Finite-Time Projective Synchronization of Caputo Type Fractional Complex-Valued Delayed Neural Networks
Abstract
1. Introduction
2. Preliminaries and Model Description
- (1)
- , ;
- (2)
- , ;
- (3)
- , .
3. Results
3.1. Finite-Time Projective Synchronization with Feedback Controller
3.2. Finite-Time Projective Synchronization with Adaptive Controller
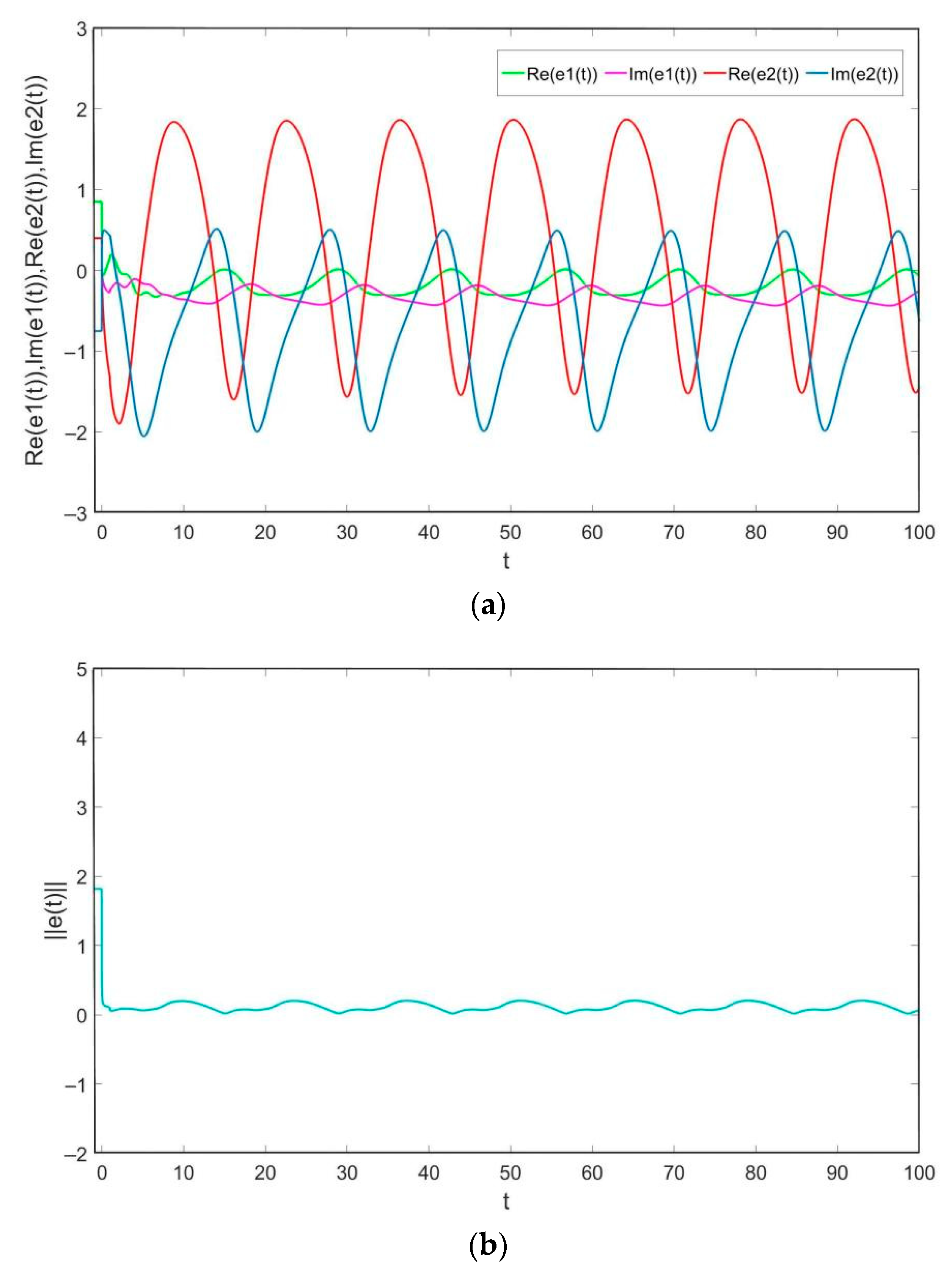
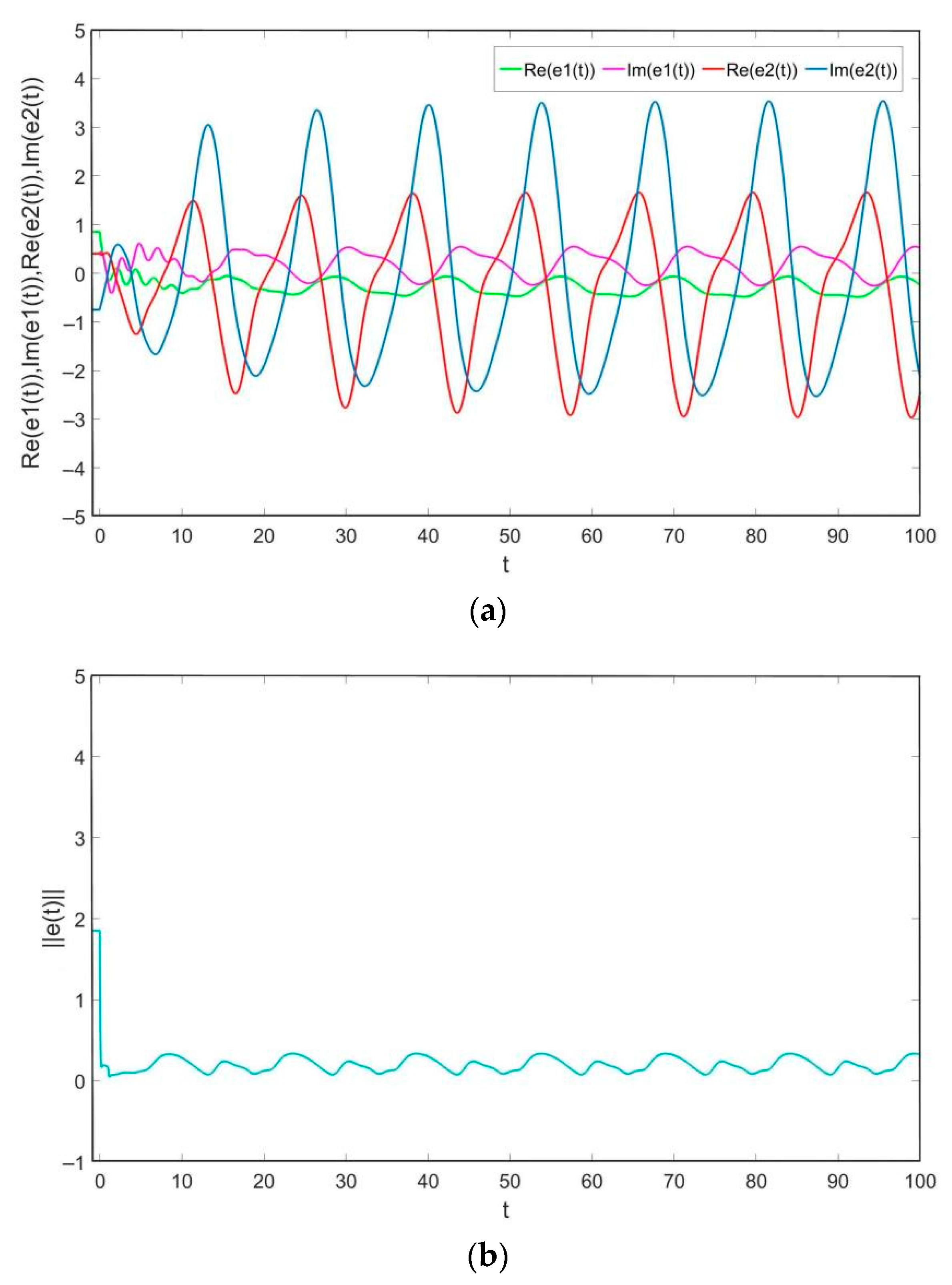
4. Numerical Simulations
5. Conclusions
Author Contributions
Funding
Institutional Review Board Statement
Informed Consent Statement
Data Availability Statement
Conflicts of Interest
References
- Zhang, T.T.; Yu, Y.G.; Cui, X.L. Dynamical behaviors analysis of memristor-based fractional-order complex-valued neural networks with time delay. Appl. Math. Comput. 2018, 339, 242–258. [Google Scholar] [CrossRef]
- Zhang, W.W.; Zhang, H.; Cao, J.D.; Zhang, H.M.; Chen, D.Y. Synchronization of delayed fractional-order complex-valued neural networks with leakage delay. Phys. A Stat. Mech. Its Appl. 2020, 556, 124710. [Google Scholar] [CrossRef]
- Zhang, H.; Ye, M.; Ye, R.; Cao, J. Synchronization stability of Riemann-Liouville fractional delay-coupled complex neural networks. Phys. A Stat. Mech. Its Appl. 2018, 508, 155–165. [Google Scholar] [CrossRef]
- Hu, T.T.; He, Z.; Zhang, X.J.; Zhong, S.M. Finite-time stability for fractional-order complex-valued neural networks with time delay. Appl. Math. Comput. 2020, 365, 124715. [Google Scholar] [CrossRef]
- Zheng, B.B.; Hu, C.; Yu, J.; Jiang, H.J. Finite-time synchronization of fully complex-valued neural networks with fractional-order. Neurocomputing 2020, 373, 70–80. [Google Scholar] [CrossRef]
- Zhang, H.; Ye, R.; Cao, J.; Alsaedi, A. Delay-independent stability of Riemann-Liouville fractional neutral-type delayed neural networks. Neural Process. Lett. 2018, 47, 427–442. [Google Scholar] [CrossRef]
- Alimi, A.M.; Aouiti, C.; Assali, E.A. Finite-time and fixed-time synchronization of a class of inertial neural networks with multi-proportional delays and its application to secure communication. Neurocomputing 2019, 332, 29–43. [Google Scholar] [CrossRef]
