A New Inversion-Free Iterative Scheme to Compute Maximal and Minimal Solutions of a Nonlinear Matrix Equation
Abstract
1. Subject, Literature, Motivation and Progress
1.1. Problem Statement
1.2. Literature
1.3. Our Result
1.4. Organization of the Paper
2. Novel Iteration Method
2.1. An Equivalent NME
2.2. Our Method
2.3. Theoretical Investigations
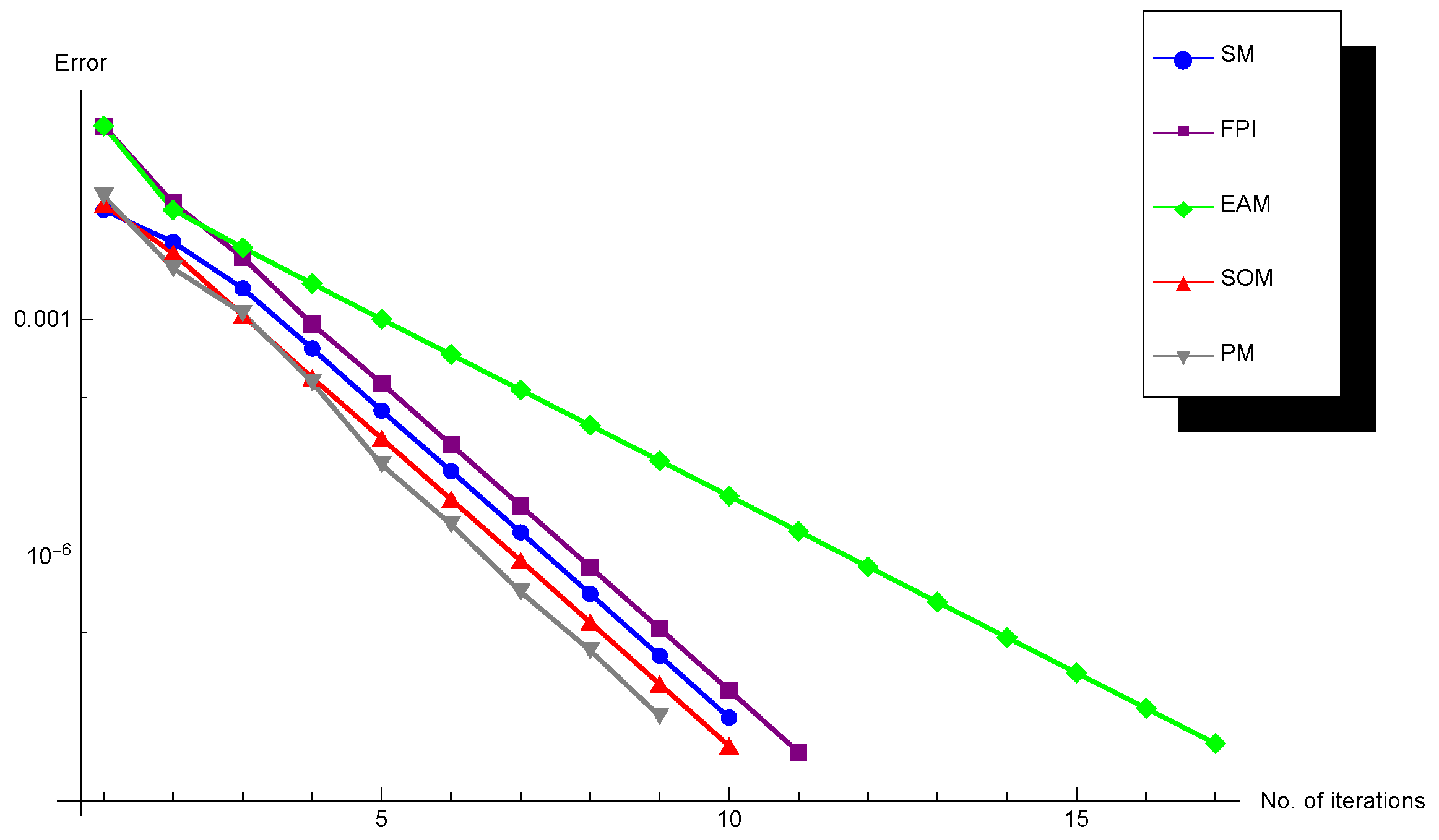
3. Experiments
4. Concluding Remarks
Funding
Institutional Review Board Statement
Informed Consent Statement
Data Availability Statement
Acknowledgments
Conflicts of Interest
References
- El-Sayed, S.M. An algorithm for computing positive definite solutions of the nonlinear matrix equation X + A*X−1A = I. Int. J. Comput. Math. 2003, 80, 1527–1534. [Google Scholar] [CrossRef]
- Engwerda, J.C.; Ran, C.M.A.; Rijkeboer, A.L. Necessary and sufficient conditions for the existence of a positive definite solution of the matrix equation X + A*X−1A = Q. Linear Algebra Its Appl. 1993, 186, 255–275. [Google Scholar] [CrossRef]
- Ivanov, I.G.; Hasanov, V.I.; Minchev, B.V. On matrix equations X ± A*X−2A = I. Linear Algebra Its Appl. 2001, 326, 27–44. [Google Scholar] [CrossRef]
- Huang, N.; Ma, C.; Tang, J. The inversion-free iterative methods for a system of nonlinear matrix equations. Int. J. Comput. Math. 2016, 93, 1470–1483. [Google Scholar] [CrossRef]
- Shil, S.; Nashine, H.K. Latest inversion-free iterative scheme for solving a pair of nonlinear matrix equations. J. Math. 2021, 2021, 2667885. [Google Scholar] [CrossRef]
- Bougerol, P. Kalman filtering with random coefficients and contractions. SIAM J. Control Optim. 1993, 31, 942–959. [Google Scholar] [CrossRef]
- Soheili, A.R.; Toutounian, F.; Soleymani, F. A fast convergent numerical method for matrix sign function with application in SDEs. J. Comput. Appl. Math. 2015, 282, 167–178. [Google Scholar] [CrossRef]
- Tian, Y.; Xia, C. On the low-degree solution of the Sylvester matrix polynomial equation. J. Math. 2021, 2021, 4612177. [Google Scholar] [CrossRef]
- Guo, C.H.; Lancaster, P. Iterative solution of two matrix equations. Math. Comput. 1999, 68, 1589–1603. [Google Scholar] [CrossRef]
- Liu, A.; Chen, G. On the Hermitian positive definite solutions of nonlinear matrix equation Xs + A*X−t1A + B*X−t2B = Q. Math. Prob. Eng. 2011, 2011, 163585. [Google Scholar] [CrossRef]
- El-Sayed, S.M.; Ran, A.C.M. On an iteration method for solving a class of nonlinear matrix equations. SIAM J. Matrix Anal. Appl. 2002, 23, 632–645. [Google Scholar] [CrossRef]
- Li, J. Solutions and improved perturbation analysis for the matrix equation X + A*X−pA = Q. Abst. Appl. Anal. 2013, 2013, 575964. [Google Scholar]
