Next Article in Journal
Refinements of Hermite–Hadamard Inequalities for Continuous Convex Functions via (p,q)-Calculus
Next Article in Special Issue
On the Paired-Domination Subdivision Number of Trees
Previous Article in Journal
Meshing Drive Mechanism of Double Traveling Waves for Rotary Piezoelectric Motors
Previous Article in Special Issue
An Improved Nordhaus–Gaddum-Type Theorem for 2-Rainbow Independent Domination Number
 
 
Font Type:
Arial Georgia Verdana
Font Size:
Aa Aa Aa
Line Spacing:
Column Width:
Background:
Article

On the Paired-Domination Subdivision Number of a Graph

by
Guoliang Hao
1,
Seyed Mahmoud Sheikholeslami
2,*,
Mustapha Chellali
3,
Rana Khoeilar
2 and
Hossein Karami
2
1
College of Science, East China University of Technology, Nanchang 330013, China
2
Department of Mathematics, Azarbaijan Shahid Madani University, Tabriz 51368, Iran
3
LAMDA-RO Laboratory, Department of Mathematics, University of Blida, B.P. 270, Blida 09000, Algeria
*
Author to whom correspondence should be addressed.
Mathematics 2021, 9(4), 439; https://doi.org/10.3390/math9040439
Submission received: 26 January 2021 / Revised: 17 February 2021 / Accepted: 19 February 2021 / Published: 23 February 2021
(This article belongs to the Special Issue Graphs, Metrics and Models)

Abstract

In order to increase the paired-domination number of a graph G, the minimum number of edges that must be subdivided (where each edge in G can be subdivided no more than once) is called the paired-domination subdivision number sd γ p r ( G ) of G. It is well known that sd γ p r ( G + e ) can be smaller or larger than sd γ p r ( G ) for some edge e E ( G ) . In this note, we show that, if G is an isolated-free graph different from m K 2 , then, for every edge e E ( G ) , sd γ p r ( G + e ) sd γ p r ( G ) + 2 Δ ( G ) .

