Brownian Behavior in Coupled Chaotic Oscillators
Abstract
:1. Introduction
2. Stochastic Model
2.1. Modified Kuramoto Model
2.2. Langevin Dynamics of Two Coupled Chaotic Oscillators
2.3. Mean Angular Velocity and Diffusion Coefficient
3. Deterministic Model
3.1. Chaotic Phase Difference
3.2. Brownian-like Phase Diffusion
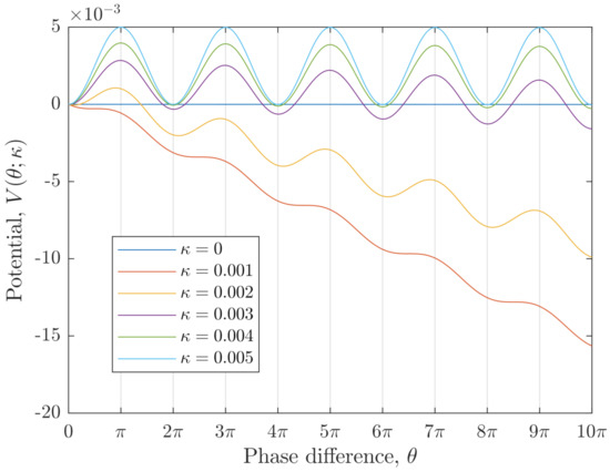
4. Biased Brownian Motion
4.1. Matching Both Models
4.2. Itô-Langevin Form
4.3. Numerical Simulations
5. Conclusions
Author Contributions
Funding
Institutional Review Board Statement
Informed Consent Statement
Data Availability Statement
Conflicts of Interest
References
- Einstein, A. Über die von der molekularkinetischen theorie der wärme geforderte bewegung von in ruhenden flüssigkeiten suspendierten teilchen. Ann. Der Phys. 1905, 322, 549–560. [Google Scholar] [CrossRef] [Green Version]
- von Smoluchowski, M. Zur kinetischen theorie der Brownschen molekularbewegung und der suspensionen. Ann. Der Phys. 1906, 326, 756–780. [Google Scholar] [CrossRef] [Green Version]
- Donsker, M.D. Justification and extension of Doob’s heuristic approach to the Kolmogorov- Smirnov theorems. Ann. Math. Stat. 1952, 23, 277–281. [Google Scholar] [CrossRef]
- Fisher, M.P.A.; Zwerger, W. Quantum Brownian motion in a periodic potential. Phys. Rev. B 1985, 32, 6190–6206. [Google Scholar] [CrossRef] [PubMed]
- Huerta-Cuellar, G.; Jiménez-López, E.; Campos-Cantón, E.; Pisarchik, A.N. An approach to generate deterministic Brownian motion. Commun. Nonlinear Sci. Numer. Simul. 2014, 19, 2740–2746. [Google Scholar] [CrossRef]
- Pikovsky, A.; Kurths, J.; Rosenblum, M.; Kurths, J. Synchronization: A Universal Concept in Nonlinear Sciences; Cambridge University Press: Cambridge, UK, 2003. [Google Scholar]
- Pazó, D.; Mariño, I.P.; Pérez-Villar, V.; Pérez-Muñuzuri, V. Transition to chaotic phase synchronization through random phase jumps. Int. J. Bifurc. Chaos 2000, 10, 2533–2539. [Google Scholar] [CrossRef] [Green Version]
- Pisarchik, A.N.; Huerta-Cuellar, G.; Kulp, C.W. Statistical analysis of symbolic dynamics in weakly coupled chaotic oscillators. Commun. Nonlinear Sci. Numer. Simul. 2018, 62, 134–145. [Google Scholar] [CrossRef]
- Kuramoto, Y. International symposium on mathematical problems in theoretical physics. Lect. Notes Phys. 1975, 30, 420. [Google Scholar]
- Zakharova, A.S.; Vadivasova, T.E.; Anishchenko, V.S. Spectral-correlation analysis of coupled chaotic self-sustained oscillators. Int. J. Bifurc. Chaos 2008, 18, 2877–2882. [Google Scholar] [CrossRef]
- Kubo, R.; Toda, M.; Hashitsume, N. Statistical Physics II: Nonequilibrium Statistical Mechanics; Springer Science & Business Media: Berlin, Germany, 2012. [Google Scholar]
- Fujisaka, H.; Yamada, T.; Kinoshita, G.; Kono, T. Chaotic phase synchronization and phase diffusion. Phys. D Nonlinear Phenom. 2005, 205, 41–47. [Google Scholar] [CrossRef]
