A Comparative Analysis of Fractional-Order Gas Dynamics Equations via Analytical Techniques
Abstract
1. Introduction
2. Basic Preliminaries
3. The Technique of VITM
4. The General Methodology of HPTM
5. Applications
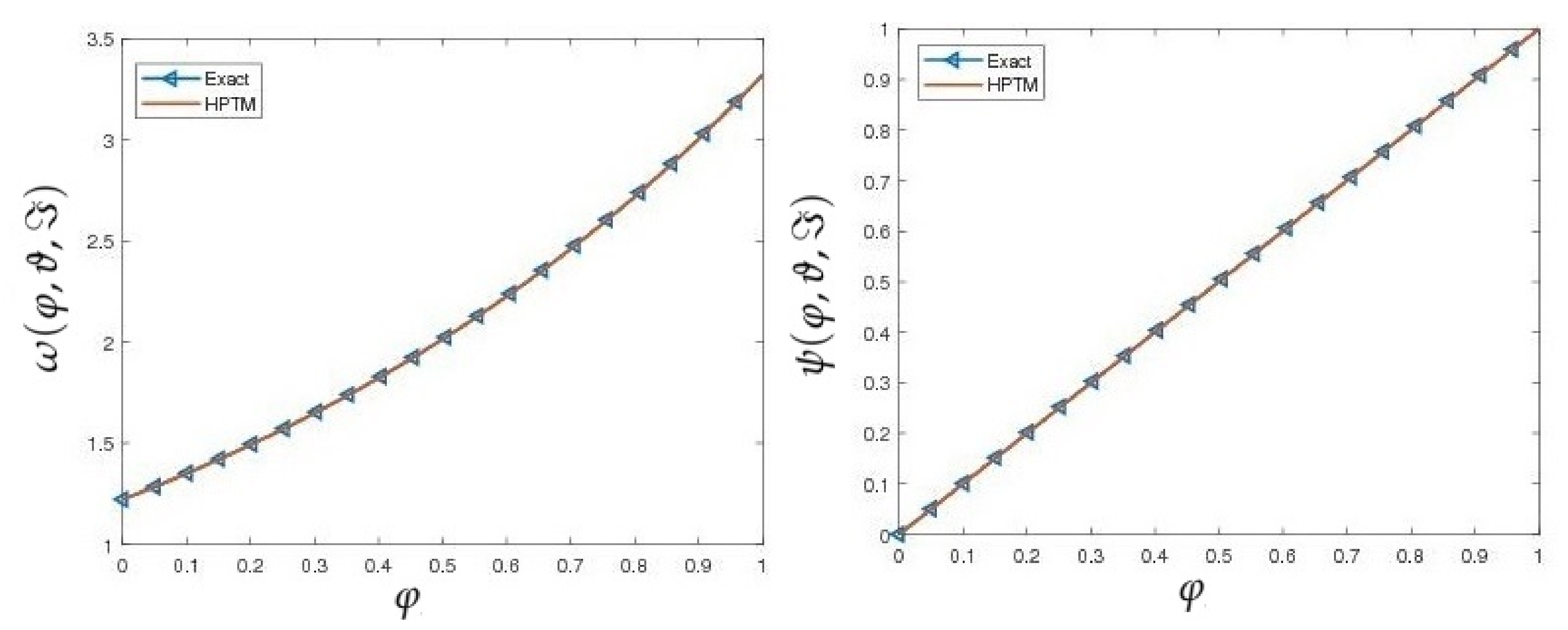
6. Discussion and Numerical Results
7. Conclusions
Author Contributions
Funding
Institutional Review Board Statement
Informed Consent Statement
Data Availability Statement
Acknowledgments
Conflicts of Interest
References
- Shah, K.; Singh, T.; Kilin, A. Combination of integral and projected differential transform methods for time-fractional gas dynamics equations. Ain Shams Eng. J. 2018, 9, 1683–1688. [Google Scholar] [CrossRef]
- Steger, J.L.; Warming, R.F. Flux vector splitting of the inviscid gasdynamic equations with application to finite-difference methods. J. Comput. Phys. 1981, 40, 263–293. [Google Scholar] [CrossRef]
- Kumar, S.; Kocak, H.; Yildirim, A. A fractional model of gas dynamics equations and its analytical approximate solution using Laplace transform. Z. Naturforschung A 2012, 67, 389–396. [Google Scholar] [CrossRef]
- Zaslavsky, G.M.; Edelman, M. Hierarchical structures in the phase space and fractional kinetics: I. Classical systems. Chaos Interdiscip. J. Nonlinear Sci. 2000, 10, 135–146. [Google Scholar] [CrossRef]
- Uchaikin, V.V.; Sibatov, R.T. Fractional Boltzmann equation for multiple scattering of resonance radiation in low-temperature plasma. J. Phys. Math. Theor. 2011, 44, 145501. [Google Scholar] [CrossRef]
- Nikan, O.; Machado, J.T.; Avazzadeh, Z.; Jafari, H. Numerical evaluation of fractional Tricomi-type model arising from physical problems of gas dynamics. J. Adv. Res. 2020, 25, 205–216. [Google Scholar] [CrossRef]
- Frenk, C.S.; White, S.D.M.; Bode, P.; Bond, J.R.; Bryan, G.L.; Cen, R.; Couchman, H.M.P.; Evrard, A.E.; Gnedin, N.; Jenkins, A.; et al. The Santa Barbara cluster comparison project: A comparison of cosmological hydrodynamics solutions. Astrophy. J. 1999, 525, 554–582. [Google Scholar] [CrossRef]
- Ryu, D.; Ostriker, J.P.; Kang, H.; Cen, R. A cosmological hydrodynamic code based on the total variation diminishing scheme. Astrophy. J. 1993, 414, 1–19. [Google Scholar] [CrossRef][Green Version]
- Xu, K.; Luo, J.; Chen, S. A well-balanced kinetic scheme for gas dynamic equations under gravitational field. Adv. Appl. Math. Mech. 2010, 2, 200–210. [Google Scholar] [CrossRef]
