On a Discrete SEIR Epidemic Model with Exposed Infectivity, Feedback Vaccination and Partial Delayed Re-Susceptibility
Abstract
1. Introduction
2. Discrete SEIR Epidemic Model with Vaccination Control and Re-susceptibility
- (a)
- and are, respectively, the transmission rates of the infectious and exposed subpopulations, is the recovery rate and is the incubation rate The consideration of infectivity to the Susceptible from both the Exposed and the Infectious is considered since recent studies from the COVID-19 pandemic have established that the last period of the incubation stage and the former period of the infectious one are both contagious. In this paper, we consider that both transmission rates might be distinct in general.
- (b)
- The term , where , which is subtracted from the contribution to the recovered subpopulation while added to the susceptible subpopulation, takes into account the partial loss of immunity in the recovered subpopulation. Its calculation involves a range of previous samples of the discrete model that can be adjusted from samples to samples prior to the current sampling time instant. The sampling period can be typically one day, but this is not a restriction of the model. The delays and parameterize the model, and they can be varied or monitored for different model evaluations. Some ideas about how to implement the term of loss of immunity are discussed later on in Remark 2 with several possible weights that relate the loss of immunity with the time elapsed since recovery. The basic idea is the that the degree of re-susceptibility or of loss of immunity might be gradual so that the effective loss of immunity increases as time increases since recovery. This modeling proposal is introduced in the discrete epidemics framework in this paper. In the continuous framework, re-susceptibility has been considered in several papers. See, for instance, [36,37,38,39]. In particular, in [36], the contribution of re-susceptibility to the Susceptible and Recovered dynamics is formulated through integrals that involve delays in their integration limits. For generality purposes, we can consider that the period of loss of immunity can be parameterized by two delay parameters, and the effective loss of immunity along its duration period can be weighted, if desired, with different average weights for each sample depending on how far is it from the current sample under consideration.
- -
- It is of simple structure and of a discrete nature and, therefore, very appropriate for computational experiments. Furthermore, it does not need the incorporation of a modulation discretization parameter to guarantee the non-negativity of the sequence solution as other epidemic discrete models usually need. See, for instance, [1,2] and some references therein.
- -
- It has two eventual potentially distinct coefficient transmission rates and for the exposed and infectious subpopulations, which allow to consider infectivity to the susceptible subpopulation from both infective subpopulations. This might be potentially advantageous for its use for description of COVID-19 since it is now known that this disease has an infective period at the end of the incubation period and another one along the first days of the symptomatic infectious period.
- -
- It might be relevant for the forthcoming studies related to COVID-19 to evaluate the possible existence of an endemic steady-state. Note that the disease is now behaving in blowing-up phases, which follow the different intervention measures of confinement, isolations and other measures like social distancing, leisure control measures, etc., which are being taken in most of the countries. However, vaccination is starting to progress, and it is foreseen that its influence can reduce the disease force and the appearance of an endemic steady state, for which infection, susceptibility and immunity levels can depend on the vaccination effort and the transmission rate.
- -
- It is seen later on from the mathematical study of this model that the susceptible subpopulation is a decreasing sequence and that the exposed and infectious subpopulations increase for consecutive samples under certain conditions of the disease parameters and upper-bounds for the susceptible subpopulation. This behavior is also of interest for the use of the model as the disease blows-up along a transient period of time.
3. Non-Negativity of the Solution Sequence and Equilibrium Points
- (1)
- , andwithand.
- (2)
- The initial conditions are subject to, , and.
- (3)
- ifand ifthenand; .
- (1)
- Exponentially fast partial immunity loss with delay: ifwithforwith some given delaysandand suppose that; , which describes an exponentially fast partial immunity loss after a certain delay. If the partial immunity loss parameteris zero, this means that the immunity is permanent. Otherwise, the immunity is lost at exponential rate after thepreceding samples to the current one, while for theimmediately previous samples the immunity is maintained. Thus, one has
- (2)
- Constant partial immunity loss with delay: Iffor, and; then
- (3)
- Non-constant partial immunity loss at a smaller rate than exponential: It can be deduced in a similar way to the above situation withandforandbeing a strictly increasing finite sequence;. If the parameterizing sequences are constant, i.e., and; then.
- (a)
- Note from Proposition 1, that is, the relation limit Recovered to Susceptible improves as the vaccination gain increases, and the partial immunity loss level decreases, as expected.
- (b)
- Note also that the disease-free equilibrium point given in Proposition 1 stands for thatand. In particular, ifthenand, which implies that the Susceptible are not asymptotically removed, while the total population becomes asymptotically susceptible if the vaccination effort is removed and there is a permanent level of partial immunity loss. On the other hand, ifthen the susceptible and recovered subpopulations at the disease-free equilibrium point are both indeterminate in the formaccording to Proposition 1. However, the inspection of (1) concludes that, in this case,is non-increasing so thatandfor some existing limit, eventually a residual nonzero limit susceptibility amount, depending on each given set of non-negative initial conditions, so thatas a result.
- (a)
- If, equivalently if, then the endemic equilibrium point is not reachable since it has some negative components incompatible with the non-negativity of the solution sequence.
- (b)
- If, equivalently if, then the endemic equilibrium point is reachable since it has no negative component.
- (c)
- If, equivalently if, then the disease-free equilibrium point and the endemic one are confluent.
