Dynamic Characteristics Analysis of ISD Suspension System under Different Working Conditions
Abstract
1. Introduction
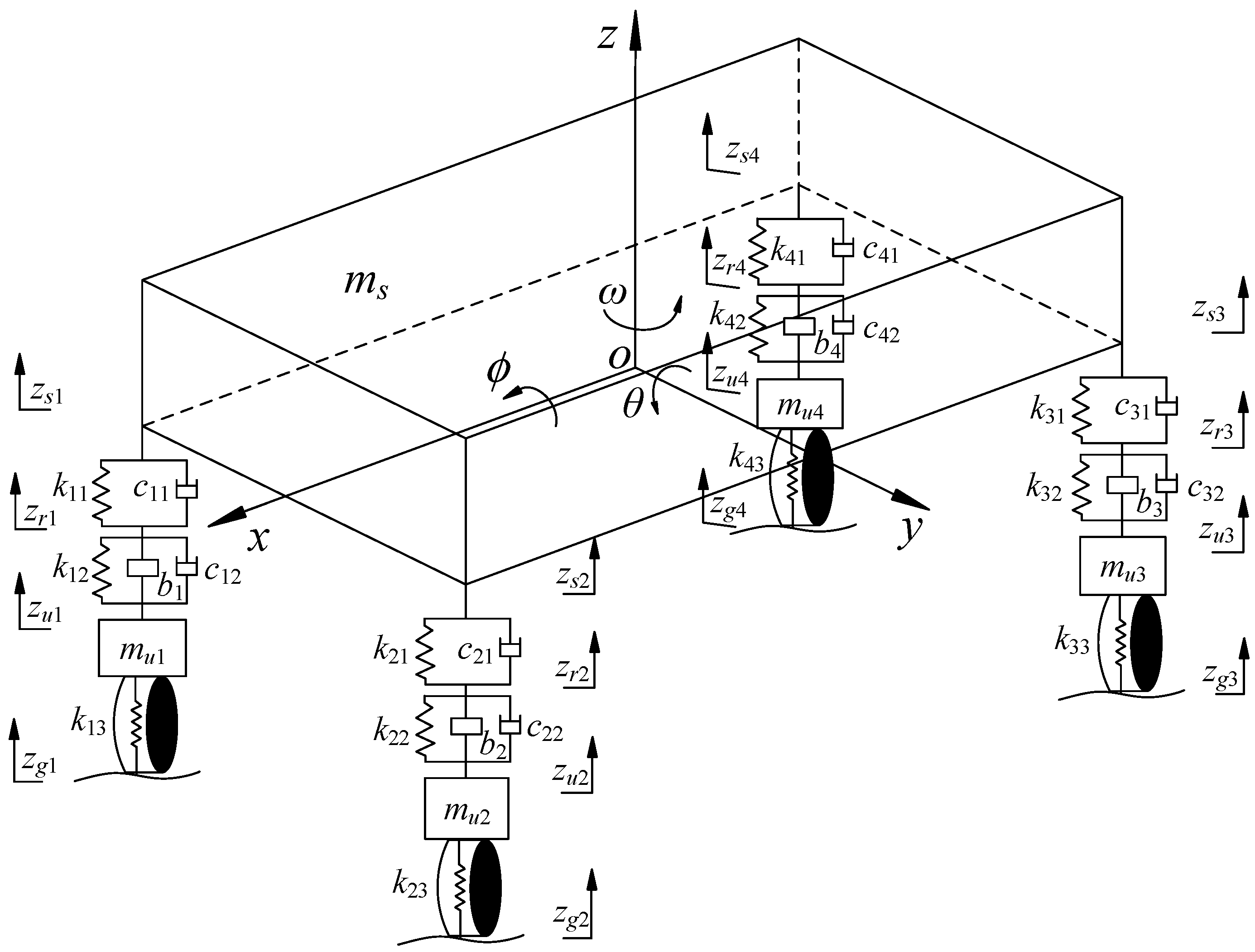
2. Dynamic Model of Vehicle Suspension System
2.1. Vehicle Model with ISD Suspension
2.2. Dynamic Model of Vehicle System
3. Different Types of Road Incentive Models
3.1. Fitting Periodic Road Excitation Model
3.2. Consecutive Speed Control Humps Model
3.3. Coupled Road Excitation Model
