Next Article in Journal
An Improved Genetic Algorithm for the Optimal Distribution of Fresh Products under Uncertain Demand
Next Article in Special Issue
Heteroscedasticity and Precise Estimation Model Approach for Complex Financial Time-Series Data: An Example of Taiwan Stock Index Futures before and during COVID-19
Previous Article in Journal
The Influence of Liquidity and Solvency on Performance within the Healthcare Industry: Evidence from Publicly Listed Companies
Previous Article in Special Issue
Profiting on the Stock Market in Pandemic Times: Study of COVID-19 Effects on CESEE Stock Markets
 
 
Font Type:
Arial Georgia Verdana
Font Size:
Aa Aa Aa
Line Spacing:
Column Width:
Background:
Article

Contribution of the Optimization of Financial Structure to the Real Economy: Evidence from China’s Financial System Using TVP-VAR Model

1
School of Economics, Ocean University of China, Qingdao 266100, China
2
School of Management Science and Engineering, Shandong University of Finance and Economics, Jinan 250014, China
3
Ocean Development Research Institute, Major Research Base of Humanities and Social Sciences of Ministry of Education, Ocean University of China, Qingdao 266100, China
*
Author to whom correspondence should be addressed.
Mathematics 2021, 9(18), 2232; https://doi.org/10.3390/math9182232
Submission received: 23 August 2021 / Revised: 6 September 2021 / Accepted: 8 September 2021 / Published: 11 September 2021
(This article belongs to the Special Issue Mathematical and Statistical Methods Applications in Finance)

Abstract

How the financial structure promotes the development of real economy has always been a research topic in academia. By analyzing the characteristics of China’s financial system, this paper constructs the Finance Structure Index (FSI) from the perspectives of structural efficiency, financing structure and industry structure, and interprets the trend of the FSI. Based on the quarterly data of China from 2004 to 2020, this paper constructs a time-varying parameter-vector autoregression (TVP-VAR) model to study the dynamic impact of finance structure on the growth and optimization of the structure of the real economy. The empirical analysis results show that the response of the real economy has time-varying characteristics. Early on, financial structure has a promotion effect on the scale of the real economy, but the impact on the structure is not clear. In the middle, the effect of promoting the scale decreases slightly and then rebounds rapidly, while the optimization of the structure is inhibited. Later, it has a significant promoting effect and an obvious time-lag effect. Moreover, the impact of the financial structure is unstable. It is necessary to improve the efficiency and quality of the transmission of the optimization of the financial structure to the real economy.

1. Introduction

There is no doubt about the achievements of China’s rapid economic development. The structure of China’s real economy has shifted from labor intensive to capital and technology intensive [1]. If China wants to realize the sustainable development of the real economy, it is necessary to improve economic and allocation efficiency [2]. The optimization and upgrading of the structure of China’s real economy is the only way to do this. Under certain conditions, financial development promotes economic growth. However, it cannot promote the upgrading of the structure of the real economy and realize the long-term development of the real economy if it only relies on the growth of the finance scale [3]. Financial development is a broad concept. From the perspective of capital value and credit, the finance structure of a country reflects its economic structure. Therefore, the exploration of ways for financial development to promote the development of real economy must also start with the finance structure [4]. Exploring how the finance structure affects the optimization of the structure of the real economy is the key to improving the development potential of the real economy [5].
Finance can promote the development of the real economy and the upgrading of the structure of the real economy. This process raises several questions: What contribution does the transformation of the finance structure make to the real economy [6]? How is the relationship between finance and real economy coordinated to promote the optimal growth of real economy [7]? Does the effect of the expansion of finance scale and the change of finance structure on the real economy always promote its long-term development [8]? What are the characteristics of the effects [9,10]? In order to explore these problems, this paper mainly refers to the research results of finance structure and economic structure; finance structure and economic growth; and then discusses the relationship between finance structure and real economy. There are a lot of academic results on finance and economic growth [11], and finance and economic structure, but relatively few results on the relationship between finance structure and real economy.
The core goal of financial development is service economy, and the studies of finance structure ultimately follow this goal. In accordance with the optimal finance structure theory, scholars have carried out a multi-faceted exploration. A review of relevant literature shows that some scholars support the financial market-led finance structure [12,13,14,15], and some scholars support the bank-led finance structure [16,17,18,19]. Some scholars believe that a sound financial market environment and perfect laws and regulations are the premise for finance to play an effective role [20,21,22,23,24,25,26]. Some scholars focus on the impact of digital finance on economic growth [27,28], some on the impact of financial intermediation on the real sector [29], and some on the impact of different financial sectors on the economy [30,31]. Ergungor [8] found that there is a nonlinear (contingent) relationship between growth and financial structure using a two-stage regression model, and countries that have an inflexible judicial system grow faster when they have a more bank-oriented financial system. Many scholars have also studied the interaction between financial models and the macro economy [32].
Many scholars studied how the transformation and diversity of financial structure would affect the economy [33]. Deidda and Fattouh [3] suggest that both bank and stock market development have a positive effect on growth, and the change from a bank-based system to one in which market finance and bank finance coexist might have an adverse effect on economic growth. Milberg [34] discusses the impact of finance on real economy from the perspective of financial crisis, and how the financialization of enterprises has changed the relation between stock prices and innovation, with adverse consequences for the growth of economies. Mazzucato [4] argues for the return of finance to serve the real economy, and that it is fundamental to de-financialize companies in the real economy and think clearly how to structure finance. Polzin [5] proposes that higher diversity and resilience in financial markets is complementary and perhaps even instrumental to engineer the transition of the real economy. Structural matching between finance and the real economy can promote economic growth [6,7,35,36]. Economic transformation is also inseparable from economic development. Many scholars have studied the relationship between economic structure and economic development. Saviotti [37,38] argues that structural change is not considered an epiphenomenon of economic development but one of its fundamental mechanisms. Freire [39] concluded that economic diversification, such as structural transformation, is relevant for poorer developing countries to foster economic development. There are more complex potential links between sectoral production structure and sustainable development [36,40,41].
Different countries have different financial systems, so the study of finance structure should be combined with the corresponding characteristics of a country, such as resource endowment and financial system [42,43,44]. Tadesse [45] examines the relation between the architecture of an economy’s financial system and economic performance in the real sector and finds that different types of economies behave differently, and that the proper financial system itself may be a source of value. Karwowski [46] believes that market-based financial systems are more financialized, and financialization plays out differently across economic sectors and countries. A large number of studies have shown that there are national differences in the relationship between finance structure and economic growth [12,47,48,49], so it is necessary to conduct a special study on China’s situation. There are other scholars who examine the role of different financial systems at different economic stages. Some scholars contribute to the literature on financial system design by comparing markets and banks in a dynamic economy using a dynamic panel framework [46,47]. Some review the relationship between finance and growth considering its non-linear impact and discuss the impact on growth in mature financial systems [50,51]. There is also a view that literature has exaggerated the size of the finance growth effect in the past, and points to a positive but decreasing effect of financial development on growth and supports the hypothesis of financial supportive excess [52].
At present, studies begin to describe the dynamic relationship between finance and economy, using the dynamic panel model [10,48], ARDL bounds testing approach [53], cross-country growth regression [47], CoVaR approach [24], and TVPSS [54], etc. In view of this, this paper summarizes the research results and methods used by scholars, and then further analyzes and characterizes the time-varying characteristics of the dynamic influence of finance structure on the scale and structure of real economy. The contribution of this paper is mainly embodied in: Firstly, the finance structure index is constructed to analyze and describe the evolution and characteristics of China’s finance structure in recent years. Then, the time-varying parameter-vector autoregression model (TVP-VAR) is constructed to describe the time-varying characteristics of the impact of finance structure on the scale and structure dynamics of the real economy. Because the impact of the finance scale on the real economy cannot be ignored, this paper also takes the finance scale as an influence variable into the model for empirical analysis. It is verified that the optimization of finance structure in China has different effects on the scale and structure of the real economy, and the dynamic impact presents significant time-varying characteristics, and the finance scale also has similar conclusions. The empirical results also show that the impact amplitude of the finance structure on the real economy is in a relatively unstable state. Accordingly, some suggestions are put forward for the current financial market [24,27], finance environment [4], and financial regulatory system [8] in China.

