The Optimal Homotopy Asymptotic Method for Solving Two Strongly Fractional-Order Nonlinear Benchmark Oscillatory Problems
Abstract
1. Introduction
2. The Homotopy Asymptotic Method
3. An OHAM for Fractional-Order Nonlinear Oscillators
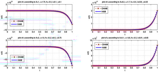
4. Test Problems
5. Conclusions
Author Contributions
Funding
Institutional Review Board Statement
Informed Consent Statement
Data Availability Statement
Conflicts of Interest
References
- Sarwar, S.; Alkhalaf, S.; Iqbal, S.; Zahid, M.A. A note on optimal homotopy asymptotic method for the solutions of fractional order heat- and wave-like partial differential equations. Comput. Math. Appl. 2015, 70, 942–953. [Google Scholar] [CrossRef]
- Marinca, V.; Herişanu, N. The Optimal Homotopy Asymptotic Method for solving Blasius equation. Appl. Math. Comput. 2014, 231, 134–139. [Google Scholar] [CrossRef]
- Kovacica, I. Four Types of Strongly Nonlinear Oscillators: Generalization of a Perturbation Procedure. Procedia IUTAM 2016, 19, 101–109. [Google Scholar] [CrossRef]
- Burton, T.D. A perturbation method for certain non-linear oscillators. Int. J. Non Linear Mech. 1984, 19, 397–407. [Google Scholar] [CrossRef]
- Jones, S.E. Remarks on the perturbation process for certain conservative systems. Int. J. Non Linear Mech. 1978, 13, 125–128. [Google Scholar] [CrossRef]
- Shen, Y.J.; Wei, P.; Yang, S.P. Primary resonance of fractional-order van der Pol oscillator. Nonlinear Dyn. 2014, 77, 1629–1642. [Google Scholar] [CrossRef]
- Shen, Y.; Wen, S.; Li, X.; Yang, S.; Xing, H. Dynamical analysis of fractional-order nonlinear oscillator by incremental harmonic balance method. Nonlinear Dyn. 2016, 85, 1457–1467. [Google Scholar] [CrossRef]
- Xu, Y.; Li, Y.G.; Liu, D.; Jia, W.T.; Huang, H. Responses of Duffing oscillator with fractional damping and random phase. Nonlinear Dyn. 2013, 74, 745–753. [Google Scholar] [CrossRef]
- Chen, L.C.; Zhu, W.Q. Stochastic jump and bifurcation of Duffing oscillator with fractional derivative damping under combined harmonic and white noise excitations. Int. J. Nonlinear Mech. 2011, 46, 1324–1329. [Google Scholar] [CrossRef]
- Chen, L.C.; Hu, F.; Zhu, W.Q. Stochastic dynamics and fractional optimal control of quasi integrable Hamiltonian systems with fractional derivative damping. Fract. Calc. Appl. Anal. 2013, 16, 189–225. [Google Scholar] [CrossRef]
- Chen, L.C.; Zhao, T.L.; Li, W.; Zhao, J. Bifurcation control of bounded noise excited Duffing oscillator by a weakly fractional-order PIλDμ feedback controller. Nonlinear Dyn. 2016, 83, 529–539. [Google Scholar] [CrossRef]
- Heydari, M.; Loghmani, G.B.; Hosseini, S.M. An improved piecewise variational iteration method for solving strongly nonlinear oscillators. Comput. Appl. Math. 2015, 34, 215–249. [Google Scholar] [CrossRef]
- Chung, K.W.; Chan, C.L.; Xu, Z.; Mahmoud, G.M. A perturbation incremental method for strongly nonlinear autonomous oscillators with many degrees of freedom. Nonlinear Dyn. 2002, 28, 243–259. [Google Scholar] [CrossRef]
- Mahmoud, G.M. On the generalized averaging method of a class of strongly nonlinear forced oscillators. Phys. A Stat. Mech. Appl. 1993, 199, 87–95. [Google Scholar] [CrossRef]
- Odibat, Z.; Bataineh, A.S. An adaptation of homotopy analysis method for reliable treatment of strongly nonlinear problems: Construction of homotopy polynomials. Math. Methods Appl. Sci. 2015, 38, 991–1000. [Google Scholar] [CrossRef]
- Ju, P.J.; Xue, X. Global residue harmonic balance method to periodic solutions of a class of strongly nonlinear oscillators. Appl. Math. Model. 2014, 38, 6144–6152. [Google Scholar] [CrossRef]
- Yuda, H.; Peng, H.; Jinzhi, Z. Strongly nonlinear subharmonic resonance and chaotic motion of axially moving thin plate in magnetic field. J. Comput. Nonlinear Dynam. 2015, 10, 021010. [Google Scholar] [CrossRef]
- Bildik, N.; Deniz, S. New approximate solutions to electrostatic differential equations obtained by using numerical and analytical methods. Georgian Math. J. 2020, 27, 23–30. [Google Scholar] [CrossRef]
- Liao, S.J. Beyond Perturbation: Introduction to the Homotopy Analysis Method; Chapman and Hall, CRC Press: Boca Raton, FL, USA, 2003. [Google Scholar]
- Golbabai, A.; Fardi, M.; Sayevand, K. Application of the optimal homotopy asymptotic method for solving a strongly nonlinear oscillatory system. Math. Comput. Model. 2013, 58, 1837–1843. [Google Scholar] [CrossRef]
- Marinca, V.; Herisanu, N. Application of homotopy asymptotic method for solving non-linear equations arising in heat transfer. I. Comm. Heat Mass Transfer 2008, 35, 710–715. [Google Scholar] [CrossRef]
- Marinca, V.; Herisanu, N. Determination of periodic solutions for the motion of a particle on a rotating parabola by means of the optimal homotopy asymptotic method. J. Sound Vib. 2010, 329, 1450–1459. [Google Scholar] [CrossRef]