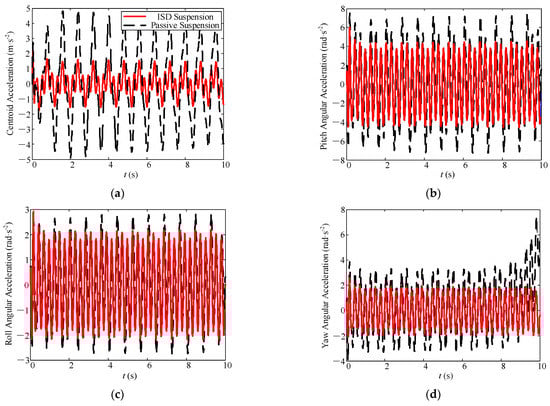
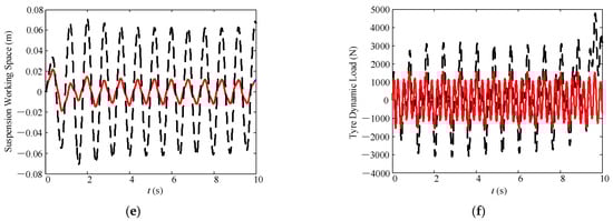
4. Dynamic Characteristics Analysis
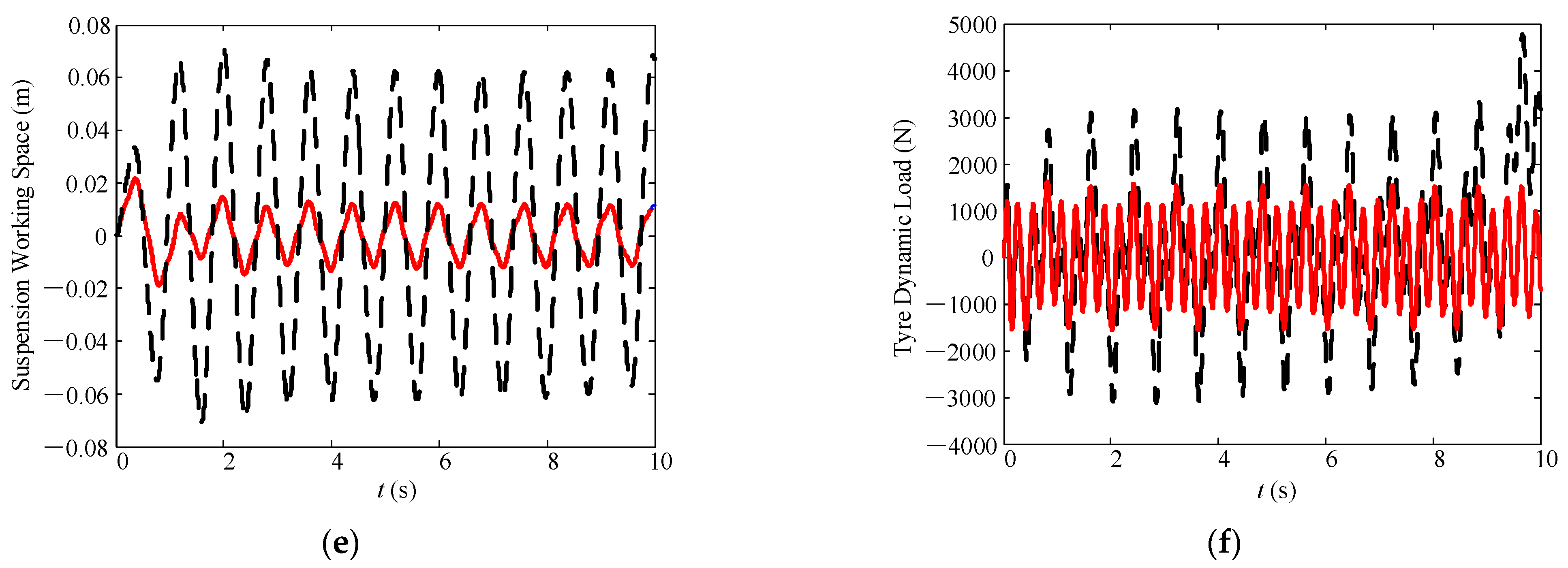
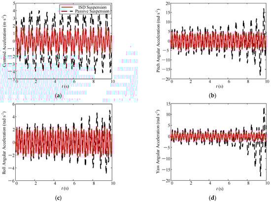
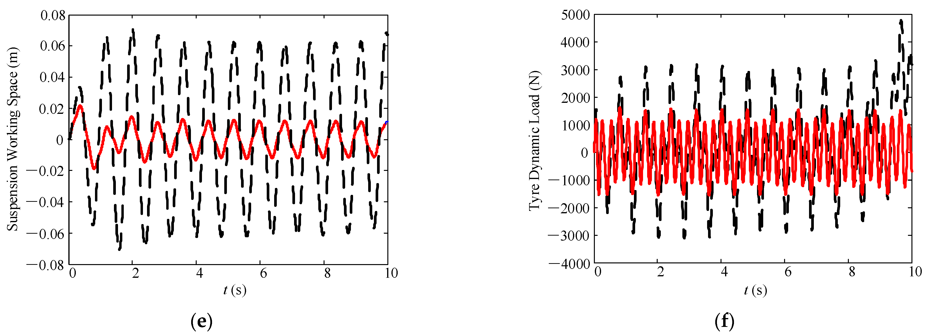
4.1. Dynamic Responses under Fitting Periodic Road Excitation
4.2. Dynamic Responses of Consecutive Speed Control Humps
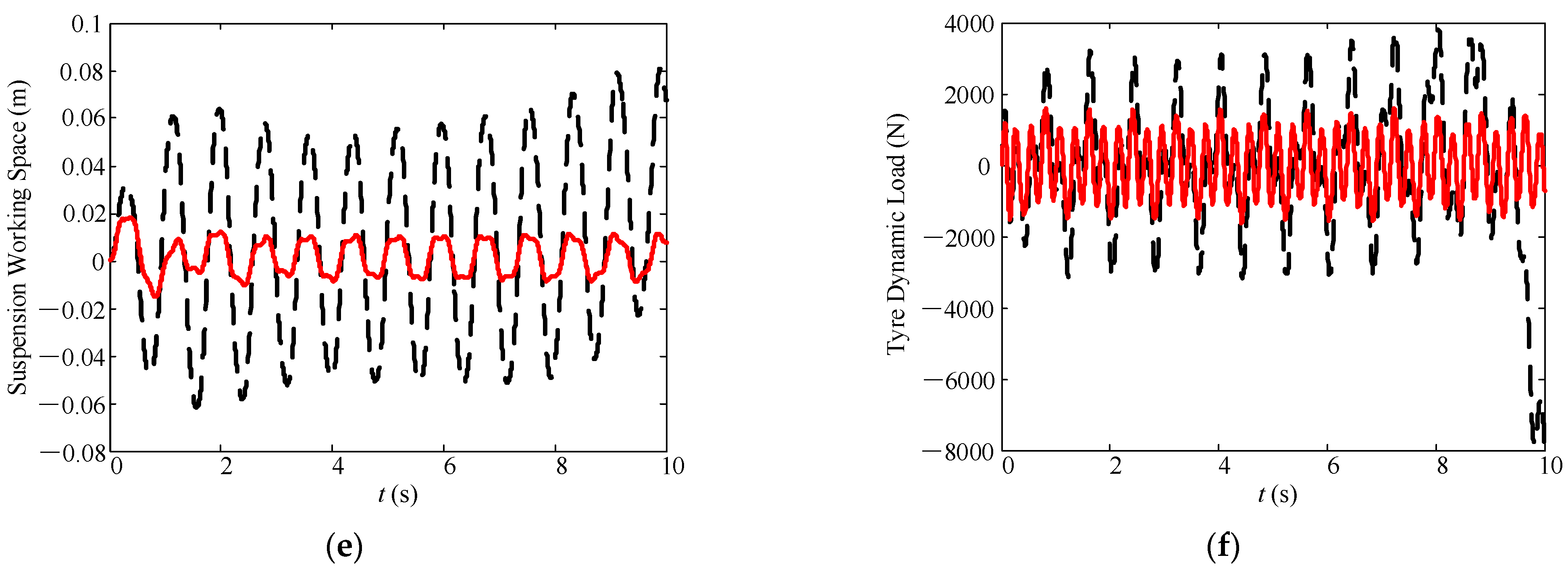
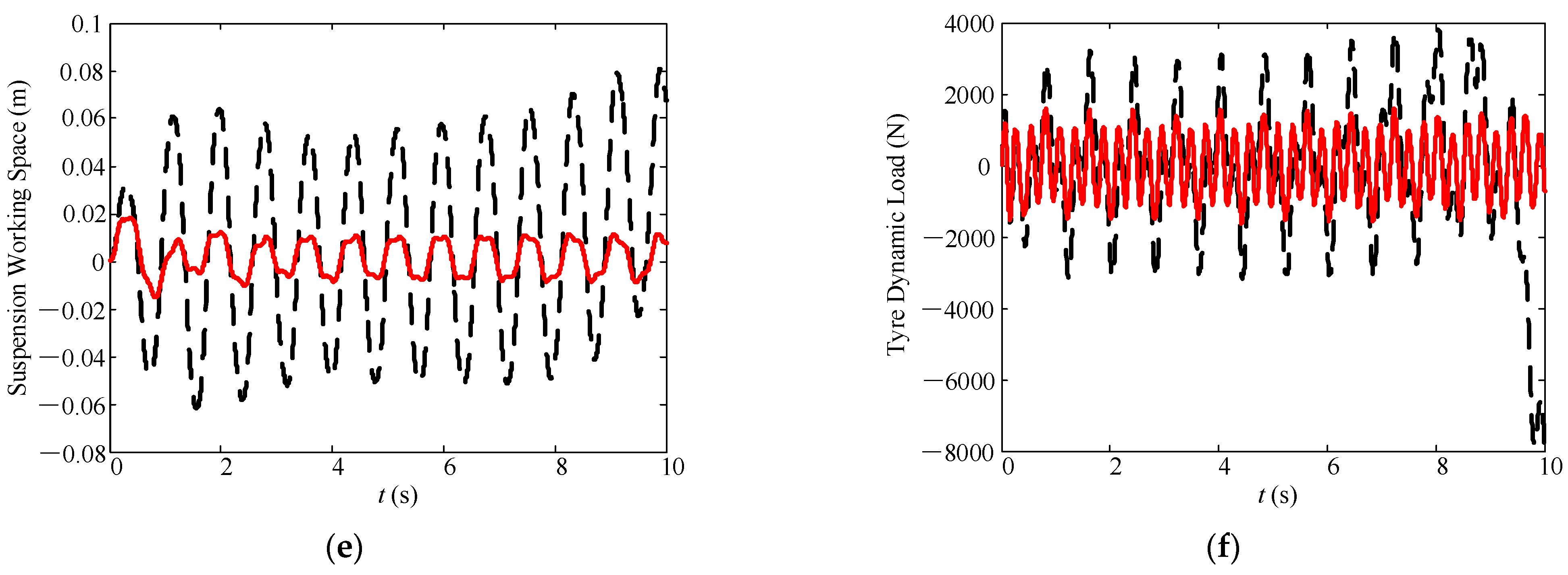
4.3. Dynamic Responses of Coupled Road Excitation
4.4. Performance Improvement under Different Road Excitations
5. Conclusions
- (1)
- When vehicles with ISD suspension system pass through different types of road excitation, the corresponding optimal vehicle speed exists. When the vehicle passes through the fitting periodic road excitation, the optimal vehicle speed is 65 km/h. When the vehicle passes through the consecutive speed control humps, the optimal vehicle speed is 80 km/h. When the vehicle passes through the coupled road excitation, the optimal vehicle speed is 75 km/h. The ISD suspension system has the best comprehensive vibration reduction performance when driving at the optimal vehicle speed.
- (2)
- Compared with the fitting periodic road excitation, the objective function curve under the coupled road excitation is relatively not smooth, and the speed limit under the coupled road excitation is lower than that under the consecutive speed control humps.