2. Theoretical Basis and Transmission Mechanism

In essence, the scale growth and structural upgrading of the real economy refer to the process of the optimized allocation of economic resources within the real economy, and the flow of production factors such as labor, capital and technology among different industries and departments within the real economy, resulting in changes in the output structure of the real economy [55,56]. This reallocation of resources is reflected in the transfer and flow of funds and personnel.
In the current financial economy, the financial sector can realize the dynamic allocation of capital among different industrial sectors. Optimizing capital allocation and improving the flow efficiency to serve the real economy are the functions and objectives of the multi-level financial market. The transmission mechanism of the financial sector to promote the development of the real economy and optimize the structure of the real economy is complex, and can be divided into the following two stages.
The first stage is when the real economy is in the factor-driven stage. The economy is just starting, and all sectors of the real economy are short of funds. Financial development can improve the efficiency of capital flows and accelerate the accumulation of capital. The expansion of the financial sector can offer more funds for the real economy, which promotes the expansion of various sectors of real economy [57], attracting more inflows of production factors such as capital, labor and technology, which will further promote industrial upgrading and expansion, forming a virtuous circle.
The second stage is the efficiency-driven stage. With the development of the real economy, economy has gradually shifted from the factor-driven stage to the efficiency-driven stage, and even gradually to the innovation-driven stage [13,15]. At these stages, capital is no longer the core factor of production, and innovation and research play a more critical driving role. The driving factors of the development of the real economy have changed, and the development of each industrial sector needs to improve its capacity of technological research and development and innovation level, which inevitably requires a multi-level financial supply and higher efficiency of capital allocation. At this stage, if the financial sector pursues scale expansion without paying attention to the development of diversified financial products to improve the quality of financial services and improve the efficiency of capital allocation, it will worsen the pattern of capital allocation and hinder the flow of financial resources to innovative industries with high added value, thus slowing down the upgrading of structure and the benign expansion of the real economy [58].
For second-stage economies, the real sector can be better served by a financial system that is appropriate to the stage of economy. First, the reasonably widespread scale of finance can provide the necessary financial resources, such as funds for the real economy, to ensure that the real economy can further pursue the improvement of its capacity of research, development and innovation levels [59]. Second, the optimization of finance structure, for example, a variety of financial instruments, multi-channel financing sources, high coverage of branches of financial institutions, and financial services with high quality, can speed up financing and improve financing efficiency. The flexible and efficient operation of the financial system can increase the speed of capital flows and alleviate the shortage of funds for the rapid development of the real economy [60]. Moreover, the optimization of finance structure can also attract more financial resources. The emergence of diversified new financial instruments or products can meet the investment needs of different investors, attractring more idle funds to flow into the real sector through the financial sector [61]. Third, the upgrading of finance structure can influence the financing structure of different sectors and change the efficiency with which savings are converted into investments. Each sector of the real economy can choose the appropriate financing channels or methods based on its own needs, promoting the efficient allocation of capital from low to high value-added sectors to realize the restructuring and upgrading of the real economy. The financial system that does not match the real economy is mainly manifested as an insufficient scale of finance or an excessive structural transformation, which leads to financial restraint or financial bubbles. It’s not only detrimental to the deepening of financial sector, but also to the long-term development of the real economy and the optimization of its structure [62,63].

3. Construction of Finance Structure Index

This section describes the construction method of China’s financial structure index, data sources and processing, and analyzes the calculation results.

3.1. Index Setting

In recent years, there has been more research on the impact of finance structure on real economy or industry, and many scholars have constructed the finance structure index conforming to China’s financial system [6,9,54,63,64]. This paper chooses the comprehensive index method [65] to construct the finance structure index, which can choose the indicators highly related to the finance structure, so as to better describe the current structure of China’s financial system. The model is as follows:
FS t = i = 1 n ω i Y it ,
where FSt is the finance structure index at time t, Yit is the ith index at time t, and ω is the weight.
Based on the above analysis of the financial structure and the current situation of China’s financial system, this paper selects the basic indicators to measure the finance structure from three aspects. First, there is measuring the ability of operational efficiency of the financial sector, such as the loan-to-deposit ratio of financial institutions and the ratio of non-non-performing loans of commercial banks. The loan-to-deposit ratio of financial institutions refers to the lending capacity of Chinese financial institutions, as measured by the ratio of the outstanding loans of financial institutions to the outstanding deposits at that point in time [62,66]. The non-non-performing loan ratio of commercial banks evaluates the quality of loans issued by financial institutions on the whole and measures the current investment, financing and credit environment in China. The calculation method is the proportion of non-non-performing loans of financial institutions in the total loan balance [67]. Second, there is the financing structure of the real economy, such as the structure of the financing tool, source and channel. The structure of the financing tool measures the ratio of stocks or bonds that an enterprise chooses to issue when financing directly from the financial market [55]. The structure of the financing channel measures the choice of direct financing through the financial market or indirect financing through bank loans [68]. The structure of the financing source refers to the source of funds, as measured by the ratio of the total market value of B-shares in foreign currency to A-shares in RMB [62]. Third, there is the structure of each financial industry in the financial system, such as the dispersity of banking industry, structure of the securities market and the insurance market. The dispersity of banking industry measures the development of small- and medium-sized commercial banks in China and is calculated by the ratio of the total assets of non-large commercial banks to the total assets of the banking industry [64]. The structure of the securities market measures the development of the Small and Medium Enterprise (SMEs) Board, Growth Enterprise Market (GEM) Board and New OTC (Over-the-Counter) Market in China by the ratio of their market value to the Main Board Market [66]. The insurance structure measures the development of China’s insurance industry, calculated by the ratio of premium revenue to total financial assets [66].
The basic indicators of finance structure in this paper are shown in Table 1. The data period is from the first quarter of 2004 to the third quarter of 2020, mainly reflecting the structure of China’s financial system. Data were obtained from China Banking and Insurance Regulatory Commission, National Bureau of Statistics of China and Wind database.
In order to eliminate the influence brought on by dimension, this paper selects the averaging method to perform dimensionless processing of the original data of each index, that is, data standardization. It is assumed that the value of the ith basic index of the finance structure index system at time t is Xit, the data is averaged according to Equation (2), and Yit is the standardized index data:
Y it = X it 1 / T t = 1 T X it
The weight of each index is calculated by the entropy evaluation method [62]. The entropy method calculates the weight of each index by using the degree of difference within each index value and determines its weight according to the correlation degree and importance of each index, which can effectively avoid the deviation caused by subjective factors. The detailed steps for calculating index weight by using the entropy evaluation method are as follows.
First, change the specific gravity of the index:
P it = Y it t = 1 T Y it ,
where Yit is value of the ith standardized index of the finance structure index system at time t, i = 1, 2, …, n, t = 1, 2, …, T.
Second, calculate the entropy of each index:
E i = 1 ln T t T P it ln P it
Third, calculate the difference coefficient of the entropy value of each index. For the ith index, the greater the difference of index value Yit, the greater the effect on scheme evaluation, and the smaller the entropy value:
d i = 1 E i
Fourth, determine the entropy weight of each indicator. The smaller the entropy value of ith index is, the more orderly the sample data of ith index will be, the greater the difference between the sample data will be, the greater the ability to distinguish the evaluation object will be, and the corresponding weight will be larger:
ω i = d i i n d i

3.2. Descriptive Analysis of the Finance Structure Index

Using the entropy weighting method, the weight of each index can be obtained (see Table 2). The structure of the financial sector has the highest weight in the finance structure index system, with a specific gravity of 0.49. This suggests that changes to various industries in the financial sector have the greatest impact on the finance structure, especially the weight of the structure of the securities market, which is 0.33, the highest weight of any secondary grade index. It shows that the structure of the securities market in China has the greatest influence on the finance structure. The establishment and development of Small and Medium Enterprise (SMEs) Board, Growth Enterprise Market (GEM) Board and the New OTC (Over-the-Counter) Market have had a significant impact on China’s finance structure and promoted the optimization and upgrading of China’s finance system.
Second, the importance of the financing structure of the real economy to obtain funds from the financial system is a middle value, reaching 0.39, among which the structure of financing tools accounts for a high proportion, mainly because China’s securities market is gradually maturing and more enterprises choose to issue stocks or bonds and other direct financing methods.
Third, the efficiency factor has the lowest importance in the finance structure index system, indicating that the efficiency of China’s financial system is low which is mainly due to the impact of the loan-to-deposit ratio of financial institutions. The non-non-performing loan ratio of commercial banks has the smallest weight among all the secondary indicators.
China’s finance structure index from the first quarter of 2004 to the third quarter of 2020 are shown in Table 3. According to the principle of the entropy weighting method, the more orderly the sample data of the index is, the stronger the ability to distinguish the samples will be, so the corresponding weight will be larger. In a complete index system, the weight of each index can be any value in [0, 1], and the sum of the weights of all indicators is 1. The following main results can be obtained.
In general, China’s finance structure index shows an upward trend. It was at a low level in the early stage, ranging from 0 to 0.3, and began to rise in the later stage, fluctuating around 0.5, indicating that the financial system has constantly improved while the financial scale has expanded since 2004, and the finance structure has been continuously optimized and upgraded. The financial system is gradually transitioning from structurally poor to structurally sound. The realization of better coordination and the transmission of resources between the financial sector and the real economy are conducive to the realization of the financial sector’s function of serving the real economy and optimizing resource allocation.
From 2004 to 2020, the evolution trend of China’s finance structure index is shown in Figure 1. The evolution process can be divided into three stages. One is the fluctuation adjustment stage.
From 2004 to 2008, the finance structure index fluctuated significantly in the range of [0, 0.3], and was generally in a low range, which was related to China’s financial environment at that time. China’s financial openness was not high, and the financial system was far from perfect, which required constant adjustment to adapt to economic development. Second, there is the stable recovery stage.
From 2009 to 2014, the finance structure index was in a relatively stable stage with small fluctuations, and mainly showed a slow rising trend. Around 2008, China’s financial system was greatly influenced by the 2008 international financial crisis, and China’s finance structure index fluctuated greatly, with an overall significant decline. The development of the financial system slowed down, followed by a slow recovery in which adjustments were made to restore proper order to the financial markets. Third, there is the rapid development stage. Since 2015, the overall level of China’s financial environment has been greatly improved, and the finance structure index has risen rapidly, mainly due to the adjustment of the structure of securities industry. With the conversion system of SEMs to receive listing applications from enterprises nationwide, the New OTC Market has been gradually improved. China’s multi-tiered capital market system, including the Main board, GEM board, OTC trading network and property rights market, has been further improved, and China’s finance structure index has been significantly improved and maintained at a high range of [0.5, 0.6].