- (d)
- The basic reproduction number has an inverse proportionality ratio (so it decreases) with the endemic susceptible level.
- (e)
- The critical disease transmission rate increases with the vaccination gain, while the critical basic reproduction number decreases in parallel. That means the vaccination effort increases the range of potential transmission rate values for which the endemic equilibrium point is not reachable, that is, the only equilibrium point for such an increased range of potential values is the disease-free one.
- (f)
- From (18)–(21), it is seen that the susceptible endemic equilibrium value does not depend on the vaccination effort. However, the recovered endemic equilibrium value increases as the vaccination limit gain increases while the exposed and infectious endemic equilibrium values both decrease as the vaccination effort increases. On the other hand, the recovered endemic equilibrium decreases as the partial loss of immunity becomes increased, as intuitively expected.
4. Stability Results
4.1. Stability around the Disease-Free Equilibrium Point
- (a)
- It cannot diverge; and
- (b)
- It cannot be oscillatory for any period of samples either. This occurs in spite of the matrix of dynamics is critically stable with one (respectively, two) positive unity eigenvalue(s) if (respectively, if ). Therefore, and both converge to limit values of opposed sign. Those limit values cannot be nonzero since then the disease-free equilibrium point would be non-unique, contradicting Proposition 2. As a result, those limits are both zero, and the susceptible and recovered subpopulations are locally asymptotically stable around the disease-free equilibrium point. It has been fully proven that the linearized system is locally asymptotically stable around the disease-free equilibrium point. □