- Veeresha, P.; Prakasha, D.G.; Baskonus, H.M. An efficient technique for a fractional-order system of equations describing the unsteady flow of a polytropic gas. Pramana 2019, 93, 75. [Google Scholar] [CrossRef]
- Moradpour, H.; Abri, A.; Ebadi, H. Thermodynamic behavior and stability of Polytropic gas. Int. J. Mod. Phys. D 2016, 25, 1650014. [Google Scholar] [CrossRef]
- Sunthrayuth, P.; Zidan, A.; Yao, S.; Shah, R.; Inc, M. The Comparative Study for Solving Fractional-Order Fornberg–Whitham Equation via ρ-Laplace Transform. Symmetry 2021, 13, 784. [Google Scholar] [CrossRef]
- Tamsir, M.; Srivastava, V.K. Revisiting the approximate analytical solution of fractional-order gas dynamics equation. Alex. Eng. J. 2016, 55, 867–874. [Google Scholar] [CrossRef]
- Bhadane, P.K.G.; Pradhan, V.H. Elzaki transform homotopy perturbation method for solving Gas Dynamics equation. Int. J. Res. Eng. Tech. 2013, 2, 260–264. [Google Scholar]
- Mohamed, M.A. Adomian decomposition method for solving the equation governing the unsteady flow of a polytropic gas. Appl. Math. 2009, 4, 52–61. [Google Scholar]
- Matinfar, M.; Saeidy, M. Homotopy Analysis Method for Solving the Equation Governing the Unsteady Flow of a Polytropic Gas. World Appl. Sci. J. 2010, 9, 980–983. [Google Scholar]
- Cherif, M.H.; Ziane, D.; Belghaba, K. Fractional natural decomposition method for solving fractional system of nonlinear equations of unsteady flow of a polytropic gas. Nonlinear Stud. 2018, 25, 753–764. [Google Scholar]
- He, J.H. Homotopy perturbation method: A new nonlinear analytical technique. Appl. Math. Comput. 2003, 135, 73–79. [Google Scholar] [CrossRef]
- He, J.H. Homotopy perturbation method for bifurcation of nonlinear problems. Int. J. Nonlinear Sci. Numer. Simul. 2005, 6, 207–208. [Google Scholar] [CrossRef]
- He, J.H. Homotopy perturbation method for solving boundary value problems. Phys. Lett. A 2006, 350, 87–88. [Google Scholar] [CrossRef]
- He, J.H. The homotopy perturbation method for nonlinear oscillators with discontinuities. Appl. Math. Comput. 2004, 151, 287–292. [Google Scholar] [CrossRef]
- He, J.H. Application of homotopy perturbation method to nonlinear wave equations. Chaos Solitons Fractals 2005, 26, 695–700. [Google Scholar] [CrossRef]
- Elzaki, T.M. The new integral transform Elzaki transform. Glob. J. Pure Appl. Math. 2011, 7, 57–64. [Google Scholar]
- Elzaki, T.M. On the connections between Laplace and Elzaki transforms. Adv. Theor. Appl. Math. 2011, 6, 1–11. [Google Scholar]