1. Introduction

All graphs considered in this paper are finite, simple, and undirected. Let V ( G ) and E ( G ) be the vertex set and edge set of a graph G, respectively. The open neighborhood N G ( v ) of a vertex v in G is the set of all vertices that are adjacent to v, the closed neighborhood N G [ v ] is the set N G ( v ) { v } , and the set of edges incident with v is E ( v ) . The degree of a vertex v is the number of vertices in N G ( v ) . The maximum degree among all vertices of G is denoted by Δ ( G ) . The union of simple graphs G and H is the graph G H with vertex set V ( G ) V ( H ) and edge set E ( G ) E ( H ) . A star of order n 2 is the complete bipartite graph K 1 , n 1 . The center of the star is the vertex of maximum degree.
A leaf of G is a vertex with degree one and a support vertex is a vertex adjacent to a leaf. For a vertex subset S V ( G ) , we denote by G [ S ] the subgraph induced by S. A subdivision of an edge u v is obtained by removing the edge u v , adding a new vertex w, and adding edges u w and w v . Throughout this paper, when an edge e = u v is subdivided, the subdivision vertex for e is denoted by w e = w u v . For a set F of edges in a graph G, we use G F to denote the graph obtained from G by subdividing every edge in F . Note that w e w f for every two different edges e , f F .
A set S V ( G ) is a paired-dominating setof G, PD-set for short, if each vertex in V ( G ) \ S has at least one neighbor in S and G [ S ] contains a perfect matching. The minimum cardinality of a PD-set of G is called the paired-domination number of G and is denoted by γ p r ( G ) . Let S be a PD-set of G with a perfect matching M. Then, two vertices u and v are called partners (or paired) inS if the edge u v M . Paired domination in graphs was first studied in [1] and has been studied since then by several authors (for example, see [2,3,4,5,6]). The literature on the subject of paired domination has been detailed in the recent book chapter [7].
As good models of many practical problems, graphs sometimes have to be changed to adapt the changes in reality. Thus, we must pay attention to the change of graph parameters under graph modifications, such as deletion of vertices, deletion or addition of edges, and subdivision of edges. For example, Kok and Mynhardt [8] introduced the reinforcement number, which is the minimum number of edges which must be added to G in order to decrease the domination number of G. Fink et al. [9] introduced the bondage number of a graph, which is the minimum number of edges in which removal increases the domination number. For the subdivision of edges, Velammal [10], in his thesis, introduced the domination subdivision number which is the minimum number of edges that must be subdivided (where each edge can be subdivided at most once) in order to increase the domination number. The study of this kind of problems has been extended to other domination parameters (see, for instance [11,12,13,14,15,16,17,18]).
In this paper, we are interested in studying the paired-domination subdivision number introduced by Favaron et al. in [19]. In order to increase the paired-domination number of G, the minimum number of edges that must be subdivided (where each edge in G can be subdivided no more than once) is called the paired-domination subdivision number and is denoted by sd γ p r ( G ) . We note that the subdivision of the unique edge of a path of order 2 does not increase the paired-domination number. Thus, we always assume that all graphs involved have a component of order at least 3. The minimum cardinality of a set F E ( G ) such that γ p r ( G F ) > γ p r ( G ) is called an sd γ p r ( G ) -set. The paired-domination subdivision number has been studied by several authors (see, for instance [20,21]).
Let G be a connected graph of order at least 3. Favaron et al. [19] posed the following question: Is it true that, for any edge e E ( G ) , sd γ p r ( G + e ) sd γ p r ( G ) ? A negative answer to this question was given by Egawa et al. [22]. However, they approved the question in the affirmative if the following additional condition is added: each edge e E ( G ) satisfies γ p r ( G + e ) < γ p r ( G ) . We can further specify that, if γ p r ( G + e ) < γ p r ( G ) for some edge e E ( G ) , then the difference sd γ p r ( G ) sd γ p r ( G + e ) can be arbitrary large. To see this, consider the connected graph G t obtained from t 3 disjoint K 2 by adding a new vertex attached to one vertex of each K 2 . Now, for two leaves x and y of G t , one can easily see that γ p r ( G t ) = sd γ p r ( G t ) = 2 t , while γ p r ( G t + x y ) = 2 t 2 and sd γ p r ( G t + x y ) = 3 .
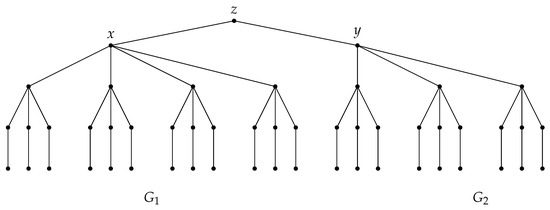
Let S t ( t 4 ) denote the subdivided star obtained from a star K 1 , t 1 of order t by subdividing all edges of K 1 , t 1 . Let G 1 be obtained from t copies of S t by adding a new vertex x and joining x to the central vertices of subdivided stars, G 2 be obtained from t 1 copies of S t by adding a new vertex y and joining y to the central vertices of subdivided stars and adding a pendant edge y z , and let G t be the union G 1 G 2 . Note that Δ ( G t ) = t . It is not hard to verify that sd γ p r ( G t ) = t and sd γ p r ( G t + x z ) = 2 t + 1 = sd γ p r ( G t ) + Δ ( G t ) + 1 , where the graph G t + x z for t = 4 is illustrated in Figure 1. Hence, the difference of sd γ p r ( G + e ) sd γ p r ( G ) can be arbitrary large for some edge e E ( G ) . Thus, an interesting problem is to find good bounds on sd γ p r ( G + e ) in terms of sd γ p r ( G ) and Δ ( G ) if e E ( G ) .
In this paper, we provide an upper bound for sd γ p r ( G + e ) for any e E ( G ) in terms of sd γ p r ( G ) and Δ ( G ) , the proof of which will be given in Section 3. More precisely, we mainly show the following.
Theorem 1.
Let G be an isolated-free graph different from m K 2 . Then, for every e E ( G ) ,
sd γ p r ( G + e ) sd γ p r ( G ) + 2 Δ ( G ) .
Furthermore, this bound is sharp.
We close this section by recalling three useful results.
Proposition 1
([19]). For any connected graph G of order at least three and any graph G formed from G by subdividing an edge e E ( G ) , γ p r ( G ) γ p r ( G ) .
Proposition 2
([22]). Let G be a graph with no isolated vertex. Then, for every edge e E ( G ) , either γ p r ( G ) = γ p r ( G + e ) or γ p r ( G ) = γ p r ( G + e ) + 2 .
Proposition 3
([22]). Let G be a connected graph of order at least three, and let e E ( G ) satisfy γ p r ( G + e ) < γ p r ( G ) . Then, sd γ p r ( G + e ) sd γ p r ( G ) .