- (1)
- The choice . gives provided that .
- (2)
- If , then the choice yields .
- (3)
- If the assumption for non-negativity of the solution sequence (Theorem 1) for some real constant is incorporated then and, under the choice , Theorem 4 is satisfied for if .
4.2. Stability around the Endemic Equilibrium Point
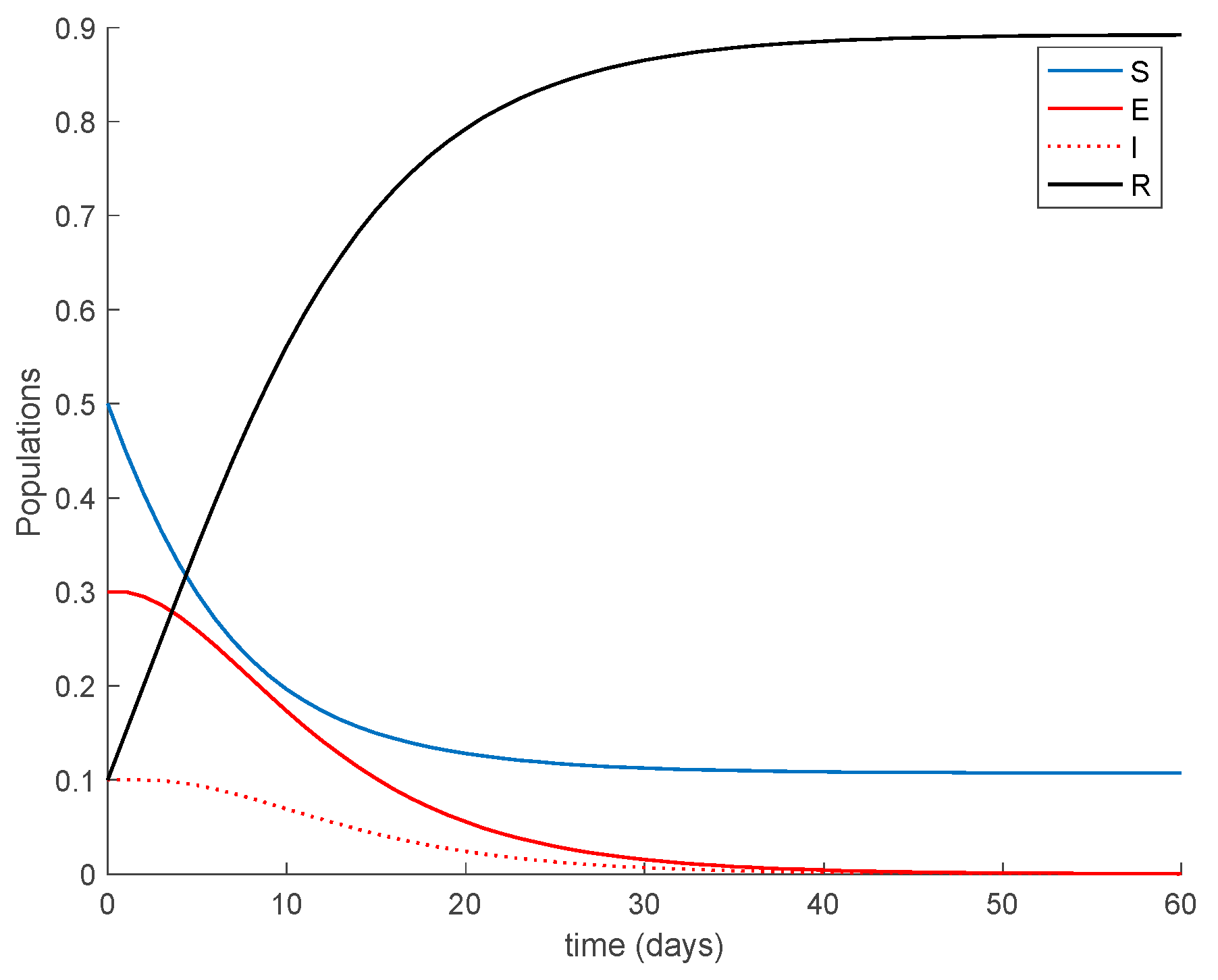
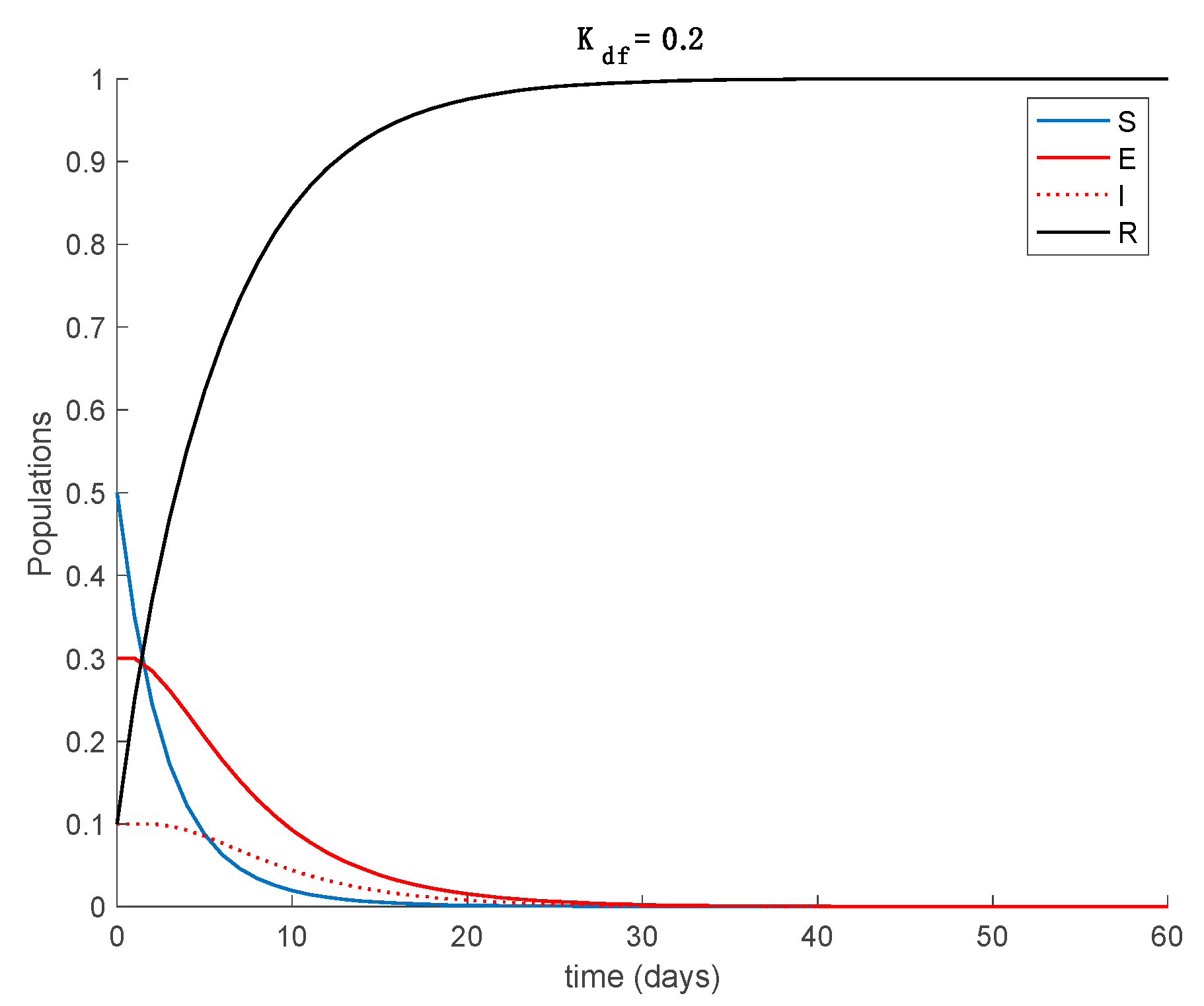
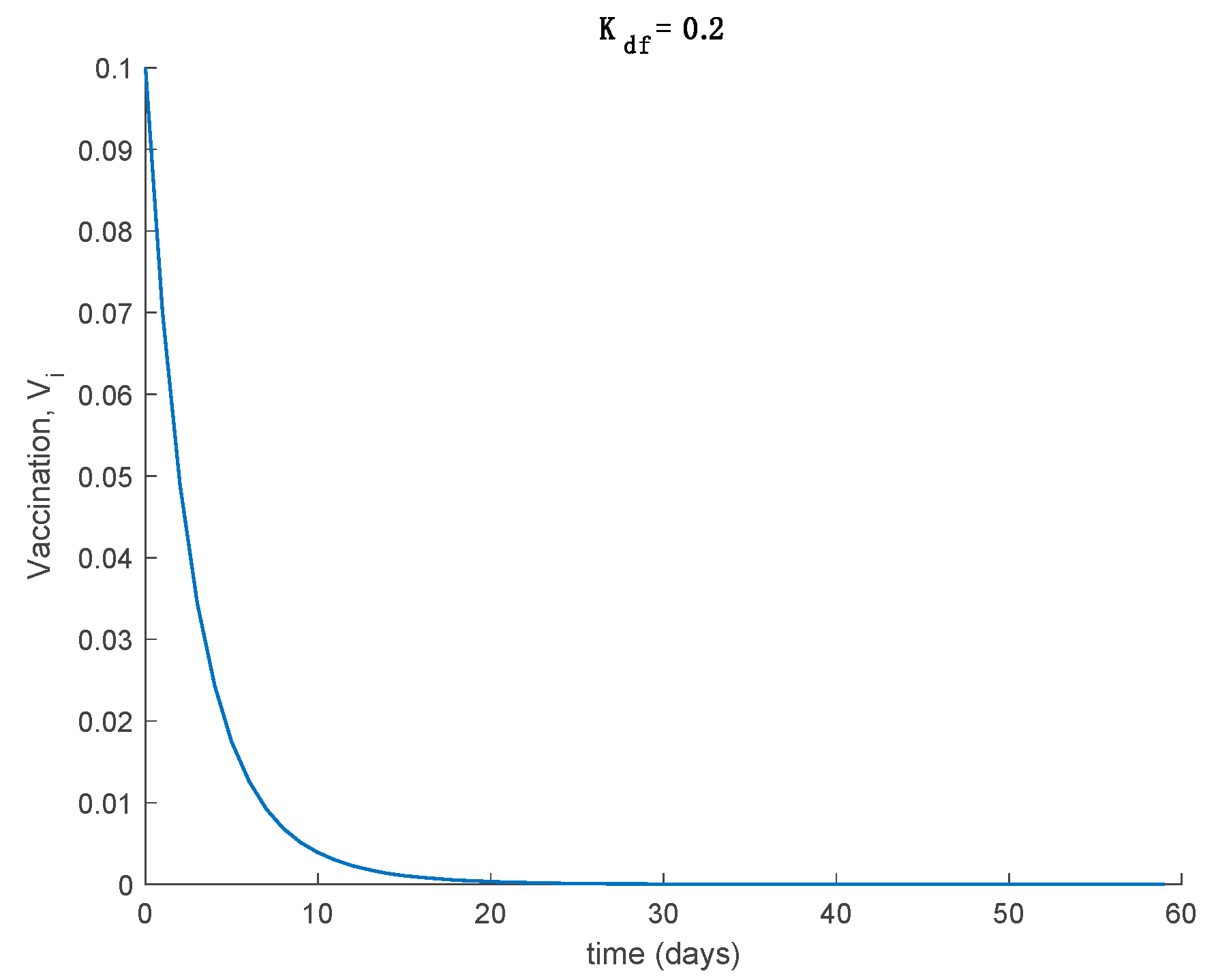
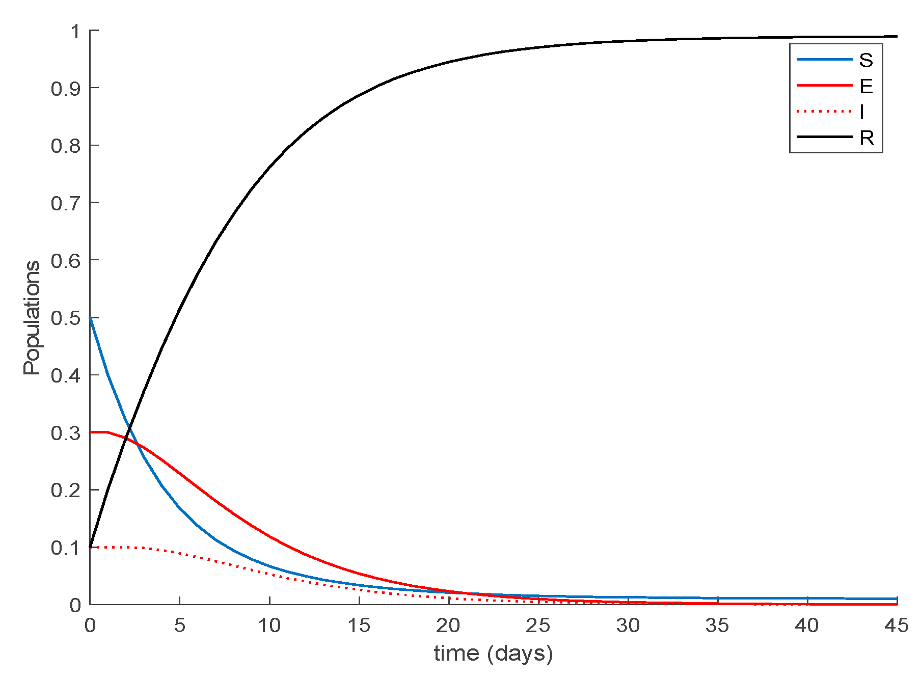
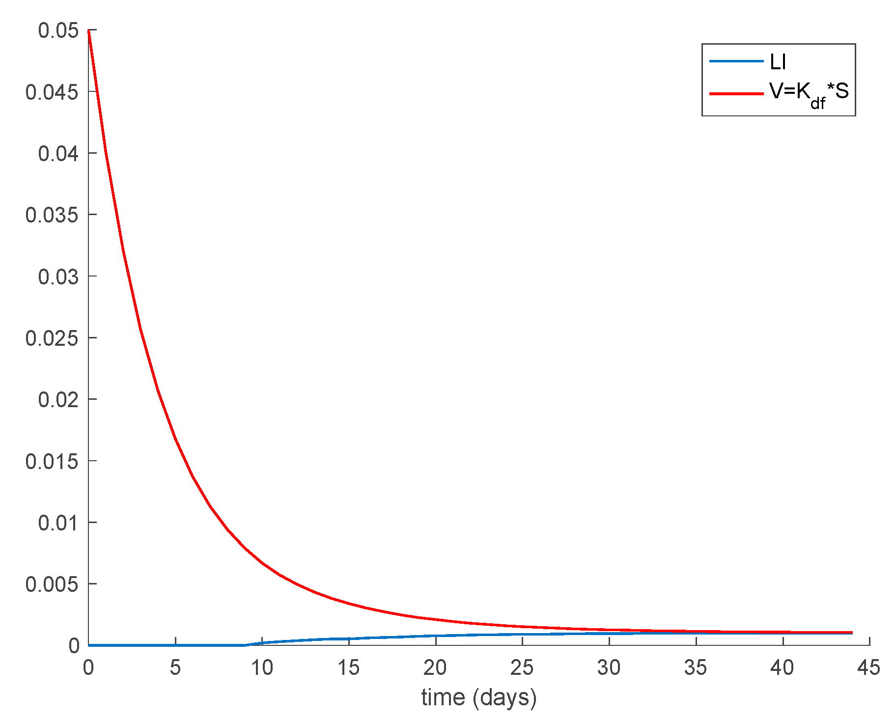
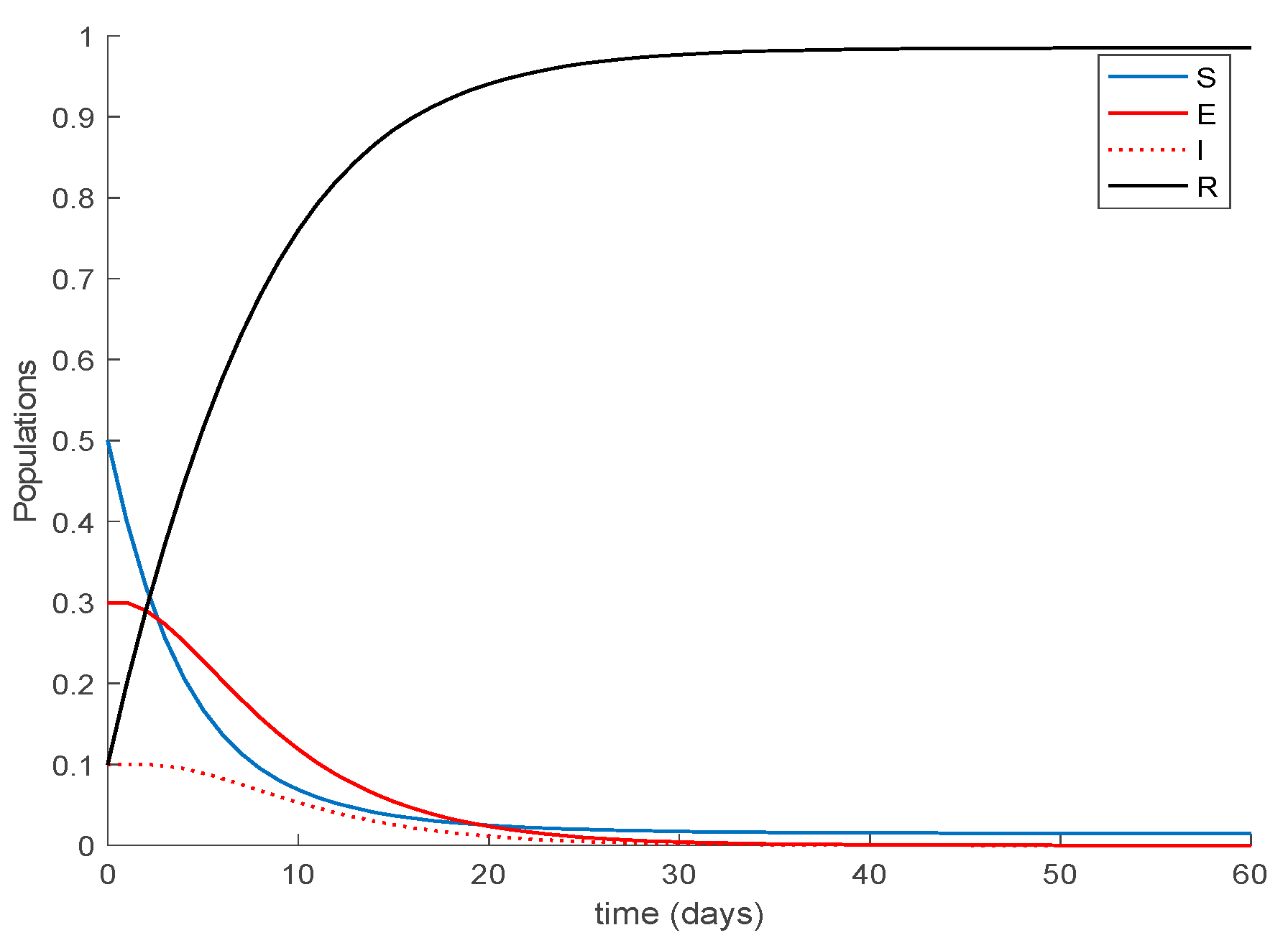
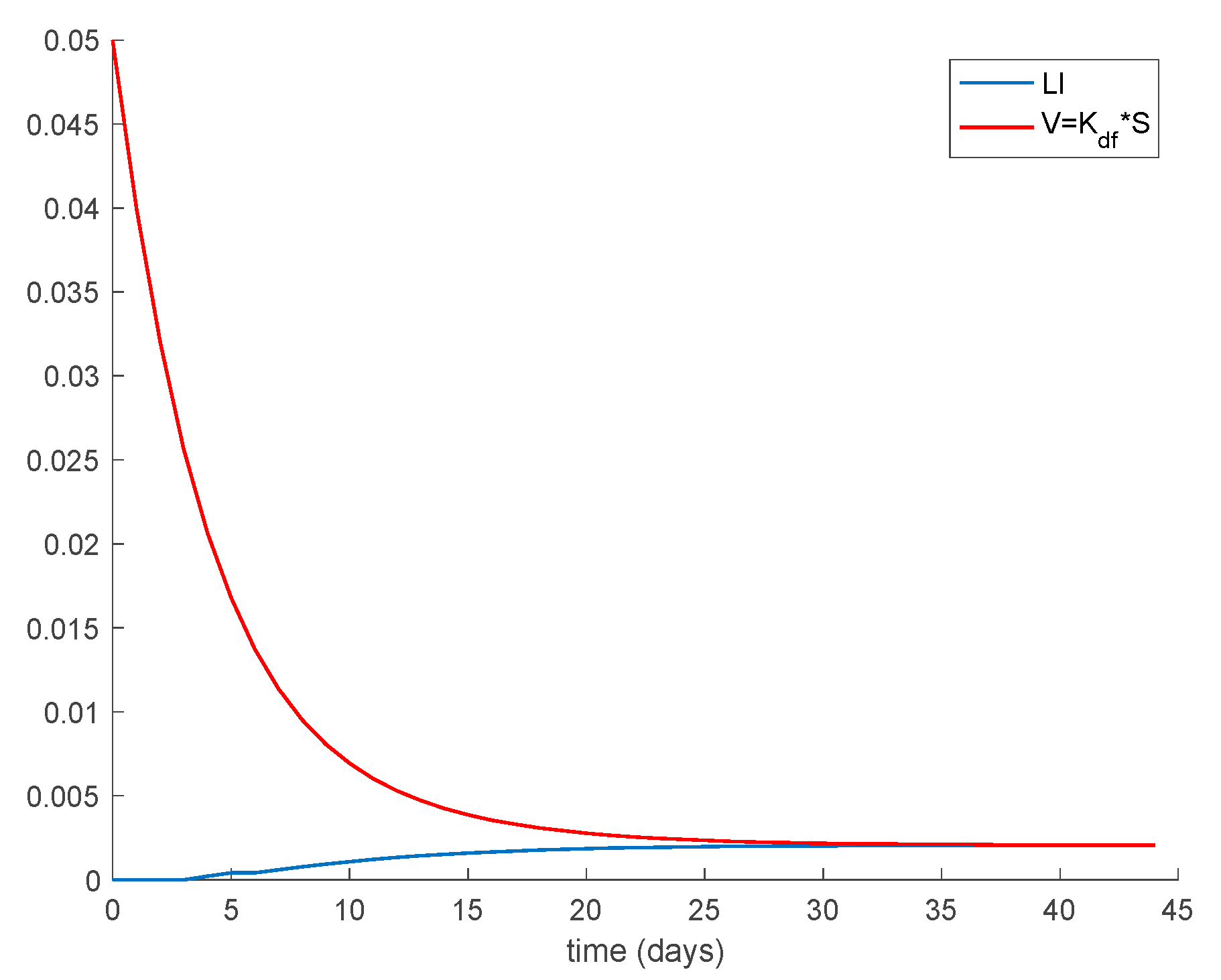
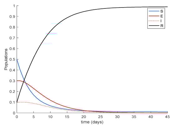
5. Numerical Examples
5.1. Example 1. Numerical Theoretical Example
5.2. Example 2. Application to the COVID-19 Pandemic
6. Conclusions
Author Contributions
Funding
Institutional Review Board Statement
Informed Consent Statement
Availability of Data and Material
Acknowledgments
Conflicts of Interest
References
- Hethcote, H.W. The mathematics of infectious diseases. SIAM Rev. 2000, 42, 599–653. [Google Scholar] [CrossRef]
- Jiao, H.; Shen, Q. Dynamics Analysis and Vaccination-Based Sliding Mode Control of a More Generalized SEIR Epidemic Model. IEEE Access 2020, 8, 174507–174515. [Google Scholar] [CrossRef]
- De la Sen, M.; Ibeas, A.; Alonso-Quesada, S. On vaccination controls for the SEIR epidemic model. Commun. Nonlinear Sci. Numer. Simul. 2012, 17, 2637–2658. [Google Scholar] [CrossRef]
- De La Sen, M.; Nistal, R.; Ibeas, A.; Garrido, A.J. On the Use of Entropy Issues to Evaluate and Control the Transients in Some Epidemic Models. Entropy 2020, 22, 534. [Google Scholar] [CrossRef] [PubMed]