4. Mathematical Notations and the Model

This section begins by defining the notations and models used throughout the paper. Before constructing the time-varying parameter-vector autoregression (TVP-VAR) model, the correlation test of the selected variables was carried out, and the correlation between the variables was simply analyzed. Then, the TVP-VAR model was built on this basis of analyzing and describing the relationship between the variables in more detail.

4.1. Model

This paper refers to the TVP-VAR model set by Nakajima et al. (2011) [69]. Compared with the traditional VAR model, the TVP-VAR model can describe the time-varying characteristics of variables and capture the nonlinear relationship between variables. The standard VAR model is shown below:
Ay t = F 1 y t 1 + + F s y t s + μ t , t = s + 1 , , n ,
where, yt is the vector k × 1 composed of the observed variables, A, F1, ⋯; F s is the coefficient matrix of k × k; and μ t is the structural impact perturbation term of k × 1. Supposing that μ t ~ N ( 0 , ) , can be written as below:
= σ 1 0 0 0 σ 2 0 0 0 σ k
Let A be the lower triangular matrix, as shown below:
A = 1 0 0 a 21 1 0 0 a k 1 a k 2 1
Rewrite Equation (7) as below:
y t = B 1 y t 1 + + B s y t s + A 1 ε t ,
where B i = A 1 F i , i = 1 , , s , ε t ~ N 0 , I k . Then rewrite the accumulation of matrix Bi as k 2 s × 1 vector β, and define X t = I k y t 1 , , y t s , where is the Kronecker product, so rewrite Equation (10) as below:
y t = X t β + A 1 ε t
In order to meet time-varying requirements, the constant parameters of Equation (11) are rewritten as dynamic variables that vary with time, and then further extended to the representation of TVP-VAR model shown as Equation (12):
y t = X t β t + A t 1 t ε t , t = s + 1 , , n
Let a t = a 21 , a 31 , a 32 , a 41 , , a k , k 1 as the stack vector of the lower triangular matrix A t , and define h t = h 1 t , h 2 t , , h kt , h jt = log σ jt 2 , j = 1 , 2 , , k , t = s + 1 , , n . All parameters of Equation (12) are assumed to follow the following random walk process:
β t + 1 = β t + μ β t ,   α t + 1 = α t + μ α t ,   h t + 1 = h t + μ ht ,
ε t μ β t μ α t μ ht ~ N 0 , I β α h
where t = s + 1 , , n , β s + 1 ~ N μ β 0 , β 0 , α s + 1 ~ N μ α 0 , α 0 , h s + 1 ~ N μ h 0 , h 0 .
In this paper, MCMC (Markov Chain Monte Carlo) method was used to estimate the parameters, and the TVP-VAR package of Oxmetrics6.0 and Nakajima et al. (2011) was used to calculate the parameters.

4.2. Variable Selection and Data Description

The financial structure variable (FS) chooses the finance structure index measured above as the variable. The financial size variable (FIR) chooses the financial interrelation ratio (the ratio of financial assets to GDP) [62,64] as the representative variable, which reflects the relative development scale of finance and economy, making it more real to describe the correlation between finance and economy through the model. The real economy size variable (RE) is calculated by subtracting the added value of the finance and real estate industries from GDP [4,34]. The upgrading process of the structure of the real economy is the process in which the proportion of the secondary and tertiary industries in the real economy, or the proportion of the tertiary industry in the real economy, gradually increases. Therefore, the structure variable of the real economy (SRE) is measured by the ratio of the added value of the secondary and tertiary industries (except the finance and real estate industries) to the scale of the real economy [54]. As the data frequency and time span of each data are inconsistent, and the statistical values of some indicators in the fourth quarter of 2020 have not been published, this paper selects the quarterly data from the first quarter of 2004 to the third quarter of 2020 for analysis.
First, the selected raw data is processed. The financial structure variable (FS) is the finance structure index measured above, where no further processing is required. By observing the time variation trend chart of each variable, it is found that there is a seasonal trend of the financial size variable (FIR) and the real economy structure variable (SRE); this paper uses Eviews 8 to eliminate the seasonal trend of variables. Because the unit of measurement of the real economy size variable (RE) is inconsistent with the remaining three variables, this paper standardized the original data to eliminate the dimensional influence. The descriptive statistics of variables are shown in Table 4.
From Table 4, the average value of FS during the period of the sample is 0.270706; the extreme value is 0.572796. Combined with the above analysis of the changes in the content structure index, it can be seen that the structure of China’s financial system has been significantly optimized and improved in recent years, which is clearly better than the financial structure in the early 21st century. Compared with the financial structure variables, the extreme value difference and fluctuation range of the other three variables are relatively small, especially the standard deviation of SRE which is 0.014985, meaning that the added value of the secondary and tertiary industries (except the finance industry and the real estate industry) takes a relatively stable proportion in the real economy. From the perspective of total volume, the average value of RE is 1 and the maximum value is 2.047866, indicating that China’s real economy has developed well in recent years and has reached a relatively high development level. FIR also has a significant improvement from the minimum value of 7.961240 to the maximum value of 14.51547, which the financial scale has almost doubled, indicating that China’s finance sector has developed rapidly in recent decades, and the relative development of finance to economy has been rapidly improved. From the skewness and kurtosis values of all variables, it can be seen that, except for the SRE, the distribution of the other three variables is flat, indicating that there is little difference between the data of variables. From the JB statistics, only the FS conforms to the normal distribution (p-value is 0.58%).
The correlation analysis of the selected variable data is shown in Table 5. The correlation coefficient between all variables is greater than 0.7, indicating that the selected indicators of real economic scale and structure are strongly correlated with the financial structure and size indicators.
Before the demonstration, this paper conducts a stationarity test for each variable to avoid the “pseudo-regression” of non-stationary series. The stability of each variable was tested by the ADF method, and the test results (as shown in Table 6) showed that all variables were stationary sequences after first-order difference processing.
According to the LR, FPE, AIC, SC and HQ test criteria, the optimal lag order of the model is determined to be 1. Accordingly, the lag order of the co-integration test is determined to be 0. The result of the co-integration test (Table 7) shows that there is a co-integration relationship among variables at the 95% confidence level. It shows that there is a long-term and stable relationship between variables.
Trace test indicates 1 cointegrating eqn(s) at the 0.05 level. Meanwhile, the stability of the VAR model is tested. The result (Figure 2) shows that all unit roots of the VAR model fall within the unit circle, indicating that the VAR model with a lag of 1 period has passed the stability test. Therefore, the VAR model can be constructed for the four selected variables and the impulse response analysis can be carried out.

5. Discussion

5.1. Results of TVP-VAR Model

In this paper, the optimal lag order of the model was determined to be 1 according to the test criteria, and the parameters were set according to the method of Nakajima et al. (2011), and iterate 10,000 times using the MCMC algorithm. Parameter estimation results are shown in Table 8. Geweke statistics for all parameters fall within the 95% confidence interval, and the maximum invalid factor is about 109, indicating that the MCMC simulation of the TVP-VAR model achieves good estimation results.