- Wen, S.; Zeng, Z.; Huang, T.; Meng, Q.; Yao, W. Lag synchronization of switched neural networks via neural activation function and applications in image Encryption. Neural Netw. 2015, 26, 1493–1502. [Google Scholar] [CrossRef]
- Hoppensteadt, F.; Izhikevich, E. Pattern recognition via synchronization in phase-locked loop neural networks. IEEE Trans. Neural Netw. 2000, 11, 734–738. [Google Scholar] [CrossRef]
- Gan, Q.T.; Xu, R.; Kang, X.B. Synchronization of chaotic neural networks with mixed time-delays. Commun. Nonlinear Sci. Numer. Simul. 2011, 16, 966–974. [Google Scholar] [CrossRef]
- Zhang, W.; Cao, J.; Wu, R.; Alsaadi, F.E.; Alsaedi, A. Lag projective synchronization of fractional-order delayed chaotic systems. J. Frankl. Inst. 2019, 356, 1522–1534. [Google Scholar] [CrossRef]
- Wei, X.; Zhang, Z.; Liu, M.; Wang, Z.; Chen, J. Anti-synchronization for complex-valued neural networks with leakage delay and time-varying delays. Neurocomputing 2020, 412, 312–319. [Google Scholar] [CrossRef]
- Yang, X.; Li, C.; Huang, T.; Song, Q.; Chen, X. Quasi-uniform synchronization of fractional-order memristor-based neural networks with delay. Neurocomputing 2017, 234, 205–215. [Google Scholar] [CrossRef]
- Li, H.L.; Hu, C.; Cao, J.D.; Jiang, H.J.; Alsaedi, A. Quasi-projective and complete synchronization of fractional-order complex-valued neural networks with time delays. Neural Netw. 2019, 118, 102–109. [Google Scholar] [CrossRef] [PubMed]
- Zhang, W.W.; Zhang, H.; Cao, J.D.; Alsaadi, F.E.; Chen, D.Y. Synchronization in uncertain fractional-order memristive complex-valued neural networks with multiple time delays. Neural Netw. 2019, 110, 186–198. [Google Scholar] [CrossRef]
- Chen, J.J.; Zeng, Z.G.; Jiang, P. Global Mittag-Leffler stability and synchronization of memristor-based fractional-order neural networks. Neural Netw. 2014, 51, 1–8. [Google Scholar] [CrossRef] [PubMed]
- You, X.X.; Song, Q.K.; Zhao, Z.J. Global Mittag-Leffler stability and synchronization of discrete-time fractional-order complex-valued neural networks with time delay. Neural Netw. 2020, 122, 382–394. [Google Scholar] [CrossRef] [PubMed]