- Liu, F.; Huang, S.; Zheng, S.; O Wang, H. Stability Analysis and Bifurcation Control For a Fractional Order SIR Epidemic Model with Delay. In Proceedings of the 2020 39th Chinese Control Conference (CCC), Shenyang, China, 27–29 July 2020; pp. 724–729. [Google Scholar]
- Nistal, R.; De La Sen, M.; Alonso-Quesada, S.; Ibeas, A. On a New Discrete SEIADR Model with Mixed Controls: Study of Its Properties. Mathematics 2018, 7, 18. [Google Scholar] [CrossRef]
- Ibeas, A.; De La Sen, M.; Alonso-Quesada, S.; Nistal, R. Parameter Estimation of Multi-Staged SI(n)RS Epidemic Models. In Proceedings of the 2018 UKACC 12th International Conference on Control (CONTROL), Sheffield, UK, 5–7 September 2018; pp. 456–461. [Google Scholar]
- Wang, X.; Lu, J.; Wang, Z.; Li, Y. Dynamics of discrete epidemic models on heterogeneous networks. Phys. A Stat. Mech. Appl. 2020, 539, 122991. [Google Scholar] [CrossRef]
- Parsamanesh, M.; Mehrshad, S. Stability of the equilibria in a discrete-time sivs epidemic model with standard incidence. Filomat 2019, 33, 2393–2408. [Google Scholar] [CrossRef]
- Darti, I.; Suryanto, A.; Hartono, M. Global stability of a discrete SIR epidemic model with saturated incidence rate and death induced by the disease. Commun. Math. Biol. Neurosci. 2020, 2020. [Google Scholar] [CrossRef]
- Suryanto, A.; Darti, I. On the nonstandard numerical discretization of SIR epidemic model with a saturated incidence rate and vaccination. AIMS Math. 2021, 6, 141–155. [Google Scholar] [CrossRef]
- Shalan, R.N.; Shireen, R.; Lafta, A.H. Discrete an SIS model with immigrants and treatment. J. Interdiscip. Math. 2020, 1–6. [Google Scholar] [CrossRef]
