Analysis of MAP/PH/1 Queueing System with Degrading Service Rate and Phase Type Vacation
Abstract
:1. Introduction
- All bold-faced letters will indicate either row or column vectors which will be clear from context.
- e is the column vector with 1’s, of appropriate dimension. Where clarifications on the dimensions are needed, we will indicate accordingly.
- is a column vector of dimension m with all but one entries are zero and the nonzero entry in the ith position is taken to be 1. That is, where the notation ‘t’ denotes the transpose notation.
- I is the identity matrix of appropriate order.
2. Model with Degradation Restored Instantaneously ()
2.1. Generator of the Model
- is the number of customers in the system,
- is the phase of service, if any,
- is the phase of arrival process.
- is the type of service, if any.
2.2. Stability Analysis
2.3. Steady-State Probability Vector
2.4. Performance Measures
- Mean number of the customers in the system
- Mean waiting time of the customer in the system .
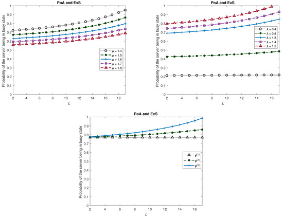
- Probability of the server being in busy state .
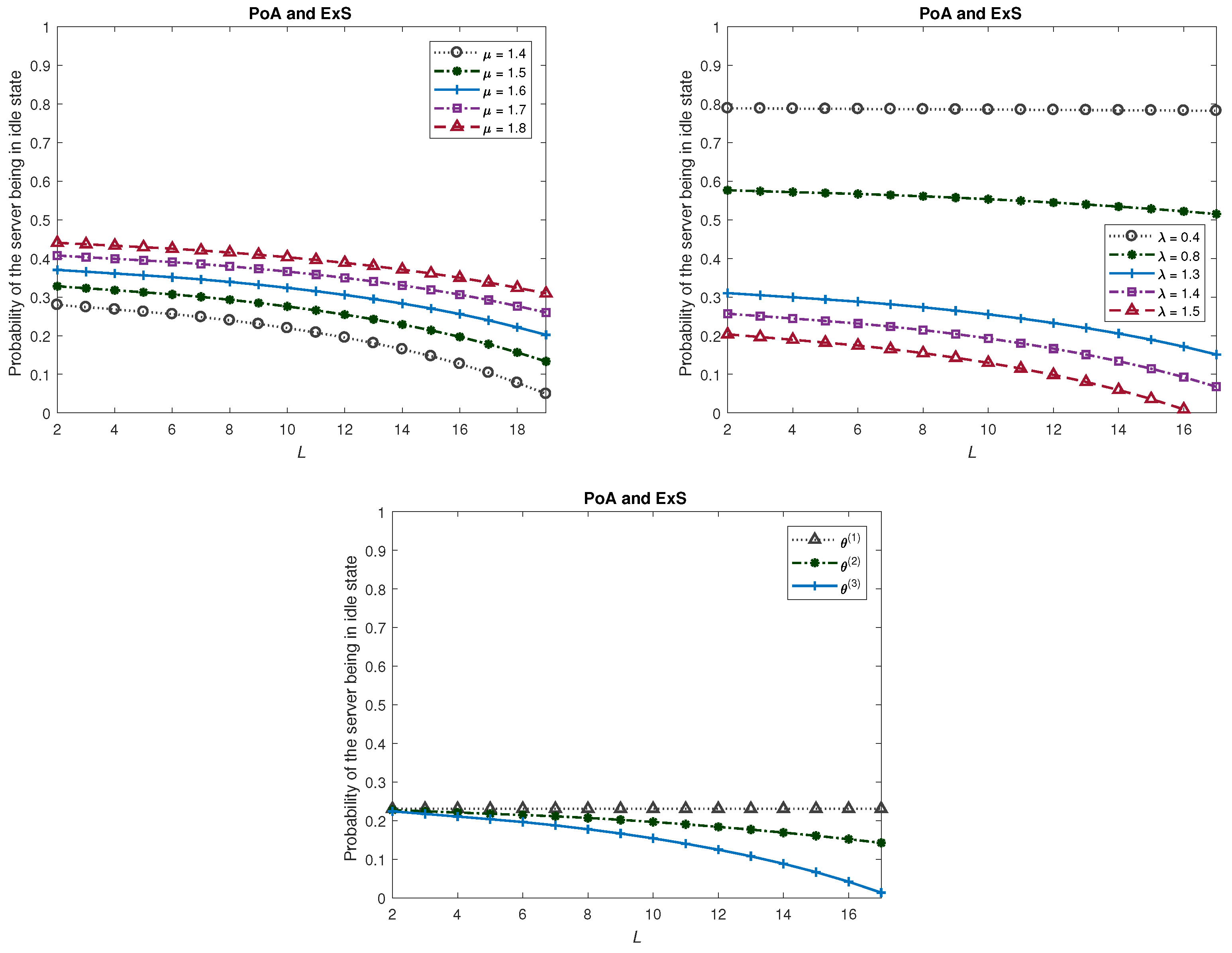
- Probability of the server being in idle state .
