Mass-Preserving Approximation of a Chemotaxis Multi-Domain Transmission Model for Microfluidic Chips
Abstract
1. Introduction
1.1. The Geometry of the Microfluidic Chip and of the Related Computational Domain
- -
- modelling reason the width of microchannels (12 m) is comparable to the size of cells (for instance, immune cells measure about 8–10 m of diameter);
- -
- computational reason to reduce the running time of the simulation algorithm, since otherwise we should consider a 2D meshgrid for each microchannel.
1.2. Original Contribution of the Present Paper
1.3. Main Contents and Plan of the Paper
- the study of the behavior of two different modelling of the dynamics in the channels: the parabolic model describing the dynamics inside the chambers was coupled both with KS-like and GA-like models;
- the numerical approximation of equations defined in a heterogeneous domain, characterized by the switch from 2D domains, represented by microfluidic left and right chambers, to 1D domains, given by the channels connecting them.
- the study of positivity and mass-preserving external boundary conditions for 2D-doubly parabolic model (3);
- the introduction of mass-preserving and positivity-preserving permeability conditions at the interfaces between 2D and 1D parabolic models—see Section 2.3.2;
- the introduction of mass-preserving and positivity-preserving permeability conditions at the interfaces between the 2D-fully parabolic model and 1D-hyperbolic-parabolic model—see Section 2.3.3.
2. Materials and Methods
- the description of the biological framework and the laboratory experiment that inspired our work—see Section 2.1;
- the mathematical methods—see Section 2.2—bringing us to the development of a simulation algorithm designed for qualitatively reproducing the experimental observations.
2.1. Biological Framework
2.1.1. Setting of the Laboratory Experiments
- first scenario (treated case): before enabling cells to migrate, tumor cells are previously treated with a chemoterapy drug. Afterwards, we observe immune cells migrating towards the left chamber where the tumor remains confined, but expresses the chemical stimuli attracting immune cells. Mainly, the dynamics observed in this case is the migration of immune cells from the right to the left in order to attack the tumor cells.
- second scenario (untreated case): tumor cells migrate in the right chamber and proliferate. In this case, the tumor cells do not produce chemoattractant, thus immune cells move in the environment without recognizing and attacking tumor cells.
2.2. Mathematical Framework
2.2.1. The Model
2.2.2. The Simplified Model
2.3. Outer Boundary and Interface Conditions for the Models with Null Source Term G
2.3.1. Boundary Conditions for the 2d Doubly Parabolic Model (8) with .
2.3.2. Interface between 2D-1D Models in (8) and (9)
2.3.3. Interface between 2D-1D Models in (8)–(10)
3. Numerical Approximation
3.1. The Parabolic-Parabolic Case
3.1.1. Discretization of the Outer Boundary Conditions for the Doubly Parabolic Problem
3.1.2. Discretization of the Transmission Conditions for the 2D-1D Doubly Parabolic Case
3.2. The Hyperbolic-Parabolic Case
3.2.1. Discretization of Transmission Conditions for the 2D-Doubly Parabolic and 1D-Hyperbolic-Parabolic Case
3.2.2. Multiple Channels
3.3. Implemented Algorithm.
3.3.1. Stability at Interfaces
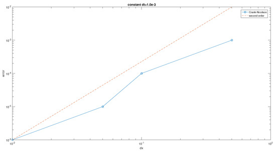
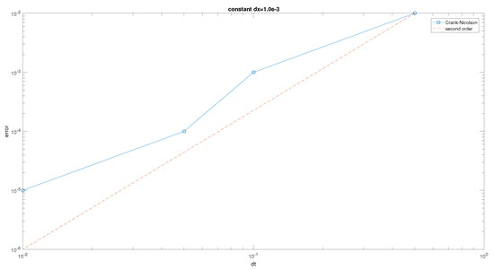
4. Numerical Tests and Results
5. Conclusions and Future Perspectives
- the introduction of mass-preserving conditions involving the balancing of incoming and outgoing fluxes passing through interfaces between 2D and 1D domains;
- the development of mass-preserving numerical schemes at the boundaries of the 2D domain and the mass-preserving transmission conditions at the 2D–1D interfaces.