2. Preliminary Results

In this section, we give some preliminary results useful for the proof of Theorem 1. We begin by extending the result of Proposition 3 to disconnected graphs different from m K 2 and having no isolated vertices.
Proposition 4.
Let G be an isolated-free graph different from m K 2 . If γ p r ( G + e ) < γ p r ( G ) for some edge e E ( G ) , then sd γ p r ( G + e ) sd γ p r ( G ) .
Proof. 
Let F be an sd γ p r ( G ) -set and observe that G F + e = ( G + e ) F . We shall show that γ p r ( G F + e ) > γ p r ( G + e ) . Assume that e = x y and let P be a γ p r ( G F + e ) -set. If P { x , y } = or x , y P , and they are not partners in P, then, clearly, P is a PD-set of G F , so γ p r ( ( G + e ) F ) γ p r ( G F ) > γ p r ( G ) > γ p r ( G + e ) . Hence, we assume that P { x , y } . First, let x , y P be two partners in P. Since P is a γ p r ( G F + e ) -set, we may assume that N G F ( x ) P . Let x N G F ( x ) \ P . If y has a neighbor y V P , then the set P { x , y } (in which x and y are partners with x and y , respectively) is a PD-set of G F ; thus, γ p r ( ( G + e ) F ) γ p r ( G F ) 2 γ p r ( G ) > γ p r ( G + e ) .
Hence, we can assume that N G F ( y ) P . Then, the set ( P \ { y } ) { x } (in which x and x are partners) is a PD-set of G F , and the result follows as above. Finally, let | P { x , y } | = 1 . Without loss of generality, assume that x P . If y has a neighbor in P other than x, then P is a PD-set of G F and the result follows as above. Now, if x is the unique neighbor of y in P , then, by considering a vertex y N G F ( y ) , one can see that the set P { y , y } (in which y and y are partners) is a PD-set of G F ; thus, γ p r ( ( G + e ) F ) γ p r ( G F ) 2 γ p r ( G ) > γ p r ( G + e ) . In either case, γ p r ( G F + e ) > γ p r ( G + e ) , implying that sd γ p r ( G + e ) sd γ p r ( G ) , which completes the proof. □
Lemma 1.
Let G be an isolated-free graph different from m K 2 . If γ p r ( G + e ) < γ p r ( G ) for some edge e E ( G ) , then sd γ p r ( G + e ) 3 .
Proof. 
Assume that e = x y , and let x 1 N G ( x ) and y 1 N G ( y ) . We denote by G the graph formed from G + e by subdividing the three edges e , x x 1 , y y 1 and adding three new vertices z 1 , z 2 , z 3 , respectively. In addition, we denote by G 1 the graph formed from G by subdividing the two edges x x 1 , y y 1 and adding two new vertices z 2 , z 3 , respectively, and we denote by G 2 the graph formed from G by subdividing only the edge x x 1 and adding a new vertex z 2 . Let P be a γ p r ( G ) -set. If z 1 P , then P is a PD-set of G 1 , so γ p r ( G ) = | P | γ p r ( G 1 ) γ p r ( G ) > γ p r ( G + e ) . Hence, assume that z 1 P , and let, without loss of generality, x be the partner of z 1 in P.
Assume first that ( N G [ y ] { z 1 } ) P . If x has a neighbor w in G { z 1 } such that w P , then ( P { z 1 } ) { w } is a PD-set of G 1 , and, as before, we have γ p r ( G ) > γ p r ( G + e ) . Thus, we can assume that all neighbors of x in V ( G ) { z 1 } belong to P. Then, clearly, P { x , z 1 } is a PD-set of G 1 , and, as before, γ p r ( G ) > γ p r ( G + e ) . Assume now that ( N G [ y ] { z 1 } ) P = . Then, we have y 1 D . If x has a neighbor w in V ( G ) { z 1 } such that w P , then ( P { z 1 } ) { w } is a PD-set of G 2 , and, as above, one can easily see that γ p r ( G ) > γ p r ( G + e ) . Finally, if all neighbors of x in G z 1 belongs to P, then P { x , z 1 } is a PD-set of G 2 ; thus, γ p r ( G ) > γ p r ( G + e ) . Therefore, sd γ p r ( G + e ) 3 . □
As an immediate consequence of Proposition 4 and Lemma 1, we, therefore, have the following result.
Corollary 1.
Let G be an isolated-free graph different from m K 2 . If γ p r ( G + e ) < γ p r ( G ) for some edge e E ( G ) , then sd γ p r ( G + e ) min { 3 , sd γ p r ( G ) } .
Lemma 2.
For any isolated-free graph G different from m K 2 , let F be a set of edges of G in which subdivision increases γ p r ( G ) , e = x y E ( G ) , and let G be the graph formed from G + e by subdividing the edges in F { e } . If P is a γ p r ( G ) -set such that w e P or x , y P , then
sd γ p r ( G + e ) | F | + 1 .
Proof. 