3. Model with Degradation Restored after a Random Time (a.k.a. Vacation)—
3.1. Generator of the Model
- is the number of customers in the system,
- is the phase of vacation or service depending on the server being idle or busy,
- is the phase of arrival process,
- is the type of service when the server is busy.
3.2. Stability Analysis
3.3. Steady-State Probability Vector
3.4. Performance Measures
- Mean number of customers in the system
- Mean waiting time of the customer in the system
- Probability of the server being in busy state
- (a)
- Probability of the server being on vacation with no customer in the system
- (b)
- Probability of the server being on vacation with at least one customer in the system
- (c)
- Probability of the server being on vacation
4. Numerical Examples
- (i)
- —This is the Erlang distribution of order 5 for the arrival process. Here
- and .
- The standard deviation for this process is 0.4472.
- (ii)
- —This is the exponential distribution for the arrival process for which
- and .
- The standard deviation for this process is 1.
- (iii)
- —This is the hyperexponential distribution for the arrival process for which
- and .
- The standard deviation for this process is 4.5787.
- (iv)
- —It is the negatively correlated distribution for the arrival process, for which
- and .
- The standard deviation for this process is 1.0392 and since this arrival process is correlated, it can be verified that the 1-lag correlation is given by −0.3267.
- (v)
- —It is the positively correlated distribution for the arrival process, for which
- and .
- The standard deviation for this process is 1.0392 and here the 1-lag correlation is given by 0.3267.
- (i)
- Erlang distribution (E). For this.
- (ii)
- Exponential distribution (X). For thisand .
- (iii)
- Hyperexponential distribution (H). For thisand .
- ,
- .
- As is to be expected, the mean number of customers in the system increases as L is increased. This is due to the fact that as L is increased, the rate of service is decreased and thus an increase in the mean number of customers in the system. However, the rate of increase (as a function of L) is higher as is decreased.
- increases as the arrival rate is increased. Furthermore, the rate of increase of (with respect to L) is higher as is increased.
- The server will be more busy if there are more customers in the system and so is the measure . Also, an increase in L and in will result in an increase in and similarly an increase in will decrease the measure .
- Obviously, a higher degradation in the services provided will lead to the server being more busy and this is seen in the measure .
- Both the degradation and the corresponding classical vacation models have almost the same mean number of customers in the system, and also follow the same pattern as we change the service and vacation processes.
- Furthermore, the positively correlated arrival process gives the highest mean number of customers among all the considered arrival processes which reflects the role of correlation.
- The hyperexponential service gives more mean number of customers than the Erlang and exponential service.
- Erlang, exponential, and negatively correlated arrivals have the same pattern as the service and the vacation processes are varied. Similarly, the hyperexponential and positively correlated arrivals have the same pattern.
- For the negatively correlated arrivals, as the magnitude of the correlation coefficient decreases, the mean number of costumers in the system increases.
- For the positively correlated arrivals, as the magnitude of correlation coefficient increases, the mean number in the system increases.
- Furthermore, the effect of the positively correlated arrivals is seen more than the negatively correlated arrivals as the magnitude of the correlation is varied.
- For the mean number of customers in the system :
- decreases if there is an increase in as well as in .
- An increase in results in an increase in .
- More degradation in the service rate will result in a higher value for .
- An increase in L will decrease the initially but after a certain point we notice an increase in . The value of L for which the is smallest depends on all the system parameters.
- For the probability of the server being in busy state :
- An increase in will decrease the probability, , but an increase in increases .
- The more degradation is present in the services, the busier the server is.
- The parameter has a negligible effect on as compared to other parameters. However, an increment in will decrease the .
- Increment in L will increase the .
- The probability of the server being in vacation state () behaves opposite to the as the system parameters are varied.