Author Contributions
Funding
Institutional Review Board Statement
Informed Consent Statement
Data Availability Statement
Conflicts of Interest
References
- Vacchelli, E.; Ma, Y.; Baracco, E.E.; Sistigu, A.; Enot, D.P.; Pietrocola, F.; Yang, H.; Adjemian, S.; Chaba, K.; Semeraro, M.; et al. Chemotherapy-induced antitumor immunity requires formyl peptide receptor 1. Science 2015, 350, 972–978. [Google Scholar] [CrossRef]
- Businaro, L.; De Ninno, A.; Schiavoni, G.; Lucarini, V.; Ciasca, G.; Gerardino, A.; Belardelli, F.; Gabriele, L.; Mattei, F. Cross talk between cancer and immune cells: Exploring complex dynamics in a microfluidic environment. Lab. Chip 2013, 13, 229–239. [Google Scholar] [CrossRef]
- Parlato, S.; De Ninno, A.; Molfetta, R.; Toschi, E.; Salerno, D.; Mencattini, A.; Romagnoli, G.; Fragale, A.; Roccazzello, L.; Buoncervello, M.; et al. 3D Microfluidic model for evaluating immunotherapy efficacy by tracking dendritic cell behaviour toward tumor cells. Sci. Rep. 2017, 7, 1–16. [Google Scholar] [CrossRef] [PubMed]
- Keller, E.F.; Segel, L.A. Initiation of slime mold aggregation viewed as an instability. J. Theor. Biol. 1970, 26, 399–415. [Google Scholar] [CrossRef]
- Greenberg, J.M.; Alt, W. Stability results for a diffusion equation with functional drift approximating a chemotaxis model. Trans. Am. Math. Soc. 1987, 300, 235–258. [Google Scholar] [CrossRef]
- Di Russo, C. Analysis and Numerical Approximation of Hydrodynamical Models of Biological Movements. Ph.D. Thesis, Roma Tre University (Università degli studi Roma Tre), Rome, Italy, 2011. [Google Scholar]
- Dolak, Y.; Hillen, T. Cattaneo models for chemosensitive movement. Numerical solution and pattern formation. J. Math. Biol. 2003, 46, 153–170, Corrected Version after misprinted p.160 in J. Math. Biol. 2003, 46, 461–478. [Google Scholar] [CrossRef]
- Filbet, F.; Laurençot, P.; Perthame, B. Derivation of hyperbolic models for chemosensitive movement. J. Math. Biol. 2005, 50, 189–207. [Google Scholar] [CrossRef]
- Gamba, A.; Ambrosi, D.; Coniglio, A.; De Candia, A.; Di Talia, S.; Giraudo, E.; Serini, G.; Preziosi, L.; Bussolino, F. Percolation, morphogenesis, and Burgers dynamics in blood vessels formation. Phys. Rev. Lett. 2003, 90, 118101.1–118101.4. [Google Scholar] [CrossRef]
- Perthame, B. Transport Equations in Biology, Frontiers in Mathematics; Birkhäuser: Basel, Switzerland, 2007. [Google Scholar]
- Serini, G.; Ambrosi, D.; Giraudo, E.; Gamba, A.; Preziosi, L.; Bussolino, F. Modeling the early stages of vascular network assembly. Embo J. 2003, 22, 1771–1779. [Google Scholar] [CrossRef]
- Bretti, G.; Gosse, L. Diffusive limit of a two-dimensional well-balanced approximation to a kinetic model of chemotaxis. In SN Partial Differential Equations and Applications; Springer: Berlin, Germany, 2021. [Google Scholar] [CrossRef]
- Guarguaglini, F.R.; Mascia, C.; Natalini, R.; Ribot, M. Stability of constant states and qualitative behavior of solutions to a one dimensional hyperbolic model of chemotaxis. Discret. Contin. Dyn. Syst. Ser. B 2009, 12, 39–76. [Google Scholar] [CrossRef]
- Natalini, R.; Ribot, M. An asymptotic high order mass-preserving scheme for a hyperbolic model of chemotaxis. SIAM J. Numer. Anal. 2012, 50, 883–905. [Google Scholar] [CrossRef]
- Gosse, L. Asymptotic-preserving and well-balanced schemes for the 1D Cattaneo model of chemotaxis movement in both hyperbolic and diffusive regimes. J. Math. Anal. Appl. 2012, 388, 964–983. [Google Scholar] [CrossRef]
- Gosse, L. Well-balanced numerical approximations display asymptotic decay toward Maxwellian distributions for a model of chemotaxis in a bounded interval. SIAM J. Sci. Comput. 2012, 34, A520–A545. [Google Scholar] [CrossRef][Green Version]