According to Proposition 4, we may assume that γ p r ( G ) = γ p r ( G + e ) (otherwise, the result is straightforward from this proposition). If w x y P , then, clearly, P is a PD-set of G F ; thus, γ p r ( G ) γ p r ( G F ) > γ p r ( G ) = γ p r ( G + e ) . Hence, assume that w x y P . Since, by assumption, x , y P , we may assume, without loss of generality, that x and w x y are partners in P. If all neighbors of x in V ( G ) { w x y } belong to P, then P { x , w x y } is a PD-set of G F ; thus, γ p r ( G ) γ p r ( G F ) + 2 > γ p r ( G ) = γ p r ( G + e ) . Now, if x has a neighbor w in V ( G ) { w x y } , then ( P { w x y ) { w } is a PD-set of G , and, as before, γ p r ( G ) γ p r ( G F ) > γ p r ( G ) = γ p r ( G + e ) , which completes the proof. □
Lemma 3.
Let G be an isolated-free graph different from m K 2 , and let F be an sd γ p r ( G ) -set. If e = x y E ( G ) such that E ( x ) F and E ( y ) F , then
sd γ p r ( G + e ) sd γ p r ( G ) + 3 .
Proof. 
If γ p r ( G + e ) < γ p r ( G ) , then by Corollary 1, the assertion is trivial. So, in the following, we may assume that γ p r ( G + e ) = γ p r ( G ) . Since E ( x ) F and E ( y ) F , let t 1 and t 2 be the neighbors of x and y , respectively, such that t 1 x , t 2 y F . Let G be the graph formed from G + e by subdividing the edges in F { e , x t 1 , y t 2 } . We denote by P a γ p r ( G ) -set. According to Lemma 2, we may assume that w e P and | P { x , y } | = 1 (otherwise, the result is straightforward from this lemma). Without loss of generality, assume that x is the partner of w e .
First, let ( N G [ y ] { w e } ) P . If x has a neighbor w in V ( G ) such that w P , then, clearly, ( P { w x y } ) { w } is a PD-set of G 1 which is obtained from G by subdividing the edges of F { x t 1 , y t 2 } . It follows that γ p r ( G ) γ p r ( G 1 ) γ p r ( G F ) > γ p r ( G ) = γ p r ( G + e ) . Hence, we assume that all neighbors of x in V ( G ) belong to P. In this case, P { x , w x y } is a PD-set of G 1 , and, as before, we obtain γ p r ( G ) > γ p r ( G + e ) .
Assume now that ( N G [ y ] { w x y } ) P = . Therefore, t 2 P (to paired-dominates w x t 2 ). If x has a neighbor w in G { w x y } such that w P , then, clearly, ( P { w x y } ) { w } is a PD-set of G 2 which is obtained from G by subdividing the edges of F { x t 1 } , and as before one can see that γ p r ( G ) > γ p r ( G + e ) . Hence, we can assume that all neighbors of x in G { w x y } belong to P. In this case, P { x , w x y } is a PD-set of G 2 ; thus, γ p r ( G ) γ p r ( G 2 ) > γ p r ( G ) = γ p r ( G + e ) . In either case, sd γ p r ( G + e ) sd γ p r ( G ) + 3 .
Lemma 4.
Let G be an isolated-free graph different from m K 2 . If e = x y E ( G ) such that x or y is a support vertex, then
sd γ p r ( G + e ) sd γ p r ( G ) + 2 .
Proof. 
If γ p r ( G + e ) < γ p r ( G ) , then the result follows from Proposition 4. Hence, we assume that γ p r ( G + e ) = γ p r ( G ) . Without loss of generality, let x be a support vertex, and let x x 1 be a pendant edge. Suppose that F is an sd γ p r ( G ) -set. We denote by G 1 the graph formed from G by subdividing the edges in F. In addition, we denote by G 2 the graph formed from G by subdividing the edges in F { x x 1 } , and we denote by G the graph formed from G + e by subdividing the edges in F { e , x x 1 } . Let P be a γ p r ( G ) -set. By Lemma 2, we may assume that w e P and | P { x , y } | = 1 (otherwise, the result is straightforward from this lemma).
First, let x be the partner of w x y in P. Then, we must have x 1 , w x x 1 P . If N G [ y ] ( P { w x y } ) , then the set P { w x y , x 1 } in which x and w x x 1 are partners, is a PD-set of G 2 yielding γ p r ( G ) γ p r ( G 2 ) > γ p r ( G ) = γ p r ( G + e ) . Hence, assume that N G [ y ] ( P { w x y } ) = and let w be a neighbor of y in G . Then, the set ( P { w x y , x 1 } ) { y , w } in which x and y are partners with w x x 1 and w , respectively, is a PD-set of G 2 . As before, we get γ p r ( G ) γ p r ( G 2 ) > γ p r ( G ) = γ p r ( G + e ) .
Now, assume that y is the partner of w x y in P. Clearly, w x x 1 P (to paired-dominates x 1 ). If y has a neighbor w in V ( G ) { w x y } such that w P , then ( P { w x y } ) { w } is a PD-set of G 2 ; thus, γ p r ( G ) γ p r ( G 2 ) γ p r ( G 1 ) > γ p r ( G ) = γ p r ( G + e ) . Now, if all neighbors of y in V ( G ) { w x y } belong to P, then P { y , w x y } is a PD-set of G 2 , and, as before, we obtain γ p r ( G ) > γ p r ( G + e ) . In either case, sd γ p r ( G + e ) sd γ p r ( G ) + 1 .