5.2. Time-Varying Impulse Response Analysis of Different Lag Periods

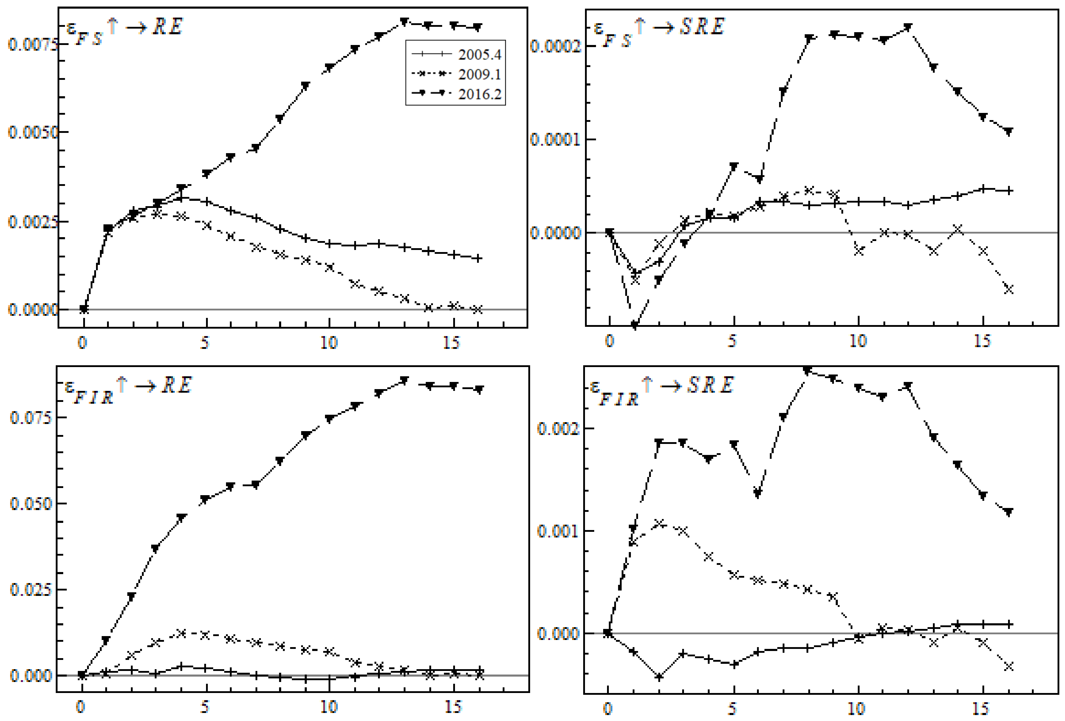
TVP-VAR model can use variable parameters to calculate the impulse response of each variable at all timepoints in different lag periods. Therefore, in this paper, 1, 3 and 6 lagging periods are selected to represent short-term, medium-term and long-term time constraints. The time-varying impulse response results of real economy scale (RE) and the structure of real economy (SRE) to financial structure (FS) and financial scale (FIR) are obtained (shown in Figure 3). The solid line, long dotted line and short dotted line represent the time-varying impulse response curves of one, three and six lag periods, respectively.
The response of real economy scale to the impact of financial scale and financial structure has significantly similar time-varying characteristics. Compared with other studies, scholars believe that the impact of the expansion of financial scale on the industrial structure presents an inverted U-shaped relationship, or other shapes [32,33,54,62], which is promoted first and then suppressed, while the empirical results of this paper show a more complex time-varying feature.
As shown in Figure 3a, before 2014 the impact of financial scale on the real economy scale was either positive or negative, and the degree of influence was not obvious compared with other years. The main reason for this was that the rapid development of China’s real estate industry before 2007 greatly crowded the financial resources of the real economy. The growth of financial scale in this period is mainly from the expansion of the real estate industry, rather than the rapid growth of the financial resources serving real economy. Although the adjustment of national policies played a role to some extent, the 2008 financial crisis swept the world and the turbulence of China’s financial system led to the rapid decline of the positive impact of financial scale shock on the real economy scale following a short rise, and reached the maximum negative impact in 2013. Since 2015, the response of the development of the real economy scale to the impact of the financial scale has been significantly strengthened. In 2018, the positive promotion effect is the most significant and strongest. In this period, the expansion of the financial scale can effectively promote the growth and development of the real economy. Moreover, the influence has a significant time lag effect; the expansion of the financial scale plays a more significant role in the long run.
Some scholars believe that there is a nonlinear influence relationship (from strong to weak) between financial structure and economy [3,8,34,63], which is different from the empirical results in this paper. The empirical results of this paper show that the impact of the financial structure will promote the expansion of the scale of the real economy; the optimization of the financial structure can effectively improve the efficiency of resource allocation and promote the development of the real economy. The impact of financial structure on the scale of real economy in the short term is always positive (shown in Figure 3b), indicating that the improvement of financial structure can play a certain role in the short term, but the promoting effect is not as significant as in the long term. In the long term, before 2013, the response of real economy scale to financial structure shock decreased slightly, but it was still higher than its short-term response. Although there were short-lived negative long-term effects around 2013, the economy recovered steadily. The main reason for this was that the 2012 financial crisis led to instability in China’s financial environment and a low efficiency of resource allocation. The improvement and optimization of the financial structure cannot be effectively transmitted to the real economy sector, so cannot improve the efficiency and effect of resource allocation to the real economy sector. After 2015, the long-term impact exceeded the short-term impact and reached the peak in 2018, indicating that during this period, the financial sector operated successfully and fulfilled its function of serving the real economy. The optimization of the financial structure could significantly promote the development of the real economy, especially in the long term.
As can be seen from Figure 3c, before 2008, the impact of financial scale on the structure of the real economy was mainly negative. The rapid development of real estate industry, occupying large amounts of financial resources, had a negative impact on the structural optimization of the real economy. Since 2007, influenced by the subprime mortgage crisis in the US real estate market, China introduced a series of policies and measures to restrain the real estate bubble and cope with the international financial crisis, such as the Central Bank raising interest rates and canceling preferential policies on mortgages, etc. [54]. To a certain extent, this restrains the crowding out of real economy resources by the real estate industry, then financial resources can begin to tend to other industries. However, as the international financial crisis swept across the world, China’s financial market was also affected. The response to the impact of the financial scale on the structure of the real economy rebounded briefly and then declined rapidly, reaching the lowest value around 2013. Compared with the improvement of financial structure of the complicated transmission channels, at the end of the financial crisis, the impact of the financial scale effects on the structure of the real economy recovered quickly. In 2015, it became positive, then reached the maximum value around 2018, and began to decline gradually, and there is no obvious time-lag effect in this period.
The structure of real economy is less affected by finance sector, and the response of structure of real economy to the impact of financial structure and scale has similar time-varying characteristics. It can be seen from Figure 3d that the impact of the financial structure on the real economy varies greatly at different times. Before 2008, there was a difference between negative short-term (one quarter) impact, unclear medium-term (three quarter) impact and positive long-term (six quarter) impact. However, since the absolute amount of the response degree is obviously smaller than in other years, the impact of the changes during this period can be considered insignificant. The main reason is that the current structure of China’s financial system is not perfect and the channel of transmission to the real economy is not fully open, so the allocation efficiency is not high. Therefore, the improvement of the financial structure cannot significantly and effectively promote the structural optimization and upgrading of the real economy sectors. At that time, it mainly relied on the purposefully active “intervention” of the government to optimize the structure of the real economy. This non-market behavior also weakened the transmission effect of the upgrading of financial structure to optimize the structure of the real sector.
The international financial crisis hit in 2008, leading to the negative impact on the domestic financial market [54]. Transmission channels from financial markets to the real economy were blocked, and the efficiency of transmission was low. Therefore, the negative response of the real economy structure to the impact of the financial structure began to increase since 2009, and the long-term impact was stronger than in short-term, reaching the lowest in 2013. Then, it began to rise rapidly and gradually turned into a positive impact around 2016. After that, the impact of financial structure on the real economy began to rise and reached its maximum value in 2018. The main reason for this is that, in 2015, China began to implement supply-side structural reform and relevant policies of financial support for the development of the real economy, so that the impact of the financial structure could be more effectively transmitted to the real sector, and the effective allocation of resources could promote the development of the secondary and tertiary industries, and optimize the structure of the real economy [54]. It is obvious that the long-term impact was significantly higher than the short-term impact in this period. Mainly because it took a long time for the changes in the financial structure to be transmitted to the real sector, compared to the increase in the financial scale, such as the increase in the loan volume and the direct financing scale, etc. The increase of financial scale can act directly on the relevant company and industry to promote their development, so there is no obvious time-lag effect (as shown in Figure 3c). While the optimization of the financial structure, such as the increase in the proportion of small and medium-sized banks and the improvement of the deposit and loan efficiency of financial institutions, does not directly reflect the impact of the changes in the financial sector in the short term. Instead, it needs to act on the real economy through the transmission channel after a certain period.