- Bretti, G.; Natalini, R. Numerical approximation of nonhomogeneous boundary conditions on networks for a hyperbolic system of chemotaxis modeling the physarum dynamics. J. Comput. Methods Sci. Eng. 2018, 18, 85–115. [Google Scholar] [CrossRef]
- Bretti, G.; Natalini, R.; Ribot, M. A hyperbolic model of chemotaxis on a network: A numerical study. Math. Model. Numer. Anal. 2014, 48, 231–258. [Google Scholar] [CrossRef]
- Borsche, S.; Göttlich, S.; Klar, A.; Schillen, P. The scalar Keller-Segel model on networks. Math. Model. Methods Appl. Sci. 2014, 24, 221–247. [Google Scholar] [CrossRef]
- Kedem, O.; Katchalsky, A. Thermodynamic analysis of the permeability of biological membrane to non-electrolytes. Biochim. et Biophysica Acta 1958, 27, 229–246. [Google Scholar] [CrossRef]
- Quarteroni, A.; Veneziani, A.; Zunino, P. Mathematical and numerical modeling of solute dynamics in blood flow and arterial walls. SIAM J. Num. Anal. 2002, 39, 1488–1511. [Google Scholar] [CrossRef]
- Serafini, A. Mathematical Models for Intracellular Transport Phenomena. Ph.D. Thesis, “Sapienza” University of Rome 1, Rome, Italy, 2007. [Google Scholar]
- Cangiani, A.; Natalini, R. A spatial model of cellular molecular trafficking including active transport along microtubules. J. Theor. Biol. 2010, 267, 614–625. [Google Scholar] [CrossRef][Green Version]
- Di Costanzo, E.; Ingangi, V.; Angelini, C.; Carfora, M.F.; Carriero, M.V.; Natalini, R. A Macroscopic Mathematical Model For Cell Migration Assays Using A Real-Time Cell Analysis. PLoS ONE 2016, 11, e0162553. [Google Scholar] [CrossRef]
- Agliari, E.; Biselli, E.; De Ninno, A.; Schiavoni, G.; Gabriele, L.; Gerardino, A.; Mattei, F.; Barra, A.; Businaro, L. Cancer-driven dynamics of immune cells in a microfluidic environment. Sci. Rep. 2014, 4, 6639. [Google Scholar] [CrossRef]
- Lucarini, V.; Buccione, C.; Ziccheddu, G.; Peschiaroli, F.; Sestili, P.; Puglisi, R.; Mattia, G.; Zanetti, C.; Parolini, I.; Bracci, L.; et al. Combining Type I Interferons and 5-Aza-2’-Deoxycitidine to Improve Anti-Tumor Response against Melanoma. J. Investig. Dermatol. 2017, 137, 159–169. [Google Scholar] [CrossRef] [PubMed]
- Nguyen, M.; De Ninno, A.; Mencattini, A.; Mermet-Meillon, F.; Fornabaio, G.; Evans, S.S.; Cossutta, M.; Khira, Y.; Han, W.; Sirven, P.; et al. Dissecting Effects of Anti-cancer Drugs and Cancer-Associated Fibroblasts by On-Chip Reconstitution of Immunocompetent Tumor Microenvironments. Cell Rep. 2018, 25, 3884–3893. [Google Scholar] [CrossRef]
- Altrock, P.M.; Liu, L.L.; Michor, F. The mathematics of cancer: Integrating quantitative models. Nat. Rev. Cancer 2015, 15, 730–745. [Google Scholar] [CrossRef] [PubMed]
- Emako, C.; Gayrard, C.; Buguin, A.; de Almeida, L.N.; Vauchelet, N. Traveling Pulses for a Two-Species Chemotaxis Model. PLoS Comput. Biol. 2016, 12, 1–22. [Google Scholar] [CrossRef]
- Preziosi, L.; Tosin, A. Multiphase and Multiscale Trends in Cancer Modellings. Math. Model Nat. Phenom. 2009, 4, 1–11. [Google Scholar] [CrossRef]
- Méhes, E.; Vicsek, T. Collective motion of cells: From experiments to models. Integr. Biol. 2014, 6, 831–854. [Google Scholar] [CrossRef]
- Di Costanzo, E.; Natalini, R.; Preziosi, L. A hybrid mathematical model for self-organizing cell migration in the zebrafish lateral line. J. Math Biol. 2015, 71, 171–214. [Google Scholar] [CrossRef]
- Murray, J.D. Mathematical Biology II Spatial Models and Biomedical Applications; Springer: Berlin/Heidelberg, Germany, 2003. [Google Scholar]
- Lapidis, I.R.; Schiller, R. Model for the chemotactic response of a bacterial population. Biophys. J. 1976, 16, 779–789. [Google Scholar] [CrossRef]