Before going further, we give some notation and definitions. For a vertex x V ( G ) , the set of isolated vertices in the subgraph induced by N G ( x ) is denoted by I S ( x ) . We also denote by X G the set of pairs ( x , y ) of non-adjacent vertices in G. Moreover, for a pair ( x , y ) X G , let E ( x , y ) = { t x t y E ( y ) } , in other words, E ( x , y ) is the set of edges incident with x in which end vertices are neighbors of y . In addition, we consider two functions q 1 and q 2 on X G as follows.
(a)
q 1 : X G N 0 defined by q 1 ( x , y ) = 2 if neither N ( x ) nor N ( y ) is independent, and
q 1 ( x , y ) = min min { | N ( v ) ( V N [ x ] ) | : v I S ( x ) } , min { | N ( u ) ( V N [ y ] ) | : u I S ( y ) }
otherwise. Note that q 1 ( x , y ) = 0 if and only if x or y is a support vertex.
(b)
q 2 : X G N 0 defined by q 2 ( x , y ) = 2 if there exits an sd γ p r ( G ) -set M such that E ( x ) M and E ( y ) M , and
q 2 ( x , y ) = min { | ( E ( x ) E ( y ) ) \ M | | E ( x , y ) \ M | : M is a sd γ p r ( G ) - set }
otherwise.
Lemma 5.
Let G be an isolated-free graph different from m K 2 , and let e = x y E ( G ) .
1. 
If neither N ( x ) nor N ( y ) is independent, then
sd γ p r ( G + e ) sd γ p r ( G ) + 3 + max { q 2 ( x , y ) , q 2 ( y , x ) } sd γ p r ( G ) + Δ ( G ) + 3 .
2. 
If F is an sd γ p r ( G ) -set such that E ( x ) F , E ( y ) F and N ( y ) is not independent, then
sd γ p r ( G + e ) sd γ p r ( G ) + q 2 ( x , y ) + 2 sd γ p r ( G ) + Δ ( G ) + 2 .
3. 
If N ( x ) N ( y ) , then
sd γ p r ( G + e ) sd γ p r ( G ) + 2 + min { Δ ( G ) , max { q 2 ( x , y ) , q 2 ( y , x ) } } .
Proof. 
According to Proposition 4, we may assume that γ p r ( G + e ) = γ p r ( G ) . Note that since G is isolated-free and different from m K 2 , Δ ( G ) 2 . We now show items of the lemma one by one.
  • If there is an sd γ p r ( G ) -set F such that E ( x ) F and E ( y ) F , then q 2 ( x , y ) = 2 , and, by Lemma 3, we have
    sd γ p r ( G + e ) sd γ p r ( G ) + 3 sd γ p r ( G ) + max { q 2 ( x , y ) , q 2 ( y , x ) } + 1 sd γ p r ( G ) + Δ ( G ) + 1 .
    Hence, we may assume that, for every sd γ p r ( G ) -set F, E ( x ) F or E ( y ) F . In that case, it is clear that sd γ p r ( G ) + max { q 2 ( x , y ) , q 2 ( y , x ) } + 3 sd γ p r ( G ) + Δ ( G ) + 3 . Now, let F be an sd γ p r ( G ) -set with, without loss of generality, E ( x ) F . Since, by assumption, neither N ( x ) nor N ( y ) is independent, let x 1 , x 2 be two adjacent vertices of N ( x ) , likewise y 1 , y 2 two adjacent vertices of N ( y ) . In addition, consider the graph G formed from G + x y by subdividing the edges in F { x y , x 1 x 2 , y 1 y 2 } and all edges in ( E ( y ) F ) \ ( E ( y , x ) F ) and let P be a γ p r ( G ) -set. If w x y P or x , y P , then, by Lemma 2, we have sd γ p r ( G + e ) | F | + 3 + q 2 ( y , x ) sd γ p r ( G ) + Δ ( G ) + 3 . Hence, we may assume that w x y P and | P { x , y } | = 1 . We claim that w x y is the unique subdivision vertex adjacent to x belonging to P. Suppose, to the contrary, that w x z is a subdivision vertex adjacent to x such that w x z P . If x is the partner of w x y , then the set P { w x z , w x y } , in which x and z are partners, is a PD-set of G 1 which is obtained from G + e by subdividing all edges in ( F { x 1 x 2 , y 1 y 2 } ) { x z } and the edges of ( E ( y ) F ) \ ( E ( y , x ) F ) . It follows that γ p r ( G ) > γ p r ( G 1 ) γ p r ( G + e ) ; thus,
    sd γ p r ( G + e ) sd γ p r ( G ) + q 2 ( y , x ) + 1 < sd γ p r ( G ) + Δ ( G ) + 3 .
    Hence, we can now assume that y is the partner of w x y . If all neighbors of y in G w x y are in P, then P { y , w x y } is a PD-set of G 2 which is obtained from G by subdividing all edges in F { x 1 x 2 , y 1 y 2 } and the edges of ( E ( y ) F ) \ ( E ( y , x ) F ) . It follows that γ p r ( G ) γ p r ( G 2 ) > γ p r ( G ) = γ p r ( G + e ) ; thus,
    sd γ p r ( G + e ) sd γ p r ( G ) + q 2 ( y , x ) + 1 < sd γ p r ( G ) + Δ ( G ) + 3 .
    If y has a neighbor w in G w x y with w P , then ( P { w x y } ) { w } is a PD-set of G 2 (defined before) and the desired result follows as before. Thus, w x y is indeed the unique subdivision vertex adjacent to x that belongs to P. We now claim that w x y is the unique subdivision vertex adjacent to y belonging to P. Suppose, to the contrary, that w y z is a subdivision vertex adjacent to y such that w y z P . If y is the partner of w x y , then the set P { w y z , w x y } , in which y and z are partners, is a PD-set of G 1 which is obtained from G + e by subdividing all edges in ( F { x 1 x 2 , y 1 y 2 } ) { y z } and the edges of ( E ( y ) F { y z } ) \ ( E ( y , x ) F ) . It follows that γ p r ( G ) > γ p r ( G 1 ) γ p r ( G + e ) ; thus,