- Herisanu, N.; Marinca, V. Accurate analytical solutions to oscillators with discontinuities and fractional-power restoring force by means of the optimal homotopy asymptotic method. Comput. Math. Appl. 2010, 60, 1607–1615. [Google Scholar] [CrossRef]
- Iqbal, S.; Idrees, M.; Siddiqui, A.M.; Ansari, A.R. Some solutions of the linear and nonlinear Klein–Gordon equations using the optimal homotopy asymptotic method. Appl. Math. Comput. 2010, 216, 2898–2909. [Google Scholar] [CrossRef]
- Iqbal, S.; Javed, A. Application of optimal homotopy asymptotic method for the analytic solution of singular Lane–Emden type equation. Appl. Math. Comput. 2011, 217, 7753–7761. [Google Scholar] [CrossRef]
- Iqbal, S.; Siddiqui, A.M.; Ansari, A.R.; Javed, A. Use of optimal homotopy asymptotic method and Galerkin’s finite element formulation in the study of heat transfer flow of a third grade fluid between parallel plates. J. Heat Transfer 2011, 133, 091702. [Google Scholar] [CrossRef]
- Hashmi, M.S.; Khan, N.; Iqbal, S. Optimal homotopy asymptotic method for solving nonlinear Fredholm integral equations of second kind. Appl. Math. Comput. 2012, 218, 10982–10989. [Google Scholar]
- Idrees, M.; Islam, S.; Haqa, S.; Islam, S. Application of the optimal homotopy asymptotic method to squeezing flow. Comput. Math. Appl. 2010, 59, 3858–3866. [Google Scholar] [CrossRef]
- Pandey, R.K.; Singh, O.P.; Baranwal, V.K.; Tripathi, M.P. An analytic solution for the space–time fractional advection–dispersion equation using the optimal homotopy asymptotic method. Comput. Phys. Commun. 2012, 183, 2098–2106. [Google Scholar] [CrossRef]
- Hamarsheh, M.; Ismail, A.; Odibat, Z. Optimal homotopy asymptotic method for solving fractional relaxation-oscillation equation. J. Interpolat. Approx. Sci. Comput. 2015, 2015, 98–111. [Google Scholar] [CrossRef][Green Version]
- Kilbas, A.A.; Srivastava, H.M.; Trujillo, J.J. Theory and Applications of Fractional Differential Equations; Elsevier: Amsterdam, The Netherlands, 2006. [Google Scholar]
- van Gorder, R.A.; Vajravelu, K. On the selection of auxiliary functions, operators, and convergence control parameters in the application of the Homotopy Analysis Method to nonlinear differential equations: A general approach. Commun. Nonlinear Sci. Numer. Simul. 2009, 14, 4078–4089. [Google Scholar] [CrossRef]
- Abbasbandy, S.; Jalili, M. Determination of optimal convergence-control parameter value in homotopy analysis method. Numer Algor 2013, 64, 593–605. [Google Scholar] [CrossRef]
- Motsa, S.S. On the Optimal Auxiliary Linear Operator for the Spectral Homotopy Analysis Method Solution of Nonlinear Ordinary Differential Equations. Math. Probl. Eng. 2014, 2014, 697845. [Google Scholar] [CrossRef]
- Odibat, Z. On the optimal selection of the linear operator and the initial approximation in the application of the homotopy analysis method to nonlinear fractional differential equations. Appl. Numer. Math. 2019, 137, 203–212. [Google Scholar] [CrossRef]
- Niu, Z.; Wang, C. A one-step optimal homotopy analysis method for nonlinear differential equations. Commun. Nonlinear Sci. Numer. Simul. 2010, 15, 2026–2036. [Google Scholar] [CrossRef]






Publisher’s Note: MDPI stays neutral with regard to jurisdictional claims in published maps and institutional affiliations. |
© 2021 by the authors. Licensee MDPI, Basel, Switzerland. This article is an open access article distributed under the terms and conditions of the Creative Commons Attribution (CC BY) license (https://creativecommons.org/licenses/by/4.0/).
Share and Cite
Shatnawi, M.T.; Ouannas, A.; Bahia, G.; Batiha, I.M.; Grassi, G. The Optimal Homotopy Asymptotic Method for Solving Two Strongly Fractional-Order Nonlinear Benchmark Oscillatory Problems. Mathematics 2021, 9, 2218. https://doi.org/10.3390/math9182218
Shatnawi MT, Ouannas A, Bahia G, Batiha IM, Grassi G. The Optimal Homotopy Asymptotic Method for Solving Two Strongly Fractional-Order Nonlinear Benchmark Oscillatory Problems. Mathematics. 2021; 9(18):2218. https://doi.org/10.3390/math9182218
Chicago/Turabian StyleShatnawi, Mohd Taib, Adel Ouannas, Ghenaiet Bahia, Iqbal M. Batiha, and Giuseppe Grassi. 2021. "The Optimal Homotopy Asymptotic Method for Solving Two Strongly Fractional-Order Nonlinear Benchmark Oscillatory Problems" Mathematics 9, no. 18: 2218. https://doi.org/10.3390/math9182218
APA StyleShatnawi, M. T., Ouannas, A., Bahia, G., Batiha, I. M., & Grassi, G. (2021). The Optimal Homotopy Asymptotic Method for Solving Two Strongly Fractional-Order Nonlinear Benchmark Oscillatory Problems. Mathematics, 9(18), 2218. https://doi.org/10.3390/math9182218