- Natalini, R. Convergence to equilibrium for the relaxation approximations of conservation laws. Comm. Pure Appl. Math. 1996, 49, 795–823. [Google Scholar] [CrossRef]
- Patankar, S.V. Numerical Heat Transfer and Fluid Flow; McGraw-Hill: New York, NY, USA, 1996; ISBN 0-89116-522-3. [Google Scholar]
- Crank, J.; Nicolson, P. A practical method for numerical evaluation of solutions of partial differential equations of the heat conduction type. Proc. Camb. Phil. Soc. 1947, 43, 50–67. [Google Scholar] [CrossRef]
- Hairer, E.; Wanner, G. Solving ordinary differential equations. II, vol. 14 of Springer Series in Computational Mathematics. In Stiff and Differential-Algebraic Problems, 2nd revised ed.; Springer: Berlin, Germany, 2010. [Google Scholar]
- Aregba-Driollet, D.; Natalini, R. Convergence of relaxation schemes for conservation laws. Appl. Anal. 1996, 61, 163–193. [Google Scholar] [CrossRef]
- Knoll, D.A.; Keyes, D.E. Jacobian-Free Newton-Krylov methods: A survey of approaches and applications. J. Comput. Phys. 2004, 193, 357–397. [Google Scholar] [CrossRef]
- Morton, K.W.; Mayers, D. Numerical Solutions of Partial Differential Equations; Cambridge University Press: Cambridge, UK, 2005. [Google Scholar]
- Curk, T.; Marenduzzo, D.; Dobnikar, J. Chemotactic Sensing towards Ambient and Secreted Attractant Drives Collective Behaviour of E. coli. PLoS ONE 2013, 8, e74878. [Google Scholar] [CrossRef] [PubMed]










| Parameter | Description | Units | Value | Ref. |
|---|---|---|---|---|
| Diffusivity of cells | m/s | [33] | ||
| Diffusivity of T -scenario 2 | m/s | empirical | ||
| Diffusivity of T -scenario 1 | m/s | [33] | ||
| Diffusivity of chemoattractants | m/s | [33] | ||
| growth rate of in scenario 2 | s/cell | 0 | empirical | |
| growth rate of for scenario 1 | s/cell | [42] | ||
| consumption rate of | s | [42] | ||
| growth rate of for scenario 1 | s/cell | [42] | ||
| growth rate of for scenario 2 | s/cell | 0 | empirical | |
| consumption rate of | s | [42] | ||
| cellular drift velocity | mol cms | [33] | ||
| receptor dissociation constant | mol | [33] | ||
| S | maximum secretion rate of the chemicals | g/m | [33] | |
| equivalent Michaelis constant | cellsm | [33] | ||
| L | length of the corridor | m | 500 | datum |
| horizontal size of the box | m | 100 | datum | |
| vertical size of the box | m | 1000 | datum | |
| K | Kedem–Katchalsky constant | - | 500 | empirical |
Publisher’s Note: MDPI stays neutral with regard to jurisdictional claims in published maps and institutional affiliations. |
© 2021 by the authors. Licensee MDPI, Basel, Switzerland. This article is an open access article distributed under the terms and conditions of the Creative Commons Attribution (CC BY) license (http://creativecommons.org/licenses/by/4.0/).
Share and Cite
Braun, E.C.; Bretti, G.; Natalini, R. Mass-Preserving Approximation of a Chemotaxis Multi-Domain Transmission Model for Microfluidic Chips. Mathematics 2021, 9, 688. https://doi.org/10.3390/math9060688
Braun EC, Bretti G, Natalini R. Mass-Preserving Approximation of a Chemotaxis Multi-Domain Transmission Model for Microfluidic Chips. Mathematics. 2021; 9(6):688. https://doi.org/10.3390/math9060688
Chicago/Turabian StyleBraun, Elishan Christian, Gabriella Bretti, and Roberto Natalini. 2021. "Mass-Preserving Approximation of a Chemotaxis Multi-Domain Transmission Model for Microfluidic Chips" Mathematics 9, no. 6: 688. https://doi.org/10.3390/math9060688
APA StyleBraun, E. C., Bretti, G., & Natalini, R. (2021). Mass-Preserving Approximation of a Chemotaxis Multi-Domain Transmission Model for Microfluidic Chips. Mathematics, 9(6), 688. https://doi.org/10.3390/math9060688