    sd γ p r ( G + e ) sd γ p r ( G ) + q 2 ( y , x ) + 1 < sd γ p r ( G ) + Δ ( G ) + 3 .
    Therefore, we may now suppose that x is the partner of w x y . If all neighbors of x in G w x y are in P, then P { x , w x y } is a PD-set of G 2 (defined before), and the desired result follows. If x has a neighbor w in G w x y with w P , then ( P { w x y } ) { w } is a PD-set of G 2 , and the desired result follows as before. Thus, w x y is indeed the unique subdivision vertex adjacent to y that belongs to P. Moreover, to paired-dominate vertices w x 1 x 2 and w y 1 y 2 , we may assume that x 1 , y 1 D . In this case, P { y , w x y } (if y is the partner of w x y ) or P { x , w x y } (if x is the partner of w x y ) is a PD-set of G 3 which is obtained from G by subdividing the edges of ( F ( E ( x ) E ( y ) ) { x 1 x 2 , y 1 y 2 } , implying that γ p r ( G ) > γ p r ( G 3 ) γ p r ( G ) = γ p r ( G + e ) . Therefore,
    sd γ p r ( G + e ) sd γ p r ( G ) | E ( x ) E ( y ) | + 2 sd γ p r ( G ) .
  • We first note that, since E ( x ) F , we have sd γ p r ( G ) + q 2 ( y , x ) + 1 sd γ p r ( G ) + | E ( y ) | + 1 < sd γ p r ( G ) + Δ ( G ) + 2 . In addition, since, by assumption, E ( y ) F and N ( y ) is not independent, let e 1 = y t E ( y ) F , and let y 1 , y 2 be two adjacent vertices of N ( y ) . We denote by G 1 the graph formed from G + x y by subdividing the edges of F { y 1 y 2 } and all edges in ( E ( y ) F ) \ ( E ( y , x ) ( F { e 1 } ) ) , and we denote by G the graph formed from G 1 by further subdividing the edge x y . Now, let P be a γ p r ( G ) -set, and let F be the set of all subdivided edges of G + e , , except x y , such that their subdivision vertices belong to P. We denote by G 2 the graph formed from G by subdividing the edges of F . It is easy to check that, if w x y P or x , y P , then, by Lemma 2,
    sd γ p r ( G + e ) | F | + 2 + | E ( y ) | sd γ p r ( G ) + Δ ( G ) + 2 .
    Hence, we may assume that w x y D and | P { x , y } | = 1 . As in the proof of Item 1, we can see that w x y is the unique subdivision vertex adjacent to x and y that belongs to P. To paired-dominate vertex w y 1 y 2 , we may assume that y 1 P . Now, if x and w x y are partners in P and w w x y is a subdivision vertex adjacent to x, then ( P { w x y } ) { w } is a PD-set of G 3 which is formed from G by subdividing the edges in F { y 1 y 2 } , as well as the edges of ( E ( y ) F { e 1 } ) \ ( E ( y , x ) F ) . It follows that γ p r ( G ) γ p r ( G 3 ) > γ p r ( G ) = γ p r ( G + e ) . However, if y and w x y are partners in P, then, clearly, N G ( x ) P ; thus, P { y , w x y } is a PD-set of G 2 , so γ p r ( G ) γ p r ( G 2 ) > γ p r ( G ) = γ p r ( G + e ) . In either case,
    sd γ p r ( G + e ) sd γ p r ( G ) + q 2 ( y , x ) + 2 sd γ p r ( G ) + Δ ( G ) + 2 .
  • Let t N ( x ) N ( y ) . If there is an sd γ p r ( G ) -set F such that E ( x ) F and E ( y ) F , then q 2 ( x , y ) = 2 , and, by Lemma 3, we have
    sd γ p r ( G + e ) sd γ p r ( G ) + 3 sd γ p r ( G ) + 2 + min { Δ ( G ) , max { q 2 ( x , y ) , q 2 ( y , x ) } } .
    Hence, we can assume that, for every sd γ p r ( G ) -set F, E ( x ) F or E ( y ) F . Clearly, in this case, max { q 2 ( x , y ) , q 2 ( x , y ) } Δ ( G ) . Now, let F be an sd γ p r ( G ) -set, such that, without loss of generality, E ( x ) F . We denote by G the graph formed from G + x y by subdividing the edges of F { x y } ( E ( y ) F ) . Let P be a γ p r ( G ) -set, and let F be the set of all subdivided edges of G + e , except x y , in which subdivision vertices belong to P . If w x y P or x , y P , then, by Lemma 2, sd γ p r ( G + e ) | F | + 2 + | E ( y ) F | sd γ p r ( G ) + 2 + min { Δ ( G ) , max { q 2 ( x , y ) , q 2 ( y , x ) } } . Hence, we assume that w x y D and | P { x , y } | = 1 . As in the proof of Item 1, we can see that w x y is the unique subdivision vertex adjacent to x and y that belongs to P. Then, clearly, t P (to paired-dominate either w x t or w y t ) , thus, P { x , y , w x y } is a PD-set of the graph G which is obtained from G by subdividing only the edges of F . Consequently, γ p r ( G ) > γ p r ( G ) γ p r ( G ) = γ p r ( G + e ) ; hence,
    sd γ p r ( G + e ) F + 1 | F | + | E ( y ) F | + 1 sd γ p r ( G ) + 2 + min { Δ ( G ) , max { q 2 ( x , y ) , q 2 ( y , x ) } } .
    The proof is completed.