- Córdova-Lepe, F.; Gutiérrez, R.; Vilches-Ponce, K. Analysis of two discrete forms of the classic continuous SIR epidemiological model. J. Differ. Equations Appl. 2019, 26, 1–24. [Google Scholar] [CrossRef]
- Radha, S.; Mahalakshmi, K.; Kumar, S.; Saravanakumar, A.R. E-learning during lockdown of COVID-19 pandemic: A global perspective. Int. J. Control Autom. 2020, 13, 1088–1089. [Google Scholar]
- Cao, H.; Wu, H.; Wang, X. Bifurcation analysis of a discrete SIR epidemic model with constant recovery. Adv. Differ. Equ. 2020, 2020, 1–20. [Google Scholar] [CrossRef]
- Youssef, H.M.; Alghamdi, N.A.; Ezzat, M.A.; El-Bary, A.A.; Shawky, A.M. A new dynamical modeling SEIR with global analysis applied to the real data of spreading COVID-19 in Saudi Arabia. Math. Biosci. Eng. 2020, 17, 7018–7044. [Google Scholar] [CrossRef] [PubMed]
- Alrashed, S.; Min-Allah, N.; Saxena, A.; Ali, I.; Mehmood, R. Impact of lockdowns on the spread of COVID-19 in Saudi Arabia. Informatics Med. Unlocked 2020, 20, 100420. [Google Scholar] [CrossRef]
- De La Sen, M.; Ibeas, A.; Agarwal, R.P. On Confinement and Quarantine Concerns on an SEIAR Epidemic Model with Simulated Parameterizations for the COVID-19 Pandemic. Symmetry 2020, 12, 1646. [Google Scholar] [CrossRef]
- De la Sen, M.; Ibeas, A. On a controlled SE (Is)(Ih)(Iicu) AR epidemic model with output controllability issues to satisfy hospital constraints on hospitalized patients. Algorithms 2020, 13, 322. [Google Scholar] [CrossRef]
- Zhai, S.; Gao, H.; Luo, G.; Tao, J. Control of a multigroup COVID-19 model with immunity: Treatment and test elimination. Nonlinear Dyn. 2020, 1–15. [Google Scholar] [CrossRef]