- Zhang, H.; Xie, Y.; Wang, Z.; Zheng, C. Adaptive synchronization between two different chaotic neural networks with time delay. IEEE Trans. Neural Netw. 2007, 18, 1841–1845. [Google Scholar] [CrossRef]
- Xu, W.; Zhu, S.; Fang, X.Y.; Wang, W. Adaptive synchronization of memristor-based complex-valued neural networks with time delays. Neurocomputing 2019, 364, 119–128. [Google Scholar] [CrossRef]
- Li, H.L.; Jiang, Y.L.; Wang, Z.L. Anti-synchronization and intermittent anti-synchronization of two identical hyperchaotic Chua systems via impulsive control. Nonlinear Dyn. 2015, 79, 919–925. [Google Scholar] [CrossRef]
- Zhang, G.D.; Shen, Y. Exponential synchronization of delayed memristor-based chaotic neural networks via periodically intermittent control. Neural Netw. 2014, 55, 1–10. [Google Scholar] [CrossRef]
- Velmurugan, G.; Rakkiyappan, R.; Cao, J.D. Finite-time synchronization of fractional-order memristor-based neural networks with time delays. Neural Networks 2016, 73, 36–46. [Google Scholar] [CrossRef] [PubMed]
- Du, F.F.; Lu, J.G. New criterion for finite-time synchronization of fractional-order memristor-based neural networks with time delay. Appl. Math. Comput. 2021, 389, 125616. [Google Scholar] [CrossRef]
- Kilbas, A.A.; Srivastava, H.M.; Trujillo, J.J. Theory and Application of Fractional Differential Equations; Elsevier Science B.V.: Amsterdam, The Netherlands, 2006. [Google Scholar]
- Li, C.; Deng, W. Remarks on fractional derivatives. Appl. Math. Comput. 2007, 187, 777–784. [Google Scholar] [CrossRef]
- Yang, S.; Yu, J.; Hu, C.; Jiang, H.J. Quasi-projection synchronization of fractional-order complex-valued recurrent neural networks. Neural Netw. 2018, 104, 104–112. [Google Scholar] [CrossRef]
- Chen, Z.; Wu, G.; Fu, X. Synchronization of a network coupled with complex-variable chaotic systems. Chaos 2012, 22, 023127. [Google Scholar]
- Yu, J.; Hu, C.; Jiang, H. Corrogendum to projective synchronization for fractional neural networks. Neural Netw. 2015, 67, 152–154. [Google Scholar] [CrossRef]
- Kuczma, M. An Introduction to the Theory of Functional Equations and Inequalities: Cauchy’s Equation and Jensen’s Inequality; Birkhauser Verlag AG: Basel, Switzerland; Boston, MA, USA; Berlin, Germany, 2009. [Google Scholar]