- (3)
- Under different types of road excitation input, the vibration reduction performance of ISD suspension is better than that of passive suspension. Compared with passive suspension, vehicle with ISD suspension has better ride comfort and stability.
- (4)
- Compared with fitting periodic road excitation and consecutive speed control humps, the vibration reduction performance of ISD suspension under coupled road excitation is further improved, which indicates that ISD suspension is more suitable for vibration reduction under complex road excitation.
Author Contributions
Funding
Institutional Review Board Statement
Informed Consent Statement
Data Availability Statement
Conflicts of Interest
References
- Wang, F.C.; Su, W.J. Impact of inerter nonlinearities on vehicle suspension control. Veh. Syst. Dyn. 2008, 46, 575–595. [Google Scholar] [CrossRef]
- Zhou, S.; Song, G.; Wang, R.; Ren, Z.; Wen, B. Nonlinear dynamic analysis for coupled vehicle-bridge vibration system on nonlinear foundation. Mech. Syst. Signal Process. 2017, 87, 259–278. [Google Scholar] [CrossRef]
- Li, H.; Liu, H.; Gao, H.; Shi, P. Reliable Fuzzy Control for Active Suspension Systems with Actuator Delay and Fault. IEEE Trans. Fuzzy Syst. 2012, 20, 342–357. [Google Scholar] [CrossRef]
- Liu, Y.-J.; Zeng, Q.; Tong, S.; Chen, C.L.P.; Liu, L. Adaptive Neural Network Control for Active Suspension Systems with Time-Varying Vertical Displacement and Speed Constraints. IEEE Trans. Ind. Electron. 2019, 66, 9458–9466. [Google Scholar] [CrossRef]
- Nie, S.; Zhuang, Y.; Liu, W.; Chen, F. A semi-active suspension control algorithm for vehicle comprehensive vertical dynamics performance. Veh. Syst. Dyn. 2017, 55, 1099–1122. [Google Scholar] [CrossRef]
- Ata, W.G.; Salem, A.M. Semi-active control of tracked vehicle suspension incorporating magnetorheological dampers. Veh. Syst. Dyn. 2017, 55, 626–647. [Google Scholar] [CrossRef]
- Van, D.W.S.F.; Els, P.S. Slow active suspension control for rollover prevention. J. Terramech. 2013, 50, 29–36. [Google Scholar] [CrossRef]
- Parida, N.C.; Raha, S.; Ramani, A. Rollover-Preventive Force Synthesis at Active Suspensions in a Vehicle Performing a Severe Maneuver with Wheels Lifted Off. IEEE Trans. Intell. Transp. Syst. 2014, 15, 2583–2594. [Google Scholar] [CrossRef]
- Smith, M. Synthesis of mechanical networks: The inerter. IEEE Trans. Autom. Control. 2002, 47, 1648–1662. [Google Scholar] [CrossRef]
- Zhang, X.J.; Ahmadian, M.; Guo, K.-H. On the Benefits of Semi-Active Suspensions with Inerters. Shock. Vib. 2012, 19, 257–272. [Google Scholar] [CrossRef]
- Kuznetsov, A.; Mammadov, M.; Sultan, I.; Hajilarov, E. Optimization of improved suspension system with inerter device of the quarter-car model in vibration analysis. Arch. Appl. Mech. 2010, 81, 1427–1437. [Google Scholar] [CrossRef]
- Papageorgiou, C.; Smith, M. Laboratory experimental testing of inerters. In Proceedings of the 44th IEEE Conference on Decision and Control, Seville, Spain, 15 December 2005; Institute of Electrical and Electronics Engineers (IEEE): Piscataway, NJ, USA, 2006; pp. 3351–3356. [Google Scholar]