- Abbasi, Z.; Zamani, I.; Mehra, A.H.A.; Shafieirad, M.; Ibeas, A. Optimal Control Design of Impulsive SQEIAR Epidemic Models with Application to COVID-19. Chaos Solitons Fractals 2020, 139, 110054. [Google Scholar] [CrossRef] [PubMed]
- Etxeberria-Etxaniz, M.; Alonso-Quesada, S.; De La Sen, M. On an SEIR Epidemic Model with Vaccination of Newborns and Periodic Impulsive Vaccination with Eventual On-Line Adapted Vaccination Strategies to the Varying Levels of the Susceptible Subpopulation. Appl. Sci. 2020, 10, 8296. [Google Scholar] [CrossRef]
- Rohith, G.; Devika, K.B. Dynamics and control of COVID-19 pandemic with nonlinear incidence rates. Nonlinear Dyn. 2020, 101, 2013–2026. [Google Scholar] [CrossRef]
- Singh, R.K.; Drews, M.; De La Sen, M.; Kumar, M.; Singh, S.S.; Pandey, A.K.; Srivastava, P.K.; Dobriyal, M.; Rani, M.; Kumari, P.; et al. Short-Term Statistical Forecasts of COVID-19 Infections in India. IEEE Access 2020, 8, 186932–186938. [Google Scholar] [CrossRef]
- Tuite, A.R.; Ng, V.; Rees, E.; Fisman, D. Estimation of COVID-19 outbreak size in Italy. Lancet Infect. Dis. 2020, 20, 537. [Google Scholar] [CrossRef]
- Dutta, A. Stabilizing COVID-19 Infections in US by Feedback Control based Test and Quarantine. In Proceedings of the 2020 IEEE Global Humanitarian Technology Conference (GHTC), Seattle, WA, USA, 29 October–1 November 2020; pp. 300–305. [Google Scholar]
- Casella, F. Can the COVID-19 pandemic be controlled on the basis of daily test reports? IEEE Control Syst. Lett. 2021, 5, 1079–1084. [Google Scholar] [CrossRef]
- Paul, S.; Lorin, E. Lockdown: A non-pharmaceutical policy to prevent the spread of COVID-19. Math. Modeling Comput. Res. 2020. [Google Scholar] [CrossRef]
- Balabdaoui, F.; Dirk, M. Age-stratified discrete compartment model of the COVId-19 epidemic with application to Switzerland. Sci. Rep. 2020, 10, 2306. [Google Scholar] [CrossRef]