- Li, H.L.; Cao, J.; Jiang, H.; Alsaedi, A. Graph theory-based finite-time synchronization of fractional-order complex dynamical networks. J. Frankl. Inst. 2018, 355, 5771–5789. [Google Scholar] [CrossRef]
- Qin, X.; Wang, C.; Li, L. Finite-time modified projective synchronization of memristor-based neural networks with multi-links and leakage. Chaos Solitons Fractals 2018, 116, 302–315. [Google Scholar] [CrossRef]
- Qin, X.; Wang, C.; Li, L.; Peng, H.; Yang, Y.; Ye, L. Finite-time projective synchronization of memristor-based neural networks with leakage and time-varying delays. Phys. A Stat. Mech. Its Appl. 2019, 531, 121788. [Google Scholar] [CrossRef]
- Xu, Y.; Li, W.X. Finite-time synchronization of fractional-order complex-valued coupled systems. Phys. A Stat. Mech. Its Appl. 2020, 549, 123903. [Google Scholar] [CrossRef]






Publisher’s Note: MDPI stays neutral with regard to jurisdictional claims in published maps and institutional affiliations. |
© 2021 by the authors. Licensee MDPI, Basel, Switzerland. This article is an open access article distributed under the terms and conditions of the Creative Commons Attribution (CC BY) license (https://creativecommons.org/licenses/by/4.0/).
Share and Cite
Wang, S.; Zhang, H.; Zhang, W.; Zhang, H. Finite-Time Projective Synchronization of Caputo Type Fractional Complex-Valued Delayed Neural Networks. Mathematics 2021, 9, 1406. https://doi.org/10.3390/math9121406
Wang S, Zhang H, Zhang W, Zhang H. Finite-Time Projective Synchronization of Caputo Type Fractional Complex-Valued Delayed Neural Networks. Mathematics. 2021; 9(12):1406. https://doi.org/10.3390/math9121406
Chicago/Turabian StyleWang, Shuang, Hai Zhang, Weiwei Zhang, and Hongmei Zhang. 2021. "Finite-Time Projective Synchronization of Caputo Type Fractional Complex-Valued Delayed Neural Networks" Mathematics 9, no. 12: 1406. https://doi.org/10.3390/math9121406
APA StyleWang, S., Zhang, H., Zhang, W., & Zhang, H. (2021). Finite-Time Projective Synchronization of Caputo Type Fractional Complex-Valued Delayed Neural Networks. Mathematics, 9(12), 1406. https://doi.org/10.3390/math9121406