5.3. Time-Varying Impulse Response Analysis at Different Timepoints

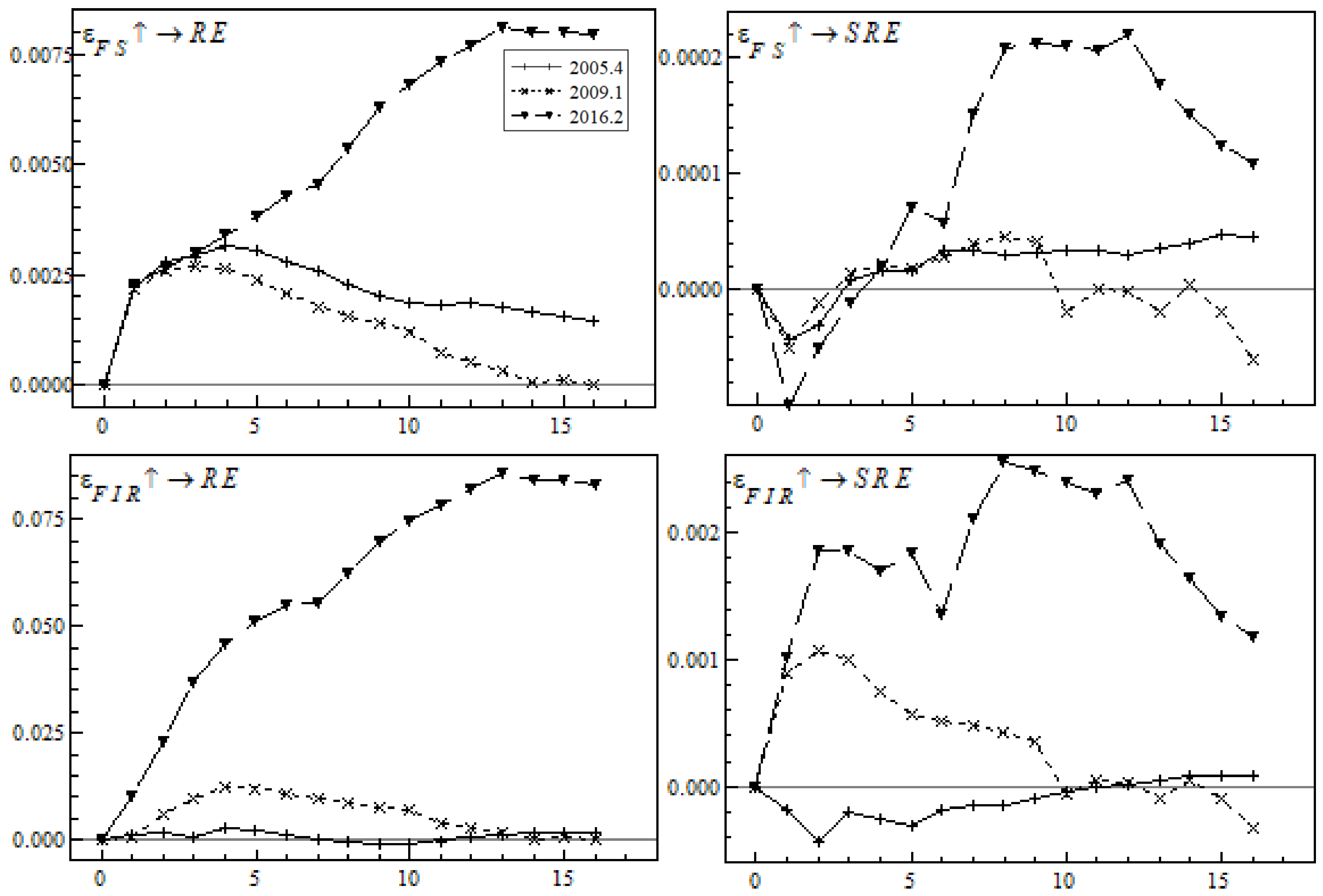
According to the phased characteristics of China’s financial system during the sample period, the fourth quarter of 2005, the first quarter of 2009 and the second quarter of 2016 were selected as representative observation points to indicate the three stages of China’s financial structure, a stage of fluctuation adjustment with an incomplete financial system, a slow recovery stage after the impact of the international financial crisis, and a rapid development stage after the implementation of supply-side structural reform [62]. The time-point impulse response analysis is conducted for the three timepoints, and the results are shown in Figure 4.
In summary, in each stage of the development of China’s financial system, the financial structure and financial scale mainly had positive effects on promoting the development of the real economy and the optimization of the real economy structure. In the fourth quarter of 2005, the impulse response of scale and structure of the real economy to the financial structure and scale was relatively small. This was because, in the early 21st century, China’s financial system was still in its infancy, and the transmission mechanism from the financial sector to the real economy sector was not clear [63]. The expansion of financial scale and the optimization of financial structure cannot be both timely and effectively transmitted to the real economy.
It can be observed that the response curve in the first quarter of 2009 is significantly smaller than in the second quarter of 2016, indicating that the impact of the international financial crisis caused a significantly negative impact on China’s financial system. As shown in Figure 4, the positive effects of financial structure and financial scale on promoting the scale development and structural optimization of the real economy continued to decline rapidly after a short rise, and were generally weaker than the other two periods. Moreover, the deceleration speed of the impulse response function was also significantly faster than that of other timepoints. There was the indication that, after the financial crisis, China’s financial system was severely impacted, making it more difficult than in other years to maintain an effective operation of the financial system, and its positive impact on the real economy will be difficult to sustain over time. In particular, the impulse response function of the structural relationship of the real economy to finance continued to decline to a negative value after the fluctuation decreased to zero. When the financial system faces collapse, if the reasonable and effective financial order is not restored as soon as possible, the financial sector will over-occupy the resources of the real sector, which will exert a more permanent restraining effect on the real economy.
Through 2015, the points of impulse response function (shown in Figure 4), after the implementation of supply-side structural reform in China, the role and effect of the financial system in serving the real economy are more prominent, and significantly higher than other stages, and this positive effect slowly increases over time. This is because the optimization of the financial system does not affect the real economy overnight, but gradually shows its function. In addition, neither the financial scale nor the financial structure has an impact on the real economy that slowly disappears after reaching the peak. Instead, the impact on the real economy increases and steadily maintains a relatively high positive effect. The impact on the real economy structure slightly decreases after rising to the peak but does not return to zero. These promoting effects do not disappear slowly over time but maintain at a relatively stable level. This shows that the financial sector suited to the real economy can be sustained to efficiently serve the real economy. A well-functioning finance market can reasonably allocate resources and guide capital to flow into the real economy to promote its development. In this case, its positive effect is more significant, and will not disappear. Then comparing the response of real economy scale and structure reveals that the response of the real economy scale to the finance is stronger and more stable, and the response of the real economy structure is relatively weak and volatile. This is associated with the transmission mechanism of finance into the real economy. First, the expansion of the financial dimension can directly affect the real economy. For example, the increase of the loan scale of commercial banks can affect the financing difficulty of enterprises and thus affect the development of the industry. The increase in the number of small and medium-sized banks can significantly reduce the financing difficulty of small and medium-sized enterprises. The improvement of financial structure is a relative process, and its transmission channel to the real economy sector is complicated and difficult to predict, and it is more likely to be disturbed by other factors, so its impulse response function is more volatile.
In summary, the optimization of financial structure plays an obvious role in promoting the development of the real economy in each stage. However, it should be noted that, even in a period of large financial stock, if the financial system does not operate normally and the financial structure does not match the real economy sector, the financial shock may also have a negative effect on the real economy and inhibit the development of the real economy.

6. Conclusions and Suggestions

6.1. Conclusions

This paper constructs a finance structure index that conforms to the characteristics of China’s financial system. From the perspectives of efficiency of finance structure, the financing structure of real economy, and the structure of the financial sector, eight second-level indexes were selected to comprehensively evaluate the structure of China’s financial system. According to the index results, the development and characteristics of China’s financial structure in recent years were analyzed and described. Then, the TVP-VAR model was constructed. The dynamic impact of the financial structure on the size and structure of the real economy from 2004–2020 was described from two perspectives of different lag periods and different time points. Through the empirical analysis of this paper, the following conclusions were drawn:
  • Financial structure and financial scale promoted the growth of real economy scale, and they have similar time-varying characteristics. In the early stage of the sample, the expansion of the financial scale and the transformation of the financial structure had a small positive effect on the growth of the real economy scale. In the middle stage of the sample, the promotion effect slightly decreased but then quickly rebounded, and in the later stage, the promotion effect was strong. According to the analysis, it could also be seen that both financial structure and financial scale had an obvious time-lag effect on the scale of the real economy. The long-term effect of promoting was more significant. It showed that the increase of China’s financial resources and the optimization of the structure of the financial system needed a long period of action to transmit to the real economy sector.
  • The structure of real economy was less affected by the shock of financial structure and scale, and had similar time-varying characteristics. In summary, in the early stage of the sample, the impact was not significant. In this stage, it mainly relied on government “intervention” to promote the optimization of the structure of the real economy sector. In the middle period, because of the global financial crisis, it had a restraining effect on the structure of the real economy. Later, with the advance of China’s supply-side structural reform, the improvement of financial structure was effective. At this stage, it was also found that the financial structure had a time-lag effect on the structure of the real economy, while the financial scale did not have a significant time-delay effect.
  • This paper selected three observation timepoints to represent the three representative stages of China’s financial structure, and analyzed the impact of financial structure on the real economy. In general, they had a positive promoting effect. Among them, the response in the first quarter of 2009 was significantly smaller and the deceleration was greater than the other two timepoints, indicating that the international financial crisis had a significant negative impact on China’s financial system. According to the impulse response function at timepoint in 2015, after the implementation of supply-side structural reform in China, the effect was significantly higher than that in other stages. As time progressed, the positive effect gradually increased and remained stable at a high level, indicating that the financial sector suited to the real economy could continuously and efficiently serve the real economy. At the same time, the response of the structure of the real economy was relatively weak and volatile. It showed that the improvement of financial structure was transmitted to the real economy sector by more interference and the mechanism of action was more complex.