5. Conclusions
Author Contributions
Funding
Institutional Review Board Statement
Informed Consent Statement
Conflicts of Interest
References
- Ejaz, I.; Alvarado, M.; Gautam, N.; Gebraeel, N.; Lawley, M. Condition-based maintenance for queues with degrading servers. IEEE Trans. Autom. Sci. Eng. 2019, 16, 1750–1762. [Google Scholar] [CrossRef]
- Doshi, B.T. Queueing systems with vacations—A survey. Queueing Syst. 1986, 1, 29–66. [Google Scholar] [CrossRef]
- Tian, N.; Zhang, Z.G. Vacation Queueing Models: Theory and Applications; Springer Publishers: New York, NY, USA, 2006. [Google Scholar]
- Servi, L.; Finn, S. M/M/1 queue with working vacations (M/M/1/WV). Perform. Eval. 2002, 50, 41–52. [Google Scholar] [CrossRef]
- Kim, J.; Choi, D.; Chae, K. Analysis of queue-length distribution of the M/G/1 queue with working vacations. In Proceedings of the Hawaii International Conference on Statistics and Related Fields, Honolulu, HI, USA, 5–8 June 2003. [Google Scholar]
- Baba, Y. Analysis of a GI/M/1 queue with multiple working vacations. Oper. Res. Lett. 2005, 33, 201–209. [Google Scholar] [CrossRef]
- Li, J.; Tian, N. The M/M/1 queue with working vacations and vacation interruptions. J. Syst. Sci. Syst. Eng. 2007, 16, 121–127. [Google Scholar] [CrossRef]
- Chakravarthy, S.R. A multi-server synchronous vacation model with thresholds and a probabilistic decision rule. Eur. J. Oper. Res. 2007, 182, 305–320. [Google Scholar] [CrossRef]
- Chakravarthy, S.R. Analysis of a multi-server queue with Markovian arrivals and synchronous phase type vacations. Asia-Pac. J. Oper. Res. 2009, 26, 85–113. [Google Scholar] [CrossRef]
- Tian, N.; Li, J.; Zhang, Z.G. Matrix-analytic method and working vacation queues—A survey. Int. J. Inf. Manag. Sci. 2009, 20, 603–633. [Google Scholar]
- Zhang, M.; Hou, Z. Performance analysis of MAP/G/1 queue with working vacations and vacation interruption. Appl. Math. Model. 2011, 35, 1551–1560. [Google Scholar] [CrossRef] [Green Version]
- Chakravarthy, S.R. Analysis of a multi-server queueing model with vacations and optional secondary services. Math. Appl. 2013, 41, 127–151. [Google Scholar] [CrossRef]
- Chakravarthy, S.R. Analysis of MAP/PH1, PH2/1 queue with vacations and optional secondary services. Appl. Math. Model. 2013, 37, 8886–8902. [Google Scholar] [CrossRef]
- Sreenivasan, C.; Chakravarthy, S.R.; Krishnamoorthy, A. MAP/PH/1 queue with working vacations, vacation interruptions and N policy. Appl. Math. Model. 2013, 37, 3879–3893. [Google Scholar] [CrossRef]
- Alfa, A. Some decomposition results for a class of vacation queues. Oper. Res. Lett. 2014, 42, 140–144. [Google Scholar] [CrossRef]
- Yang, D.-Y.; Wu, C.-H. Cost-minimization analysis of a working vacation queue with N-policy and server breakdowns. Comput. Ind. Eng. 2015, 82, 151–158. [Google Scholar] [CrossRef]
- Chakravarthy, S.R.; Shruti; Kulshrestha, R. A queueing model with server breakdowns, repairs, vacations, and backup server. Oper. Res. Perspect. 2020, 7, 100131. [Google Scholar] [CrossRef]
- Jain, M.; Dhibar, S.; Sanga, S.S. Markovian working vacation queue with imperfect service, balking and retrial. J. Ambient. Intell. Humaniz. Comput. 2021, 1–17. [Google Scholar] [CrossRef]
- Chakravarthy, S.R. A Comparative Study of Vacation Models Under Various Vacation Policies: A Simulation Approach. In Mathematical Modeling and Computation of Real-Time Problems; CRC Press: Boca Raton, FL, USA, 2021; pp. 3–20. [Google Scholar]
- Marcus, M.; Minc, H. Survey of Matrix Theory and Matrix Inequalities; Allyn and Bacon: Boston, MA, USA, 1964. [Google Scholar]
- Steeb, W.H.; Hardy, Y. Matrix Calculus and Kronecker Product: A Practical Approach to Linear and Multilinear Algebra; World Scientific Publishing: Singapore, 2011. [Google Scholar]
- Neuts, M.F. A versatile Markovian point process. J. Appl. Probab. 1979, 16, 764–779. [Google Scholar] [CrossRef]
- Neuts, M.F. Probability distributions of phase type. Liber Amicorum Prof. Emeritus H. Florin, Dept. Math. Univ. Louvain, Belgium 1975, 173–206. [Google Scholar]
- Lucantoni, D.M.; Meier-Hellstern, K.S.; Neuts, M.F. A single server queue with server vacations and a class of non-renewal arrival processes. Adv. Appl. Probab. 1990, 22, 676–705. [Google Scholar] [CrossRef]
- Chakravarthy, S.R. The batch Markovian arrival process: A review and future work. In Advances in Probability Theory and Stochastic Processes; Krishnamoorthy, A., Raju, N., Ramaswami, V., Eds.; Notable Publications Inc.: Princeton, NJ, USA, 2001; pp. 21–39. [Google Scholar]
- Artalejo, J.R.; Gomez-Corral, A. Markovian arrivals in stochastic modelling: A survey and some new results (invited article with discussion: Rafael Perez-Ocaon, Miklos Telek and Yiqiang Q. Zhao). SORT Stat. Oper. Res. Trans. 2010, 34, 101–156. [Google Scholar]
- Chakravarthy, S.R. Markovian Arrival Process. Wiley Encyclopedia of Operations Research and Management Science. 2010. Available online: https://onlinelibrary.wiley.com/doi/abs/10.1002/9780470400531.eorms0499 (accessed on 15 June 2010).