- Costa, J.A., Jr.; Martinez, A.C.; Geromel, J.C. On an alternative susceptible-infected removed epidemic model in discrete-time. Soc. Bras. Autom. 2020, 2, 2020. [Google Scholar] [CrossRef]
- Cooper, I.; Mondal, A.; Antonopoulos, C.G. A SIR model assumption for the spread of COVID-19 in different communities. Chaos Solitons Fractals 2020, 139, 110057. [Google Scholar] [CrossRef] [PubMed]
- De la Sen, M.; Ibeas, A. On a Sir epidemic model for the COVID-19 pandemic and the logistic equation. Discret. Dyn. Nat. Soc. 2020, 2020, 17. [Google Scholar] [CrossRef]
- Wang, Y.; Wei, Z.; Cao, J. Epidemic dynamics of influenza-like diseases spreading in complex networks. Nonlinear Dyn. 2020, 101, 1–20. [Google Scholar] [CrossRef]
- Wang, Y.; Cao, J. Final size of network epidemic models: Properties and connections. Sci. China Inf. Sci. 2020, 64, 1–3. [Google Scholar] [CrossRef]
- Chinwenyi, H.C.; Ibrahim, H.D.; Adekunle, J.O. A study of two disease models: With and without incubation period. Int. J. Math. Comput. Sci. 2019, 13, 74–79. [Google Scholar]
- Ng, K.Y.; Gui, M.M. COVID-19: Development of a robust mathematical model package with consideration for ageing population and time delay for control action and resusceptibility. Phys. D Nonlinear Phenom. 2010, 114, 132599. [Google Scholar]
- Ng, M.K.Y. SEIRS-Based COVID-19 Simulation Packge. Available online: https://www.markusng.com/COVIDSiM/ (accessed on 10 February 2021).
- Anderez, D.O.; Kanjo, E.; Pogrebna, G.; Kaiwartya, O.; Johnson, S.D.; Hunt, J.A. A COVID-19-Based Modified Epidemiological Model and Technological Approaches to Help Vulnerable Individuals Emerge from the Lockdown in the UK. Sensors 2020, 20, 4967. [Google Scholar] [CrossRef] [PubMed]