- Jiang, J.Z.; Smith, M.C. On the classification of series-parallel electrical and mechanical networks. In Proceedings of the 2010 American Control Conference, Baltimore, MD, USA, 30 June–2 July 2010; Institute of Electrical and Electronics Engineers (IEEE): Piscataway, NJ, USA, 2010; pp. 1416–1421. [Google Scholar]
- Jiang, J.Z.; Smith, M.C. Regular Positive-Real Functions and Five-Element Network Synthesis for Electrical and Mechanical Networks. IEEE Trans. Autom. Control. 2011, 56, 1275–1290. [Google Scholar] [CrossRef]
- Papageorgiou, C.; Smith, M. Positive real synthesis using matrix inequalities for mechanical networks: Application to vehicle suspension. IEEE Trans. Control. Syst. Technol. 2006, 14, 423–435. [Google Scholar] [CrossRef]
- Wang, F.C.; Yu, C.H.; Chang, M.L.; Hsu, M. The Performance Improvements of Train Suspension Systems with Inerters. In Proceedings of the 45th IEEE Conference on Decision and Control, San Diego, CA, USA, 13–15 December 2006; Institute of Electrical and Electronics Engineers (IEEE): Piscataway, NJ, USA, 2006; pp. 1472–1477. [Google Scholar]
- Wang, F.C.; Liao, M.K.; Liao, B.H.; Su, W.J.; Chan, H.A. The performance improvements of train suspension systems with mechanical networks employing inerters. Veh. Syst. Dyn. 2009, 47, 805–830. [Google Scholar] [CrossRef]
- Wang, F.C.; Chen, C.W.; Liao, M.K.; Hong, M.F. Performance analyses of building suspension control with inerters. In Proceedings of the 46th IEEE Conference on Decision and Control, New Orleans, LA, USA, 12–14 December 2007; pp. 3786–3791. [Google Scholar]
- Shen, Y.; Chen, L.; Yang, X.; Shi, D.; Yang, J. Improved design of dynamic vibration absorber by using the inerter and its application in vehicle suspension. J. Sound Vib. 2016, 361, 148–158. [Google Scholar] [CrossRef]
- Hu, Y.; Chen, M.Z. Performance evaluation for inerter-based dynamic vibration absorbers. Int. J. Mech. Sci. 2015, 99, 297–307. [Google Scholar] [CrossRef]
- Liu, M.; Tai, W.-C.; Zuo, L. Vibration energy-harvesting using inerter-based two-degrees-of-freedom system. Mech. Syst. Signal Process. 2021, 146, 107000. [Google Scholar] [CrossRef]
- Zhao, Z.; Chen, Q.; Zhang, R.; Jiang, Y.; Xia, Y. Interaction of Two Adjacent Structures Coupled by Inerter-based System considering Soil Conditions. J. Earthq. Eng. 2020, 1–21. [Google Scholar] [CrossRef]
- Masnata, C.; Di Matteo, A.; Adam, C.; Pirrotta, A. Smart structures through nontraditional design of Tuned Mass Damper Inerter for higher control of base isolated systems. Mech. Res. Commun. 2020, 105, 103513. [Google Scholar] [CrossRef]
- Cacciola, P.; Tombari, A.; Giaralis, A. An inerter-equipped vibrating barrier for noninvasive motion control of seismically excited structures. Struct. Control. Heal. Monit. 2019, 27, 1–21. [Google Scholar] [CrossRef]
- Zhao, Z.; Chen, Q.; Zhang, R.; Pan, C.; Jiang, Y. Energy dissipation mechanism of inerter systems. Int. J. Mech. Sci. 2020, 184, 105845. [Google Scholar] [CrossRef]
- Zhang, Z.; Zhang, Y.-W.; Ding, H. Vibration control combining nonlinear isolation and nonlinear absorption. Nonlinear Dyn. 2020, 100, 2121–2139. [Google Scholar] [CrossRef]