- Basharin, G.; Naumov, V.; Samouylov, K. On Markovian modelling of arrival processes. Stat. Pap. 2018, 59, 1533–1540. [Google Scholar] [CrossRef]
- He, Q.M. Fundamentals of Matrix-Analytic Methods; Springer: New York, NY, USA, 2014. [Google Scholar]
- Dudin, A.N.; Klimenok, V.I.; Vishnevsky, V.M. The Theory of queueing Systems with Correlated Flows; Springer: Cham, Switzerland, 2020. [Google Scholar] [CrossRef]
- Neuts, M.F. Matrix-Geometric Solutions in Stochastic Models: An Algorithmic Approach; Johns Hopkins University: Baltimore, MD, USA, 1981. [Google Scholar]








| Model | Processes | |||
|---|---|---|---|---|
| Classical model | NeA, ErS | 2.22305 | 0.790528 | 0.206349 |
| NeA, HyS | 58.92956 | 0.82926 | 0.206349 | |
| PoA, ErS | 24.16811 | 0.791647 | 0.206349 | |
| PoA, HyS | 82.19010 | 0.848347 | 0.206349 | |
| Model 1 | NeA, ErS | 2.07631 | 0.762403 | 0.237597 |
| NeA, HyS | 60.92105 | 0.779311 | 0.220689 | |
| PoA, ErS | 23.63030 | 0.773938 | 0.226062 | |
| PoA, HyS | 84.05024 | 0.782954 | 0.217046 | |
| Model 2 | NeA, ErS | 2.45311 | 0.768110 | 0.231890 |
| NeA, HyS | 71.03092 | 0.781503 | 0.218497 | |
| PoA, ErS | 26.56992 | 0.777106 | 0.222894 | |
| PoA, HyS | 96.61144 | 0.784809 | 0.215191 |
Publisher’s Note: MDPI stays neutral with regard to jurisdictional claims in published maps and institutional affiliations. |
© 2021 by the authors. Licensee MDPI, Basel, Switzerland. This article is an open access article distributed under the terms and conditions of the Creative Commons Attribution (CC BY) license (https://creativecommons.org/licenses/by/4.0/).
Share and Cite
Choudhary, A.; Chakravarthy, S.R.; Sharma, D.C. Analysis of MAP/PH/1 Queueing System with Degrading Service Rate and Phase Type Vacation. Mathematics 2021, 9, 2387. https://doi.org/10.3390/math9192387
Choudhary A, Chakravarthy SR, Sharma DC. Analysis of MAP/PH/1 Queueing System with Degrading Service Rate and Phase Type Vacation. Mathematics. 2021; 9(19):2387. https://doi.org/10.3390/math9192387
Chicago/Turabian StyleChoudhary, Alka, Srinivas R. Chakravarthy, and Dinesh C. Sharma. 2021. "Analysis of MAP/PH/1 Queueing System with Degrading Service Rate and Phase Type Vacation" Mathematics 9, no. 19: 2387. https://doi.org/10.3390/math9192387
APA StyleChoudhary, A., Chakravarthy, S. R., & Sharma, D. C. (2021). Analysis of MAP/PH/1 Queueing System with Degrading Service Rate and Phase Type Vacation. Mathematics, 9(19), 2387. https://doi.org/10.3390/math9192387