- Kye, W.H.; Lee, D.S.; Rim, S.; Kim, C.M.; Park, Y.J. Periodic phase synchronization in coupled chaotic oscillators. Phys. Rev. E 2003, 68, 025201. [Google Scholar] [CrossRef] [PubMed] [Green Version]
- Pikovsky, A.; Rosenblum, M.; Kurths, J. Phase synchronization in regular and chaotic systems. Int. J. Bifurc. Chaos 2000, 10, 2291–2305. [Google Scholar] [CrossRef]
- Rosenblum, M.G.; Pikovsky, A.S.; Kurths, J. Phase Synchronization of Chaotic Oscillators. Phys. Rev. Lett. 1996, 76, 1804–1807. [Google Scholar] [CrossRef] [PubMed]
- Boccaletti, S.; Pisarchik, A.N.; Genio, C.I.D.; Amann, A. Synchronization: From Coupled Systems to Complex Networks; Cambridge University Press: Cambridge, UK, 2018. [Google Scholar]
- Alves, S.B.; de Oliveira, G.F.; de Oliveira, L.C.; Passerat de Silans, T.; Chevrollier, M.; Oriá, M.; de, S.; Cavalcante, H.L.D. Characterization of diffusion processes: Normal and anomalous regimes. Phys. A Stat. Mech. Its Appl. 2016, 447, 392–401. [Google Scholar] [CrossRef]
- Gaspard, P.; Briggs, M.E.; Francis, M.K.; Sengers, J.V.; Gammon, R.W.; Dorfman, J.R.; Calabrese, R.V. Experimental evidence for microscopic chaos. Nature 1998, 394, 865–868. [Google Scholar] [CrossRef]
- Borland, L. Ito-Langevin equations within generalized thermostatistics. Phys. Lett. A 1998, 245, 67–72. [Google Scholar] [CrossRef]
- Lindner, B.; Kostur, M.; Schimansky-Geier, L. Optimal diffusive transport in a tilted periodic potential. Fluct. Noise Lett. 2001, 1, R25–R39. [Google Scholar] [CrossRef]
- Särkkä, S.; Solin, A. Applied Stochastic Differential Equations; Cambridge University Press: Cambridge, UK, 2019. [Google Scholar]
- Pisarchik, A.N.; Feudel, U. Control of multistability. Phys. Rep. 2014, 540, 167–218. [Google Scholar] [CrossRef]
- Shabunin, A.V. Phase multistability in a dynamical small world network. Chaos 2015, 25, 013109. [Google Scholar] [CrossRef] [PubMed]











Publisher’s Note: MDPI stays neutral with regard to jurisdictional claims in published maps and institutional affiliations. |
© 2021 by the authors. Licensee MDPI, Basel, Switzerland. This article is an open access article distributed under the terms and conditions of the Creative Commons Attribution (CC BY) license (https://creativecommons.org/licenses/by/4.0/).
Share and Cite
Martín-Pasquín, F.J.; Pisarchik, A.N. Brownian Behavior in Coupled Chaotic Oscillators. Mathematics 2021, 9, 2503. https://doi.org/10.3390/math9192503
Martín-Pasquín FJ, Pisarchik AN. Brownian Behavior in Coupled Chaotic Oscillators. Mathematics. 2021; 9(19):2503. https://doi.org/10.3390/math9192503
Chicago/Turabian StyleMartín-Pasquín, Francisco Javier, and Alexander N. Pisarchik. 2021. "Brownian Behavior in Coupled Chaotic Oscillators" Mathematics 9, no. 19: 2503. https://doi.org/10.3390/math9192503
APA StyleMartín-Pasquín, F. J., & Pisarchik, A. N. (2021). Brownian Behavior in Coupled Chaotic Oscillators. Mathematics, 9(19), 2503. https://doi.org/10.3390/math9192503