- Zhao, G.; Raze, G.; Paknejad, A.; Deraemaeker, A.; Kerschen, G.; Collette, C. Active tuned inerter-damper for smart structures and its H_∞ optimisation. Mech. Syst. Signal Process. 2019, 129, 470–478. [Google Scholar] [CrossRef]
- Wang, Q.; Tiwari, N.D.; Qiao, H.; Wang, Q. Inerter-based tuned liquid column damper for seismic vibration control of a single-degree-of-freedom structure. Int. J. Mech. Sci. 2020, 184, 105840. [Google Scholar] [CrossRef]
- Pietrosanti, D.; De Angelis, M.; Basili, M. A generalized 2-DOF model for optimal design of MDOF structures controlled by Tuned Mass Damper Inerter (TMDI). Int. J. Mech. Sci. 2020, 185, 105849. [Google Scholar] [CrossRef]
- Ma, R.; Bi, K.; Hao, H. Heave motion mitigation of semi-submersible platform using inerter-based vibration isolation system (IVIS). Eng. Struct. 2020, 219, 110833. [Google Scholar] [CrossRef]
- Liu, X.; Jiang, J.Z.; Harrison, A.; Na, X. Truck suspension incorporating inerters to minimise road damage. Proc. Inst. Mech. Eng. Part D J. Automob. Eng. 2020, 234, 2693–2705. [Google Scholar] [CrossRef]
- Shen, Y.; Jiang, J.Z.; Neild, S.A.; Chen, L. Vehicle vibration suppression using an inerter-based mechatronic device. Proc. Inst. Mech. Eng. Part D J. Automob. Eng. 2020, 234, 2592–2601. [Google Scholar] [CrossRef]
- Zhu, Q.; Ishitobi, M. Chaos and bifurcations in a nonlinear vehicle model. J. Sound Vib. 2004, 275, 1136–1146. [Google Scholar] [CrossRef]
- Zhou, S.; Song, G.; Ren, Z.; Wen, B. Nonlinear dynamic analysis of a parametrically excited vehicle–bridge interaction system. Nonlinear Dyn. 2017, 88, 2139–2159. [Google Scholar] [CrossRef]















| Item | Notation | Value |
|---|---|---|
| Vehicle mass | m | 1500 kg |
| Vehicle body mass | ms | 1342 kg |
| Front non-spring-loaded mass | mu1, mu2 | 90 kg |
| Rear non-spring-loaded mass | mu3, mu4 | 70 kg |
| Body roll moment of inertia | Ix | 521 kg·m2 |
| Body pitch moment of inertia | Iy | 2436 kg·m2 |
| Body yaw moment of inertia | Iz | 2120 kg·m2 |
| Vehicle yaw moment of inertia | I | 2414 kg·m2 |
| Inertia product of body mass | Ixz | 1165 kg·m2 |
| Height from centroid to roll center | H | 0.083 m |
| Distance from the centroid of vehicle mass to body mass | Ls | 0.12 m |
| Distance from the front axle to the centroid | a | 1.219 m |
| Distance from the rear axle to the centroid | e | 1.252 m |
| Half tread of left and right wheels | d | 0.72 m |
| Spring stiffness of first stage suspension (1,2) | k11, k21 | 19 kN·m−1 |
| Spring stiffness of first stage suspension (3,4) | k31, k41 | 14.7 kN·m−1 |
| Damping coefficient of first stage suspension (1,2) | c11, c21 | 0.897 kN·s·m−1 |
| Damping coefficient of first stage suspension (3,4) | c31, c41 | 0.769 kN·s·m−1 |
| Tyre stiffness | k13, k23, k33, k43 | 150 kN·m−1 |
| Spring stiffness of second stage suspension (1,2,3,4) | k12, k22, k32, k42 | 10 kN·m−1 |
| Damping coefficient of second stage suspension (1,2) | c12, c22 | 1.194 kN·s·m−1 |
| Damping coefficient of second stage suspension (3,4) | c32, c42 | 1.068 kN·s·m−1 |
| Inertance of the front suspension | b1, b2 | 153 kg |
| Inertance of the rear suspension | b3, b4 | 136 kg |
| Performance | Value | Passive Suspension | ISD Suspension | Decrease Ratios (%) |
|---|---|---|---|---|