- Dobbs, P.S.; Watts, D.J. A generalized model of social and biological contagion. J. Theor. Biol. 2005, 232, 587–604. [Google Scholar]






















| Theoretical | Numerical | |
|---|---|---|
| 0.1250 | 0.1249 | |
| 0.0381 | 0.0380 | |
| 0.0127 | 0.0127 | |
| 0.8242 | 0.8243 |
Publisher’s Note: MDPI stays neutral with regard to jurisdictional claims in published maps and institutional affiliations. |
© 2021 by the authors. Licensee MDPI, Basel, Switzerland. This article is an open access article distributed under the terms and conditions of the Creative Commons Attribution (CC BY) license (http://creativecommons.org/licenses/by/4.0/).
Share and Cite
De la Sen, M.; Alonso-Quesada, S.; Ibeas, A. On a Discrete SEIR Epidemic Model with Exposed Infectivity, Feedback Vaccination and Partial Delayed Re-Susceptibility. Mathematics 2021, 9, 520. https://doi.org/10.3390/math9050520
De la Sen M, Alonso-Quesada S, Ibeas A. On a Discrete SEIR Epidemic Model with Exposed Infectivity, Feedback Vaccination and Partial Delayed Re-Susceptibility. Mathematics. 2021; 9(5):520. https://doi.org/10.3390/math9050520
Chicago/Turabian StyleDe la Sen, Manuel, Santiago Alonso-Quesada, and Asier Ibeas. 2021. "On a Discrete SEIR Epidemic Model with Exposed Infectivity, Feedback Vaccination and Partial Delayed Re-Susceptibility" Mathematics 9, no. 5: 520. https://doi.org/10.3390/math9050520
APA StyleDe la Sen, M., Alonso-Quesada, S., & Ibeas, A. (2021). On a Discrete SEIR Epidemic Model with Exposed Infectivity, Feedback Vaccination and Partial Delayed Re-Susceptibility. Mathematics, 9(5), 520. https://doi.org/10.3390/math9050520