- Engwerda, J.C. On the existence of a positive definite solution of the matrix equation X + A*X−1A = I. Linear Algebra Its Appl. 1993, 194, 91–108. [Google Scholar] [CrossRef]
- Monsalve, M.; Raydan, M. A new inversion-free method for a rational matrix equation. Linear Algebra Its Appl. 2010, 433, 64–71. [Google Scholar] [CrossRef][Green Version]
- Zhang, L. An improved inversion-free method for solving the matrix equation X + A*X−αA = Q. J. Comput. Appl. Math. 2013, 253, 200–203. [Google Scholar] [CrossRef]
- El-Sayed, S.M.; Al-Dbiban, A.M. A new inversion free iteration for solving the equation X + A*X−1A = Q. J. Comput. Appl. Math. 2005, 181, 148–156. [Google Scholar] [CrossRef]
- Zhan, X. Computing the extremal positive definite solutions of a matrix equation. SIAM J. Sci. Comput. 1996, 17, 1167–1174. [Google Scholar] [CrossRef]
- Soleymani, F.; Sharifi, M.; Vanani, S.K.; Haghani, F.K.; Kiliçman, A. An inversion-free method for finding positive definite solution of a rational matrix equation. Sci. World J. 2014, 2014, 560931. [Google Scholar] [CrossRef] [PubMed]
- Soleymani, F.; Sharifi, M.; Shateyi, S.; Haghani, F.K. An algorithm for computing geometric mean of two Hermitian positive definite matrices via matrix sign. Abst. Appl. Anal. 2014, 2014, 978629. [Google Scholar] [CrossRef]
- Trott, M. The Mathematica Guide-Book for Numerics; Springer: New York, NY, USA, 2006. [Google Scholar]


Publisher’s Note: MDPI stays neutral with regard to jurisdictional claims in published maps and institutional affiliations. |
© 2021 by the author. Licensee MDPI, Basel, Switzerland. This article is an open access article distributed under the terms and conditions of the Creative Commons Attribution (CC BY) license (https://creativecommons.org/licenses/by/4.0/).
Share and Cite
Zaka Ullah, M. A New Inversion-Free Iterative Scheme to Compute Maximal and Minimal Solutions of a Nonlinear Matrix Equation. Mathematics 2021, 9, 2994. https://doi.org/10.3390/math9232994
Zaka Ullah M. A New Inversion-Free Iterative Scheme to Compute Maximal and Minimal Solutions of a Nonlinear Matrix Equation. Mathematics. 2021; 9(23):2994. https://doi.org/10.3390/math9232994
Chicago/Turabian StyleZaka Ullah, Malik. 2021. "A New Inversion-Free Iterative Scheme to Compute Maximal and Minimal Solutions of a Nonlinear Matrix Equation" Mathematics 9, no. 23: 2994. https://doi.org/10.3390/math9232994
APA StyleZaka Ullah, M. (2021). A New Inversion-Free Iterative Scheme to Compute Maximal and Minimal Solutions of a Nonlinear Matrix Equation. Mathematics, 9(23), 2994. https://doi.org/10.3390/math9232994