6.2. Suggestions

Based on the above theoretical and empirical analyses, this paper puts forward some suggestions on China’s current financial market, finance environment and financial supervision system:
  • Expand the financial scale reasonably and avoid the accumulation of financial resources in the tertiary industry. According to the empirical analysis, the financial scale has the most significant impact on the real economy and the degree of dynamic impact is the largest at the stage when the financial system is relatively complete and running smoothly (the later period of the sample). Taking financial scale as the first entry point can better promote the development of the real economy. However, it is necessary to reasonably control the growth of the total financial volume. If too many resources flow into the financial system, the resources needed by the real economy will be lost, which will not be conducive to the sustainable development and optimization of the structure of the real economy in the long run.
  • Formulate appropriate policies to support the development of the real economy and open the channels, guide the flow of financial resources into the real economy, especially agriculture and manufacturing, and limit the flow of financial resources into the real estate industry. The rapid development of the real estate industry in the past two decades has crowded out a large amount of capital and resources, and the financial system is tilted toward the real estate industry. In 2015, the supply-side structural reform was put forward to correct the distortion of resource allocation and support the development of the real economy.
  • The financial system should be rationally regulated and form a market-oriented financial system to optimize the allocation of financial resources. The empirical results show that the impact degree of financial structure optimization on the structure of real economy is volatile and has a lag effect. Therefore, it is necessary to improve the supervision and control of regulatory agencies and promulgate macro-control measures to ensure the orderly and standardized financial market. This is the premise and guarantee for the market-oriented financial system to play a benign role in realizing resource allocation and serving the real economy. Only in this way can the impact of financial structure changes on the real economy become more stable. In turn, the optimization of the financial structure is also the criterion for institutional supervision. Only when the two complement each other can China’s financial structure better match and serve the real economy.

6.3. Limitations and Improvements

  • Limitations: First, due to data limitations, some data are unavailable, there is a lack of alternative indicators, and some data have a short time span, which is not included in the finance structure index system of China constructed in this paper. Therefore, the established indicator system cannot fully represent the structure of China’s financial system. Second, this paper adopts only one model to study the relationship between financial structure and real economy, which cannot process panel data and does not take into account the impact of regional differences.
  • Improvements: First, the authors later intend to consider more models, especially panel models. The data in this paper can be applied to the panel VAR model or other models to explore whether there are regional differences in the impact of the financial structure of different regions or provinces in China on the real economy. Second, the relationship between the financial system and real economy can be studied from other perspectives, such as the coordination between financial structure and real economy structure. In the future, this paper intends to study the relationship between finance structure and the real economy from more perspectives. In addition, the index system and model constructed in this paper can be modified and then applied to other economies for parallel research, such as the United States and the United Kingdom, to explore whether the index system and the conclusion in this paper are still valid. Additionally, authors want to build a universal index system that can be applied to multiple economies in the future, so that the finance structure index of each economy can be comparable.

Author Contributions

Formal analysis, calculating and writing—original draft preparation, X.L.; writing—review and editing, K.Y.; writing—review and editing, Y.C. All authors have read and agreed to the published version of the manuscript.

Funding

This research received no external funding.

Institutional Review Board Statement

Not applicable.

Informed Consent Statement

Not applicable.

Data Availability Statement

The data presented in this study are openly available in China Banking and Insurance Regulatory Commission at cbirc.gov.cn (21 January 2021), National Bureau of Statistics of China at stats.gov.cn (5 January 2021) and Wind database at https://www.wind.com.cn/ (15 December 2020).

Conflicts of Interest

The authors declare no conflict of interest.