| Centroid acceleration (m·s−2) | RMS | 2.7182 | 0.8155 | 70.0 |
| Peak | 4.9244 | 2.3082 | 53.1 | |
| Pitch angular acceleration (rad·s−2) | RMS | 3.8319 | 2.8658 | 25.2 |
| Peak | 7.5659 | 6.0220 | 24.9 | |
| Roll angular acceleration (rad·s−2) | RMS | 1.4627 | 1.3827 | 5.5 |
| Peak | 2.9197 | 2.9115 | 0.3 | |
| Yaw angular acceleration (rad·s−2) | RMS | 2.2076 | 1.2101 | 45.2 |
| Peak | 7.4196 | 2.5874 | 65.1 | |
| Suspension working space (m) | RMS | 0.0434 | 0.0084 | 80.6 |
| Peak | 0.0715 | 0.0218 | 69.5 | |
| Tyre dynamic load (N) | RMS | 1642.4 | 900.2 | 45.2 |
| Peak | 4784.7 | 1622.4 | 66.1 |
| Performance | Value | Passive Suspension | ISD Suspension | Decrease Ratios (%) |
|---|---|---|---|---|
| Centroid acceleration (m·s−2) | RMS | 0.1635 | 0.1417 | 13.3 |
| Peak | 0.4749 | 0.4421 | 6.9 | |
| Pitch angular acceleration (rad·s−2) | RMS | 0.2033 | 0.1359 | 33.2 |
| Peak | 0.7088 | 0.4481 | 36.8 | |
| Roll angular acceleration (rad·s−2) | RMS | 0.0779 | 0.0656 | 15.8 |
| Peak | 0.2717 | 0.2163 | 20.3 | |
| Yaw angular acceleration (rad·s−2) | RMS | 0.1067 | 0.0601 | 43.7 |
| Peak | 0.3709 | 0.2043 | 44.9 | |
| Suspension working space (m) | RMS | 0.0013 | 0.0012 | 7.7 |
| Peak | 0.0030 | 0.0022 | 26.6 | |
| Tyre dynamic load (N) | RMS | 73.78 | 55.89 | 24.2 |
| Peak | 212.1 | 168.2 | 20.7 |
| Performance | Value | Passive Suspension | ISD Suspension | Decrease Ratios (%) |
|---|---|---|---|---|
| Centroid acceleration (m·s−2) | RMS | 2.6075 | 0.9915 | 62.0 |
| Peak | 4.6425 | 1.9253 | 58.5 | |
| Pitch angular acceleration (rad·s−2) | RMS | 5.2220 | 2.8001 | 46.4 |
| Peak | 18.116 | 4.9786 | 72.5 | |
| Roll angular acceleration (rad·s−2) | RMS | 1.8531 | 1.3518 | 27.1 |
| Peak | 5.0138 | 2.4164 | 51.8 | |
| Yaw angular acceleration (rad·s−2) | RMS | 3.7834 | 1.2201 | 67.8 |
| Peak | 18.022 | 2.0781 | 88.5 | |
| Suspension working space (m) | RMS | 0.0401 | 0.0078 | 80.5 |
| Peak | 0.0810 | 0.0180 | 77.8 | |
| Tyre dynamic load (N) | RMS | 2075.8 | 859.83 | 58.6 |
| Peak | 7858.9 | 1647.0 | 79.0 |
Publisher’s Note: MDPI stays neutral with regard to jurisdictional claims in published maps and institutional affiliations. |
© 2021 by the authors. Licensee MDPI, Basel, Switzerland. This article is an open access article distributed under the terms and conditions of the Creative Commons Attribution (CC BY) license (https://creativecommons.org/licenses/by/4.0/).
Share and Cite
Li, X.; Li, F.; Shang, D. Dynamic Characteristics Analysis of ISD Suspension System under Different Working Conditions. Mathematics 2021, 9, 1345. https://doi.org/10.3390/math9121345
Li X, Li F, Shang D. Dynamic Characteristics Analysis of ISD Suspension System under Different Working Conditions. Mathematics. 2021; 9(12):1345. https://doi.org/10.3390/math9121345
Chicago/Turabian StyleLi, Xiaopeng, Fanjie Li, and Dongyang Shang. 2021. "Dynamic Characteristics Analysis of ISD Suspension System under Different Working Conditions" Mathematics 9, no. 12: 1345. https://doi.org/10.3390/math9121345
APA StyleLi, X., Li, F., & Shang, D. (2021). Dynamic Characteristics Analysis of ISD Suspension System under Different Working Conditions. Mathematics, 9(12), 1345. https://doi.org/10.3390/math9121345

