholar] [CrossRef]
- Mazen Alhato, M.; Bouallègue, S.; Rezk, H. Modeling and performance improvement of direct power control of doubly-fed induction generator based wind turbine through second-order sliding mode control approach. Mathematics 2020, 8, 2012. [Google Scholar] [CrossRef]











Publisher’s Note: MDPI stays neutral with regard to jurisdictional claims in published maps and institutional affiliations. |
© 2021 by the authors. Licensee MDPI, Basel, Switzerland. This article is an open access article distributed under the terms and conditions of the Creative Commons Attribution (CC BY) license (https://creativecommons.org/licenses/by/4.0/).
Share and Cite
Rehman, W.U.; Khan, W.; Ullah, N.; Chowdhury, M.D.S.; Techato, K.; Haneef, M. Nonlinear Control of Hydrostatic Thrust Bearing Using Multivariable Optimization. Mathematics 2021, 9, 903. https://doi.org/10.3390/math9080903
Rehman WU, Khan W, Ullah N, Chowdhury MDS, Techato K, Haneef M. Nonlinear Control of Hydrostatic Thrust Bearing Using Multivariable Optimization. Mathematics. 2021; 9(8):903. https://doi.org/10.3390/math9080903
Chicago/Turabian StyleRehman, Waheed Ur, Wakeel Khan, Nasim Ullah, M. D. Shahariar Chowdhury, Kuaanan Techato, and Muhammad Haneef. 2021. "Nonlinear Control of Hydrostatic Thrust Bearing Using Multivariable Optimization" Mathematics 9, no. 8: 903. https://doi.org/10.3390/math9080903
APA StyleRehman, W. U., Khan, W., Ullah, N., Chowdhury, M. D. S., Techato, K., & Haneef, M. (2021). Nonlinear Control of Hydrostatic Thrust Bearing Using Multivariable Optimization. Mathematics, 9(8), 903. https://doi.org/10.3390/math9080903