References

  1. Chen, X.; Xi, Q.; Li, G. Urbanization Level and Spatial Distribution of Manufacturing Industry:An Empirical Research Based on Provincial Panel Data. Sci. Geogr. Sin. 2015, 35, 259–267. [Google Scholar] [CrossRef]
  2. Xu, Y.; Zhao, X.; Zhou, X.X.; Yuan, L. Financial Structure and Capital Allocation Efficiency: An Empirical Analysis of China from 2005–2018. Appl. Econ. 2021, 53, 3347–3358. [Google Scholar] [CrossRef]
  3. Deidda, L.; Fattouh, B. Banks, financial markets and growth. J. Financ. Intermediat. 2008, 17, 6–36. [Google Scholar] [CrossRef]
  4. Mazzucato, M. Financing innovation: Creative destruction vs. destructive creation. Ind. Corp. Chang. 2013, 22, 851–867. [Google Scholar] [CrossRef]
  5. Polzin, F.; Sanders, M.; Taube, F. A diverse and resilient financial system for investments in the energy transition. Curr. Opin. Environ. Sustain. 2017, 28, 24–32. [Google Scholar] [CrossRef]
  6. Cull, R.; Demirguc-Kunt, A.; Lin, J.Y. Financial Structure and Economic Development: A Reassessment. World Bank Econ. Rev. 2013, 27, 470–475. [Google Scholar] [CrossRef]
  7. Ye, D.Z.; Huang, Y.J.; Zeng, F.Q. Does structural matching between finance and the real economy promote economic growth? Int. Rev. Econ. Financ. 2021, 73, 11–29. [Google Scholar] [CrossRef]
  8. Ergungor, O.E. Financial system structure and economic growth: Structure matters. Int. Rev. Econ. Financ. 2008, 17, 113–119. [Google Scholar] [CrossRef]
  9. Qian, Y.M.; John, K.; John, T.A. Financial system design and liquidity provision by banks and markets in a dynamic economy. J. Int. Money Financ. 2004, 23, 113–119. [Google Scholar] [CrossRef]
  10. Alexiou, C.; Vogiazas, S.; Nellis, J.G. Reassessing the relationship between the financial sector and economic growth: Dynamic panel evidence. Int. J. Financ. Econ. 2018, 23, 155–173. [Google Scholar] [CrossRef]
  11. Allen, F.; Bartiloro, L.; Gu, X.; Kowalewski, O. Does economic structure determine financial structure? J. Int. Econ. 2018, 114, 389–409. [Google Scholar] [CrossRef]
  12. Lee, B.S. Bank-based and market-based financial systems: Time-series evidence. Pac.-Basin Financ. J. 2012, 20, 173–197. [Google Scholar] [CrossRef]
  13. Beck, T.; Demirguc-Kunt, A.; Levine, R. Financial institutions and markets across countries and over time: The updated financial development and structure database. World Bank Econ. Rev. 2010, 24, 77–92. [Google Scholar] [CrossRef]
  14. Kim, D.H.; Lin, S.C.; Chen, T.C. Financial structure, firm size and industry growth. Int. Rev. Econ. Financ. 2016, 41, 23–39. [Google Scholar] [CrossRef]
  15. Demirguc-Kunt, A.; Feyen, E.; Levine, R. The Evolving Importance of Banks and Securities Markets. World Bank Econ. Rev. 2013, 27, 476–490. [Google Scholar] [CrossRef]
  16. Agapova, A.; Vishwasrao, S. Financial sector foreign aid and financial intermediation. Int. Rev. Financ. Anal. 2020, 72, 101589. [Google Scholar] [CrossRef]
  17. Hernandez-Canovas, G.; Martinez-Solano, P. Relationship lending and SME financing in the continental European bank-based system. Small Bus. Econ. Group 2010, 34, 465–482. [Google Scholar] [CrossRef]
  18. Chen, W.-K.; Nalluri, V.; Lin, M.-L.; Lin, C.-T. Identifying Decisive Socio-Political Sustainability Barriers in the Supply Chain of Banking Sector in India: Causality Analysis Using ISM and MICMAC. Mathematics 2021, 9, 240. [Google Scholar] [CrossRef]
  19. Ergungor, O.E. Market- vs. bank-based financial systems: Do rights and regulations really matter? J. Bank Financ. 2004, 28, 113–119. [Google Scholar] [CrossRef]
  20. Pistor, K. Law in Finance Introduction. J. Comp. Econ. 2013, 41, 311–314. [Google Scholar] [CrossRef]
  21. Gainet, C. Exploring the impact of legal systems and financial structure on corporate responsibility. J. Bus. Ethics 2010, 95, 195–222. [Google Scholar] [CrossRef]
  22. Demir, A.U.; Hall, S.G. Financial structure and economic development: Evidence on the view of “new structuralism”. Int. Rev. Financ. Anal. 2017, 52, 252–259. [Google Scholar] [CrossRef][Green Version]
  23. Zhang, Y.; Zhai, L.; Sun, H.J. Does the level of financial leasing matter in the impact of bank lending on economic growth: Evidence from the global market (2006–2016). Financ. Res. Lett. 2019, 30, 352–359. [Google Scholar] [CrossRef]
  24. Jiang, H.; Zhang, J. Discovering Systemic Risks of China’s Listed Banks by CoVaR Approach in the Digital Economy Era. Mathematics 2020, 8, 180. [Google Scholar] [CrossRef]
  25. Cai, R.; Guo, J. Finance for the Environment: A Scientometrics Analysis of Green Finance. Mathematics 2021, 9, 1537. [Google Scholar] [CrossRef]
  26. Chakraborty, S.; Ray, T. Bank-based versus market-based financial systems: A growth-theoretic analysis. J. Monet. Econ. 2006, 53, 113–119. [Google Scholar] [CrossRef]
  27. Jiang, X.; Wang, X.; Ren, J.; Xie, Z. The Nexus between Digital Finance and Economic Development: Evidence from China. Sustainability 2021, 13, 7289. [Google Scholar] [CrossRef]
  28. Pradhan, R.P.; Arvin, M.B.; Nair, M.; Bennett, S.E.; Bahmani, S. Short-term and long-term dynamics of venture capital and economic growth in a digital economy: A study of European countries. Technol. Soc. 2019, 57, 125–134. [Google Scholar] [CrossRef]
  29. Holmstrom, B.; Tirole, J. Financial intermediation, loanable funds, and the real sector. Q. J. Econ. 1997, 112, 113–119. [Google Scholar] [CrossRef]
  30. Balcilar, M.; Gupta, R.; Lee, C.; Olasehinde-Williams, G. The synergistic effect of insurance and banking sector activities on economic growth in Africa. Econ. Syst. 2018, 42, 637–648. [Google Scholar] [CrossRef]
  31. Bats, J.V.; Houben, A.C.F.J. Bank-based versus market-based financing: Implications for systemic risk. J. Bank Financ. 2020, 114, 105776. [Google Scholar] [CrossRef]
  32. Chang, R.; Fernandez, A.; Gulan, A. Bond finance, bank credit, and aggregate fluctuations in an open economy. J. Monet. Econ. 2017, 85, 90–109. [Google Scholar] [CrossRef]
  33. Bekaert, G.; Harvey, C.R.; Lundblad, C. Does financial liberalization spur growth? J. Financ. Econ. 2005, 77, 3–55. [Google Scholar] [CrossRef]
  34. Milberg, W.; Shapiro, N. Implications of the recent financial crisis for firm innovation. J. Post Keynes. Econ. 2013, 36, 207–229. [Google Scholar] [CrossRef]
  35. Liu, Y.; Sah, N.; Ullah, B.; Wei, Z.B. Financing patterns in transition economies: Privatized former SOEs versus ab initio private firms. Emerg. Mark. Rev. 2020, 43, 100680. [Google Scholar] [CrossRef]
  36. Neffke, F.; Henning, M.; Boschma, R. How Do Regions Diversify over Time? Industry Relatedness and the Development of New Growth Paths in Regions. Econ. Geogr. 2011, 87, 237–265. [Google Scholar] [CrossRef]
  37. Saviotti, P.P.; Pyka, A. From necessities to imaginary worlds: Structural change, product quality and economic development. Technol. Forecast. Soc. Chang. 2013, 80, 1499–1512. [Google Scholar] [CrossRef]
  38. Saviotti, P.P.; Pyka, A.; Jun, B. Education, structural change and economic development. Struct. Chang. Econ. Dyn. 2016, 38, 55–68. [Google Scholar] [CrossRef]
  39. Freire, C. Economic diversification: A model of structural economic dynamics and endogenous technological change. Struct. Chang. Econ. Dyn. 2019, 49, 13–28. [Google Scholar] [CrossRef]
  40. Cyrek, M.; Cyrek, P. Does Economic Structure Differentiate the Achievements towards Energy SDG in the EU? Energies 2021, 14, 2229. [Google Scholar] [CrossRef]
  41. Barrios, S.; Bertinelli, L.; Teixeira, A.C. The dynamics of agglomeration: Evidence from Ireland and Portugal. J. Urban Econ. 2005, 87, 237–265. [Google Scholar] [CrossRef]
  42. Batrancea, I.; Batrancea, L.; Maran Rathnaswamy, M.; Tulai, H.; Fatacean, G.; Rus, M.-I. Greening the Financial System in USA, Canada and Brazil: A Panel Data Analysis. Mathematics 2020, 8, 2217. [Google Scholar] [CrossRef]
  43. Frenken, K.; Oort, F.G.V.; Verburg, T.N. Relate variety, unrelated variety and regional economic growth. Reg. Stud. 2007, 87, 237–265. [Google Scholar] [CrossRef]
  44. Rapp, M.S.; Udoieva, I.A. What matters in the finance-growth nexus of advanced economies? Evidence from OECD countries. Appl. Econ. 2018, 50, 676–690. [Google Scholar] [CrossRef]
  45. Tadesse, S. Financial architecture and economic performance: International evidence. J. Financ. Intermediat. 2002, 11, 113–119. [Google Scholar] [CrossRef]
  46. Karwowski, E.; Shabani, M.; Stockhammer, E. Dimensions and Determinants of Financialisation: Comparing OECD Countries since 1997. New Political Econ. 2020, 25, 957–977. [Google Scholar] [CrossRef]
  47. Fufa, T.; Kim, J. Stock markets, banks, and economic growth: Evidence from more homogeneous panels. Res. Int. Bus. Financ. 2018, 44, 504–517. [Google Scholar] [CrossRef]
  48. Purewal, K.; Haini, H. Re-examining the effect of financial markets and institutions on economic growth: Evidence from the OECD countries. Econ. Chang. Restruct. 2021, 1–23. [Google Scholar] [CrossRef]
  49. Fung, M.K. Financial development and economic growth: Convergence or divergence? J. Int. Money Financ. 2009, 28, 56–67. [Google Scholar] [CrossRef]
  50. Beck, R.; Georgiadis, G.; Straub, R. The finance and growth nexus revisited. Econ. Lett. 2014, 124, 382–385. [Google Scholar] [CrossRef]
  51. Benczur, P.; Karagiannis, S.; Kvedaras, V. Finance and economic growth: Financing structure and non-linear impact. J. Macroecon. 2019, 62, 103048. [Google Scholar] [CrossRef]
  52. Bijlsma, M.; Kool, C.; Non, M. The effect of financial development on economic growth: A meta-analysis. Appl. Econ. 2018, 50, 6128–6148. [Google Scholar] [CrossRef]
  53. Jalil, A.; Feridun, M.; Ma, Y. Finance-growth nexus in China revisited: New evidence from principal components and ARDL bounds tests. Int. Rev. Econ. Financ. 2010, 19, 189–195. [Google Scholar] [CrossRef]
  54. Li, C.G.; Pan, K.; Jia, H.Y. Study on the time-varying characteristics of financial structure impact on industrial structure: Empirical test based on the SUR and TVPSS model. J. Chongqing Univ. (Soc. Sci. Ed.) 2020. [Google Scholar] [CrossRef]
  55. Raymond, W.G. Financial Structure and Financial Development, 1st ed.; Shanghai People’s Publishing House: Shanghai, China, 1996. [Google Scholar]
  56. Ronald, I.M. Money Capital in Economic Development, 1st ed.; SDX Joint Publishing Company: Shanghai, China, 1997. [Google Scholar]
  57. Rajan, R.G.; Zingales, L. The great reversals: The politics of financial development in the twentieth century. J. Financ. Econ. 2003, 69, 5–50. [Google Scholar] [CrossRef]
  58. Guo, K.S. China: Economic Growth and Structural Change in Reform, 1st ed.; Shanghai People’s Publishing House: Shanghai, China, 2000. [Google Scholar]
  59. Wang, X.; Johansson, A. Financial Repression and Structural Transformation. Econ. Res. J. 2013, 48, 54–67. Available online: https://kns.cnki.net/kcms/detail/detail.aspx?FileName=JJYJ201301007&DbName=CJFQ2013 (accessed on 20 January 2013).
  60. Gan, C.H.; Zheng, R.G.; Yu, D.F. An Empirical Study on the Effects of Industrial Structure on Economic Growth and Fluctuations in China. Econ. Res. J. 2011, 46, 4–16. Available online: https://kns.cnki.net/kcms/detail/detail.aspx?FileName=JJYJ201105002&DbName=CJFQ2011 (accessed on 20 May 2011).
  61. Sun, H.H.; Su, J.R. FDI, Financial Development and Economic Growth: Factor Input or TFP: Empirical Study Based on Provincial Panel Data. South China Financ. 2009, 9, 21–25. Available online: https://kns.cnki.net/kcms/detail/detail.aspx?FileName=GDJR200909005&DbName=CJFQ2009 (accessed on 20 September 2009).
  62. Wu, A.D.; Liu, D.G. The relationship between Financial development and industrial structure upgrading in China: Based on coupling coordination degree Model. South China Financ. 2017, 3, 28–36. Available online: https://kns.cnki.net/kcms/detail/detail.aspx?FileName=GDJR201703005&DbName=CJFQ2017 (accessed on 9 March 2017).
  63. Jiang, S.X.; Yan, Y.H. Study on the Coordination between the Improvement of the GDP Structure and the Change of the Finance Structure. Theory Prac. Financ. Econ. 2006, 1, 18–23. Available online: https://kns.cnki.net/kcms/detail/detail.aspx?FileName=CLSJ200601004&DbName=CJFQ2006 (accessed on 25 January 2006).
  64. Zhang, C.S.; Liu, G.C. Evolving Marginal Effects of Financial Structure on Economic Growth. J. Financ. Econ. 2015, 50, 84–99. Available online: https://kns.cnki.net/kcms/detail/detail.aspx?FileName=JJYJ201512017&DbName=CJFQ2015 (accessed on 20 December 2015).
  65. Qu, J.F. Reform of the financial system and mitigation of systemic risks in the new era. Friends Account. 2020, 2, 105–110. Available online: https://kns.cnki.net/kcms/detail/detail.aspx?FileName=KJZY202002018&DbName=CJFQ2020 (accessed on 2 January 2020).
  66. Zhou, Y.; Dong, Z. Spatial Spillover Effect of Financial Structure and Real Economy Development: Research Based on Spatial Durbin Model. Inq. Econ. Issues 2020, 5, 134–148. Available online: https://kns.cnki.net/kcms/detail/detail.aspx?FileName=JJWS202005013&DbName=DKFX2020 (accessed on 1 May 2020).
  67. Liu, X.P. Government Intervention, Credit Structure and Credit Risk. Zhejiang Acad. J. 2016, 6, 189–197. [Google Scholar] [CrossRef]
  68. Ren, Z.Z.; Liu, Y.S. Research on guangdong financial Maturity Index. J. Financ. Res. 2010, 3, 183–193. Available online: https://kns.cnki.net/kcms/detail/detail.aspx?FileName=JRYJ201003017&DbName=CJFQ2010 (accessed on 25 March 2010).
  69. Nakajima, J.; Kasuya, M.; Watanabe, T. Bayesian analysis of time-varying parameter vector autoregressive model for the Japanese economy and monetary policy. J. Jpn. Inst. Econ. 2011, 25, 225–245. [Google Scholar] [CrossRef]
Figure 1. Evolution trend of China’s finance structure index from 2004 to 2020. Source: Own calculation based on Equation (1).
Figure 1. Evolution trend of China’s finance structure index from 2004 to 2020. Source: Own calculation based on Equation (1).
Mathematics 09 02232 g001
Figure 2. Inverse roots of AR characteristic polynomia.
Figure 2. Inverse roots of AR characteristic polynomia.
Mathematics 09 02232 g002
Figure 3. Time-varying impulse response diagram of different lag periods. (a) The response function of RE to FIR; (b) the response function of RE to FS; (c) the response function of SRE to FIR; and (d) the response function of SRE to FS.
Figure 3. Time-varying impulse response diagram of different lag periods. (a) The response function of RE to FIR; (b) the response function of RE to FS; (c) the response function of SRE to FIR; and (d) the response function of SRE to FS.
Mathematics 09 02232 g003
Figure 4. Time-varying impulse response diagram at different timepoints.
Figure 4. Time-varying impulse response diagram at different timepoints.
Mathematics 09 02232 g004
Table 1. Finance structure index system of China.
Table 1. Finance structure index system of China.
First GradeSecondary GradeCalculation Method
Efficiency of finance structureLoan-to-deposit ratio (X1) Total   loan Total   deposit
Ratio of non-non-performing loans (X2) 1 Ratio   of   non performing   loans
Financing structure of real economyStructure of financing tool (X3) Total   equity   financing Total   debt   financing
Structure of financing channel (X4) Total   direct   financing Total   indirect   financing
Structure of financing source (X5) Total   market   value   of   B shares Total   market   value   of   A shares
Structure of financial sectorDispersity of banking industry (X6) Total   assets   of   non large scale   commercial   banks Total   assets   of   banks
Structure of the securities market (X7) Market   value   of   SMEs   board   +   GEM   board   +   New   OTC   Market Market   value   of   Main   board
Structure of the insurance market (X8) Premium   revenue Total   financial   assets
Table 2. The weight of each index in the finance structure index system of China.
Table 2. The weight of each index in the finance structure index system of China.
First GradeWeightSecondary Grade (Standardized)Weight
Efficiency of finance structure0.11320Loan-to-deposit ratio (Y1)0.09653
Ratio of non-non-performing loans (Y2)0.01667
Financing structure of real economy0.39445Structure of financing tool (Y3)0.21132
Structure of channel tool (Y4)0.07531
Structure of source tool (Y5)0.10782
Structure of financial sector0.49235Dispersity of banking industry (Y6)0.08347
Structure of the securities market (Y7)0.33296
Structure of the insurance market (Y8)0.07592
Table 3. China’s finance structure Index (2004–2020). Source: Own calculation based on Equation (1).
Table 3. China’s finance structure Index (2004–2020). Source: Own calculation based on Equation (1).
TimeFS IndexTimeFS IndexTimeFS Index
2004-030.1828642009-120.1145442015-090.452110
2004-060.2266762010-030.1291512015-120.477179
2004-090.1504122010-060.1134892016-030.533076
2004-120.0937732010-090.1098002016-060.584645
2005-030.1863072010-120.1372812016-090.551145
2005-060.1087632011-030.1268892016-120.517588
2005-090.0609902011-060.1109112017-030.632779
2005-120.0728542011-090.1178662017-060.561917
2006-030.0756162011-120.1279102017-090.544501
2006-060.0715862012-030.1379272017-120.557093
2006-090.1294252012-060.1244042018-030.559832
2006-120.1287762012-090.1414182018-060.543452
2007-030.2702442012-120.1426222018-090.554970
2007-060.0871762013-030.1431682018-120.541720
2007-090.1019052013-060.1366582019-030.569047
2007-120.2030302013-090.1326822019-060.558682
2008-030.1545342013-120.1439072019-090.552211
2008-060.1663502014-030.1766272019-120.555595
2008-090.0957982014-060.1614062020-030.593447
2008-120.0866002014-090.1821512020-060.633786
2009-030.1000732014-120.1927382020-090.606893
2009-060.0898772015-030.224339
2009-090.1087422015-060.375386
Table 4. Descriptive statistical results. Source: Own calculation.
Table 4. Descriptive statistical results. Source: Own calculation.
RESREFSFIR
Mean1.0000000.8984970.27070610.97039
Median0.9821020.8989080.15453410.90784
Maximum2.0478660.9220900.63378614.51547
Minimum0.2655410.8567020.0609907.961240
Std. Dev.0.4904080.0149850.2013041.722742
Skewness0.282630−0.6723810.704367−0.084969
Kurtosis1.9933733.2328641.6947472.069589
Jarque-Bera3.7207755.19979310.296272.497269
Probability0.1556120.0742810.0058100.286896
Sum67.0000060.1993318.13731735.0158
Sum Sq. Dev.15.873010.0148202.674550195.8774
Observations67676767
Table 5. The correlation coefficient of FS, FIR, RE and SRE variables.
Table 5. The correlation coefficient of FS, FIR, RE and SRE variables.
RESRE
FS0.8235290.713509
FIR0.8666420.870723
Table 6. Results of ADF test.
Table 6. Results of ADF test.
VariablesTest Form(C, T, L)ADF ValueCritical Value of 5%p-ValueStationarity
DRE(C, T, 0)−13.7562−3.48050.0001Y
DSRE(C, T, 0)−9.2314−3.48050.0000Y
DFS(C, T, 0)−10.0222−3.48050.0000Y
DFIR(C, T, 0)−7.5159−3.48050.0000Y
Note: “D” indicates that the original variable is treated with first-order difference. The test forms C, T and L represent the constant term, time trend and lag order of the ADF test equation, respectively.
Table 7. Results of Johansen co-integration test.
Table 7. Results of Johansen co-integration test.
Co-Integration Test HypothesisT-ValueCritical Value of 5%p-Value
There is no co-integration relationship *101.837463.876100.0000
At most 1 co-integration relationship32.8273442.915250.3451
At most 2 co-integration relationship16.1993725.872110.4767
At most 3 co-integration relationship6.37345412.517980.4144
* denotes rejection of the hypothesis at the 0.05 level.
Table 8. Parameter estimation results.
Table 8. Parameter estimation results.
ParameterMeanStd.Upper Bound (95%)Lower Bound (95%)GevekeInvalid Factor
sb10.02270.00260.01830.02830.4545.60
sb20.02270.00260.01830.02870.9053.81
sa10.04150.00750.02950.05920.38458.67
sa20.06370.01840.03800.11110.08939.43
sh10.23690.08610.11410.44820.69640.41
sh20.20450.14120.06070.58330.000109.67
Publisher’s Note: MDPI stays neutral with regard to jurisdictional claims in published maps and institutional affiliations.