3. Proof of Theorem 1

In this section, we prove Theorem 1.
Proof of Theorem 1.
We start by noting that since G is isolated-free and different from m K 2 , Δ ( G ) 2 . Now, let e = x y E ( G ) . If γ p r ( G + e ) < γ p r ( G ) , then, by Proposition 4 sd γ p r ( G + e ) sd γ p r ( G ) . Hence, we assume that γ p r ( G + e ) = γ p r ( G ) . By Lemma 5-(3), we can assume that N ( x ) N ( y ) = , for, otherwise, the result is obviously valid. If q 1 ( x , y ) = 0 , then x or y is support vertex; thus, the result follows by Lemma 4. Now, we consider two cases.
Case 1. q 1 ( x , y ) = 1 .
Without loss of generality, assume that 1 = q 1 ( x , y ) = | N ( v ) ( V N [ x ] ) | , where v I S ( x ) . Clearly, in this case v has degree two. Let z be the neighbor of v different from x. Moreover, let F be an sd γ p r ( G ) -set such that q 2 ( x , y ) is minimized. We can assume without loss of generality that E ( x ) F (otherwise, the result follows from Lemma 3). Let F 1 = F E ( y ) . Consider the graph G = ( G + e ) F 1 { e , v z } and let P be a γ p r ( G ) -set, and let F be a subset of F in which subdivision vertices are in P. According to Lemma 2, we can assume that w x y P and that | P { x , y } | = 1 . As in the proof of item 1 of Lemma 5, one can see that w x y is the unique subdivision vertex adjacent to x and y that belongs to P.
First, let x P and y P . If v P , then w v z P ; thus, the set ( P { w v z , w x y , x } ) { v } is a PD-set of the graph G which is obtained from G by subdividing the edges of F { e , v z } . It follows that γ p r ( G ) γ p r ( G ) + 2 > γ p r ( G ) = γ p r ( G + e ) ; thus, sd γ p r ( G + e ) | F 1 | + 2 sd γ p r ( G ) + Δ ( G ) + 2 . Now, if v P , then w v z is the partner of v in P; thus, the set ( P { w v z , w x , y } ) , in which v and x are partners, is a PD-set of the graph G defined before, which leads to sd γ p r ( G + e ) sd γ p r ( G ) + Δ ( G ) + 2 . Now, let y P and x P . Then, we must have v , w v z P ; thus, the set ( P { w x y , w v z , y } ) { x } is a PD-set of G 1 which is obtained from G + e by subdividing the edges in F { e } , yielding sd γ p r ( G + e ) sd γ p r ( G ) + Δ ( G ) + 2 as above.
Case 2. q 1 ( x , y ) 2 .
Assume that there exists some sd γ p r ( G ) -set F satisfying E ( x ) F and E ( y ) F . By Lemma 3, the result follows. Hence, we assume that, for every sd γ p r ( G ) -set F, either E ( x ) F or E ( y ) F . By Lemma 5-(3 and 1), we may assume that N ( x ) N ( y ) = and either N ( x ) or N ( y ) is independent. Let z be a vertex in I S ( x ) I S ( y ) such that q 1 ( x , y ) = | N ( z ) ( V N [ x ] ) | or q 1 ( x , y ) = | N ( z ) ( V N [ y ] ) | . Moreover, let F be an sd γ p r ( G ) -set. We denote by G the graph formed G + x y by subdividing the edges of F { x y } E ( x ) E ( y ) E ( z ) . Note that since either E ( x ) F or E ( y ) F , the number of subdivided edges is at most F + 2 Δ ( G ) . Let P be a γ p r ( G ) -set. Among all edges of G that have been subdivided resulting in the graph G , let F be the set of those in which subdivision vertices are in P. If w x y P or x , y P , then, clearly, the result follows from Lemma 2. Hence we may assume that w x y P and | P { x , y } | = 1 . In addition, we assume, without loss of generality, that x P and y P .
By the similar method to the proof of Lemma 5-(1), we may assume that no subdivision vertex adjacent to x or y other than w x y belongs to P. Since y P , we have N G ( y ) P . First, let z N G ( y ) . Then, z P and it has as a partner a subdivision vertex, say w z z . In this case, one can easily see that the set ( P { x , w z z , w x y } ) { y } , in which y and z are partners, is a PD-set of the graph G 2 which is obtained from G + e by subdividing all edges in F { z z , y z } . It follows that γ p r ( G ) > γ p r ( G 2 ) γ p r ( G + e ) . Now, let z N ( x ) . Then, P contains a subdivision vertex w z z that may have as a partner either z or z . If z P , then let P = P { w z z , w x , y } , and if z P , then let P = { z } P { w z z , w x , y } . Regardless the situation that occurs, P is a PD-set of the graph G 3 which is obtained from G + e by subdividing all edges in F { z z , x z } ; thus, γ p r ( G ) > γ p r ( G + e ) again. This completes the proof. □

4. Conclusions and Open Problems

In this paper, we considered the effect of subdivision of edges on the paired-domination number, that is, the paired-domination subdivision number of a graph. In particular, we proved that, for any isolated-free graph G different from m K 2 , if e E ( G ) , then sd γ p r ( G + e ) sd γ p r ( G ) + 2 Δ ( G ) . As a consequence of this study, we pose the following conjecture.
Conjecture 1.
For any isolated-free graph different from m K 2 and any e E ( G ) ,
sd γ p r ( G + e ) sd γ p r ( G ) + Δ ( G ) + 2 .
As a future work, we will focus on this problem.

Author Contributions

G.H. and S.M.S. contribute for supervision, methodology, validation, project administration, and formal analyzing. M.C., R.K. and H.K. contribute for investigation, resources, some computations, and wrote the initial draft of the paper, which was investigated and approved by G.H., S.M.S. and M.C., who wrote the final draft. All authors have read and agreed to the published version of the manuscript.

Funding

This study was supported by the National Natural Science Foundation of China (No 12061007) and the Doctor Fund of East China University of Technology (No. DHBK2015319). The authors would like to thank the anonymous reviewers and editors for their valuable comments and suggestions.

Institutional Review Board Statement

Not applicable.

Informed Consent Statement

Not applicable.

Data Availability Statement

Not applicable.

Conflicts of Interest

The authors declare no conflict of interest.