- Elzaki, T.M. On The New Integral Transform “Elzaki Transform” Fundamental Properties Investigations and Applications. Glob. J. Math. Sci. Theory Pract. 2012, 4, 1–13. [Google Scholar]
- Jena, R.M.; Chakraverty, S. Solving time-fractional Navier–Stokes equations using homotopy perturbation Elzaki transform. SN Appl. Sci. 2019, 1, 16. [Google Scholar] [CrossRef]
- Sedeeg, A.K.H. A coupling Elzaki transform and homotopy perturbation method for solving nonlinear fractional heat-like equations. Am. J. Math. Comput. Model. 2016, 1, 15–20. [Google Scholar]
- Neamaty, A.; Agheli, B.; Darzi, R. Applications of homotopy perturbation method and Elzaki transform for solving nonlinear partial differential equations of fractional order. J. Nonlin. Evolut. Equat. Appl. 2016, 2015, 91–104. [Google Scholar]
- Odibat, Z.M. A study on the convergence of variational iteration method. Math. Comput. Model. 2010, 51, 1181–1192. [Google Scholar] [CrossRef]
- Zedan, H.A.; Tantawy, S.S.; Sayed, Y.M. Convergence of the variational iteration method for initial-boundary value problem of fractional integrodifferential equations. J. Fract. Calc. Appl. 2014, 5 (Suppl. 3), 1–14. [Google Scholar]












Publisher’s Note: MDPI stays neutral with regard to jurisdictional claims in published maps and institutional affiliations. |
© 2021 by the authors. Licensee MDPI, Basel, Switzerland. This article is an open access article distributed under the terms and conditions of the Creative Commons Attribution (CC BY) license (https://creativecommons.org/licenses/by/4.0/).
Share and Cite
Zhou, S.-S.; Shah, N.A.; Dassios, I.; Saleem, S.; Nonlaopon, K. A Comparative Analysis of Fractional-Order Gas Dynamics Equations via Analytical Techniques. Mathematics 2021, 9, 1735. https://doi.org/10.3390/math9151735
Zhou S-S, Shah NA, Dassios I, Saleem S, Nonlaopon K. A Comparative Analysis of Fractional-Order Gas Dynamics Equations via Analytical Techniques. Mathematics. 2021; 9(15):1735. https://doi.org/10.3390/math9151735
Chicago/Turabian StyleZhou, Shuang-Shuang, Nehad Ali Shah, Ioannis Dassios, S. Saleem, and Kamsing Nonlaopon. 2021. "A Comparative Analysis of Fractional-Order Gas Dynamics Equations via Analytical Techniques" Mathematics 9, no. 15: 1735. https://doi.org/10.3390/math9151735
APA StyleZhou, S.-S., Shah, N. A., Dassios, I., Saleem, S., & Nonlaopon, K. (2021). A Comparative Analysis of Fractional-Order Gas Dynamics Equations via Analytical Techniques. Mathematics, 9(15), 1735. https://doi.org/10.3390/math9151735