Share and Cite

MDPI and ACS Style

Liu, X.; Yin, K.; Cao, Y. Contribution of the Optimization of Financial Structure to the Real Economy: Evidence from China’s Financial System Using TVP-VAR Model. Mathematics 2021, 9, 2232. https://doi.org/10.3390/math9182232

AMA Style

Liu X, Yin K, Cao Y. Contribution of the Optimization of Financial Structure to the Real Economy: Evidence from China’s Financial System Using TVP-VAR Model. Mathematics. 2021; 9(18):2232. https://doi.org/10.3390/math9182232

Chicago/Turabian Style

Liu, Xiaoye, Kedong Yin, and Yun Cao. 2021. "Contribution of the Optimization of Financial Structure to the Real Economy: Evidence from China’s Financial System Using TVP-VAR Model" Mathematics 9, no. 18: 2232. https://doi.org/10.3390/math9182232

APA Style

Liu, X., Yin, K., & Cao, Y. (2021). Contribution of the Optimization of Financial Structure to the Real Economy: Evidence from China’s Financial System Using TVP-VAR Model. Mathematics, 9(18), 2232. https://doi.org/10.3390/math9182232

Note that from the first issue of 2016, this journal uses article numbers instead of page numbers. See further details here.

Article Metrics

Back to TopTop