References

  1. Haynes, T.W.; Slater, P.J. Paired-domination in graphs. Networks 1998, 32, 199–206. [Google Scholar] [CrossRef]
  2. Favaron, O.; Henning, M.A. Paired domination in claw-free cubic graphs. Graphs Comb. 2004, 20, 447–456. [Google Scholar] [CrossRef]
  3. Favaron, O.; Karami, H.; Sheikholeslami, S.M. Paired domination number of a graph and its complement. Discrete Math. 2010, 308, 6601–6605. [Google Scholar] [CrossRef]
  4. Goddard, W.; Henning, M.A. A characterization of cubic graphs with paired domination number three fifths their order. Graphs Combin. 2009, 25, 675–692. [Google Scholar] [CrossRef]
  5. Henning, M.A. An upper bound on the paired domination number in terms of the number of edges in the graph. Discrete Math. 2010, 310, 2847–2857. [Google Scholar] [CrossRef]
  6. Haynes, T.W.; Henning, M.A. Paired-domination game played in graphs. Commun. Comb. Optim. 2019, 4, 79–94. [Google Scholar]
  7. Desormeaux, W.J.; Haynes, T.W.; Henning, M.A. Paired-domination in graphs. In Topics in Domination in Graphs; Haynes, T.W., Hedetniemi, S.T., Henning, M.A., Eds.; Springer: Berlin, Germany, 2020. [Google Scholar]
  8. Kok, J.; Mynhardt, C.M. Reinforcement in graphs. Congr. Numer. 1990, 79, 225–231. [Google Scholar]
  9. Fink, J.F.; Jacobson, M.S.; Kinch, L.F.; Roberts, J. The bondage number of a graph. Discrete Math. 1990, 86, 47–57. [Google Scholar] [CrossRef]
  10. Velammal, S. Studies in Graph Theory: Covering, Independence, Domination and Related Topics. P.h.D. Thesis, Manonmaniam Sundaranar University, Tirunelveli, India, 1997. [Google Scholar]
  11. Amjadi, J. Total Roman domination subdivision number in graphs. Commun. Comb. Optim. 2020, 5, 157–168. [Google Scholar]
  12. Amjadi, J.; Asgharsharghi, L.; Dehgardi, N.; Furuya, M.; Sheikholeslami, S.M.; Volkmann, L. The k-rainbow reinforcement number in graphs. Discret. Appl. Math. 2017, 30, 394–404. [Google Scholar] [CrossRef]
  13. Amjadi, J.; Khoeilar, R.; Chellali, M.; Shao, Z. On the Roman domination subdivision number of a graph. J. Comb. Optim. 2020, 40, 501–511. [Google Scholar] [CrossRef]
  14. Bahremandpour, A.; Hu, F.-T.; Sheikholeslami, S.M. On the Roman bondage number of a graph. Discret. Math. Algorithms Appl. 2013, 5, 1350001. [Google Scholar] [CrossRef]
  15. Dettlaff, M.; Kosari, S.; Lemańska, M.; Sheikholeslami, S.M. The convex domination subdivision number of a graph. Commun. Comb. Optim. 2016, 1, 43–56. [Google Scholar] [CrossRef][Green Version]
  16. Hu, F.; Sohn, M.Y. The algorithmic complexity of bondage and reinforcement problems in bipartite graphs. Theoret. Comput. Sci. 2014, 535, 46–53. [Google Scholar] [CrossRef]
  17. Hao, G.; Sheikholeslami, S.M.; Wei, S. Italian reinforcement number in graph. IEEE Access 2019, 7, 184448–184456. [Google Scholar] [CrossRef]
  18. Jafari Rad, N.; Sheikholeslami, S.M. Roman reinforcement in graphs. Bull. Inst. Combin. Appl. 2011, 61, 81–90. [Google Scholar]
  19. Favaron, O.; Karami, H.; Sheikholeslami, S.M. Paired-domination subdivision numbers of graphs. Graphs Combin. 2009, 25, 503–512. [Google Scholar] [CrossRef]
  20. Qiang, X.; Kosari, S.; Shao, Z.; Sheikholeslami, S.M.; Chellali, M.; Karami, H. A note on the paired-domination subdivision number of trees. Mathematics 2021, 9, 181. [Google Scholar] [CrossRef]
  21. Amjadi, J.; Chellali, M. Complexity of the paired domination subdivision problem. 2020; submiited. [Google Scholar]
  22. Egawa, Y.; Furuya, M.; Takatou, M. Upper bounds on the paired domination subdivision number of a graph. Graphs Combin. 2013, 29, 843–856. [Google Scholar] [CrossRef]
Figure 1. The graph G t + x z for t = 4 .
Figure 1. The graph G t + x z for t = 4 .
Mathematics 09 00439 g001
Publisher’s Note: MDPI stays neutral with regard to jurisdictional claims in published maps and institutional affiliations.

Share and Cite

MDPI and ACS Style

Hao, G.; Sheikholeslami, S.M.; Chellali, M.; Khoeilar, R.; Karami, H. On the Paired-Domination Subdivision Number of a Graph. Mathematics 2021, 9, 439. https://doi.org/10.3390/math9040439

AMA Style

Hao G, Sheikholeslami SM, Chellali M, Khoeilar R, Karami H. On the Paired-Domination Subdivision Number of a Graph. Mathematics. 2021; 9(4):439. https://doi.org/10.3390/math9040439

Chicago/Turabian Style

Hao, Guoliang, Seyed Mahmoud Sheikholeslami, Mustapha Chellali, Rana Khoeilar, and Hossein Karami. 2021. "On the Paired-Domination Subdivision Number of a Graph" Mathematics 9, no. 4: 439. https://doi.org/10.3390/math9040439

APA Style

Hao, G., Sheikholeslami, S. M., Chellali, M., Khoeilar, R., & Karami, H. (2021). On the Paired-Domination Subdivision Number of a Graph. Mathematics, 9(4), 439. https://doi.org/10.3390/math9040439

Note that from the first issue of 2016, this journal uses article numbers instead of page numbers. See further details here.

Article Metrics

Back to TopTop