Next Article in Journal
Set-Valued Symmetric Generalized Strong Vector Quasi-Equilibrium Problems with Variable Ordering Structures
Previous Article in Journal
Solitary Wave Solutions of the Generalized Rosenau-KdV-RLW Equation
 
 
Font Type:
Arial Georgia Verdana
Font Size:
Aa Aa Aa
Line Spacing:
Column Width:
Background:
Article

Quantized-Feedback-Based Adaptive Event-Triggered Control of a Class of Uncertain Nonlinear Systems

School of Electrical and Electronics Engineering, Chung-Ang University, 84 Heukseok-Ro, Dongjak-Gu, Seoul 06974, Korea
*
Author to whom correspondence should be addressed.
Mathematics 2020, 8(9), 1603; https://doi.org/10.3390/math8091603
Submission received: 14 August 2020 / Revised: 8 September 2020 / Accepted: 15 September 2020 / Published: 17 September 2020

Abstract

A quantized-feedback-based adaptive event-triggered tracking problem is investigated for strict-feedback nonlinear systems with unknown nonlinearities and external disturbances. All state variables are quantized through a uniform quantizer and the quantized states are only measurable for the control design. An approximation-based adaptive event-triggered control strategy using quantized states is presented. Compared with the existing recursive quantized feedback control results, the primary contributions of the proposed strategy are (1) to derive a quantized-states-based function approximation mechanism for compensating for unknown and unmatched nonlinearities and (2) to design a quantized-states-based event triggering law for the intermittent update of the control signal. A Lyapunov-based stability analysis is provided to conclude that closed-loop signals are uniformly ultimately bounded and there exists a minimum inter-event time for excluding Zeno behavior. In simulation results, it is shown that the proposed quantized-feedback-based event-triggered control law can be implemented with less than 10% of the total sample data of the existing quantized-feedback continuous control law.

1. Introduction

As networked control systems including digital communication channels have been successfully utilized in various industrial applications, significant research efforts have been devoted to control designs using input and state quantization [1,2,3]. Concurrently, nonlinear systems have been widely studied and significant progress has been achieved in the analysis and the control of nonlinear systems. On the other hand, recursive control techniques have attracted much attention as effective ways for dealing with the unmatched nonlinearities of lower-triangular nonlinear systems [4,5,6]. Based on these recursive control techniques, adaptive control strategies were presented for input-quantized lower-triangular nonlinear systems with unknown parameters [7,8] and completely unknown nonlinearities [9,10,11,12]. Fundamentally, the controllers designed in [9,10,11,12] assume that state variables are continuously measurable. As opposed to the previous works [7,8,9,10,11,12] considering input quantization, the control design problem of state-quantized nonlinear systems in a lower-triangular form has received limited attention. In [13], an adaptive quantized feedback backstepping controller using quantized state variables was presented under the assumption that the partial derivatives of recursive virtual controllers were constants. Thus, the result [13] is only usable for systems with nonlinear functions matched to a control input. In order to overcome this restriction, an adaptive quantized feedback control design methodology adopting the command filtered backstepping technique for lower-triangular nonlinear systems was recently presented in [14]. Despite this progress, two aspects still need to be addressed to realize further improvement in the quantized feedback control design [14].
(P1) In the existing work [14], unmatched nonlinearities should be known and satisfy the Lipchitz condition with known Lipchitz constants. Thus, it is still necessary to determine a method to address completely unknown and unmatched nonlinearities in the quantized feedback tracker design of lower-triangular nonlinear systems.
(P2) The result [14] may be impractical for a network-based control implementation in limited network resources because the control law designed in [14] should be updated continuously in time. Thus, the event-triggered operation strategy of the quantized-feedback-based controller needs to be studied.
Emerging event-triggered methodologies for network-based control have received increasing attention in the control society because of limited communication bandwidths in networks [15,16]. Unlike the conventional time-triggered strategy, an event-triggered strategy can reduce the amount of computation and communication resources required in networked control systems. Owing to these advantages, some event-triggered control methods were presented for linear and nonlinear networked control systems [17,18,19,20]. For lower-triangular nonlinear systems with parametric uncertainties, Xing et al. [21] first suggested an adaptive recursive event-triggered control approach using three types of thresholds. Thereafter, numerous event-triggered control issues have been addressed for uncertain lower-triangular nonlinear systems [22,23]. In [24,25,26,27,28], adaptive fuzzy or neural network event-triggered control methods were developed to compensate for non-parametric nonlinear uncertainties. However, in the event-triggered control field, the quantized state-feedback information of uncertain lower-triangular nonlinear systems has not been used to address the neural-network-based adaptive tracking problem thus far.
The aim of this paper is to establish a quantized-feedback-based event-triggered control methodology for the adaptive tracking of nonlinear strict-feedback systems with unknown nonlinearities and external disturbances. An approximation-based recursive control design using quantized state variables is developed to deal with unmatched and unknown nonlinearities and the time-varying disturbances. In the proposed design, adaptive laws and a triggering law using an auxiliary filter are derived by the quantized state variables. Furthermore, an adaptive tuning mechanism is provided to compensate for the effects of quantization and triggering errors. The stability of the closed-loop system and the prevention of Zeno behavior are analyzed in the Lyapunov sense.
Compared with existing related literature, the primary contributions of this paper are emphasized as follows:
(C1) Different from the recursive quantized feedback tracking method [14] where unmatched nonlinearities were known, the proposed tracking approach is capable of dealing with unmatched and unknown nonlinearities. This is achieved by designing quantized-states-based adaptive approximators and deriving three lemmas for the boundedness of the adaptation parameters and the quantization error signals.
(C2) The existing adaptive event-triggered control schemes [18,21,22,23,24,25,26,28] for nonlinear systems in a lower-triangular form did not consider the state quantization problem of nonlinear systems. In this paper, we first present a quantized-feedback-based event-triggered control strategy with a triggering law using quantized state variables. For this purpose, a triggering law using an auxiliary control input filter is designed to ensure the existence of inter-event time.

2. Problem Formulation

Consider a class of uncertain nonlinear systems in a strict-feedback form described by
x ˙ i = x i + 1 + f i ( x ¯ i ) + d i , x ˙ n = u + f n ( x ¯ n ) + d n ,
where i = 1 , , n 1 , x ¯ j = [ x 1 , , x j ] R j , j = 1 , , n , are state variable vectors, d j are unknown time-varying disturbances satisfying | d j | d j * with unknown constants d j * > 0 , u R is the control input, and f j ( · ) : R j R are unknown C 1 nonlinear functions. In this paper, the control input u is an intermittently updated signal in time by an event-triggering law to be designed later. In addition, u is designed based on the quantized state variables obtained through the following uniform quantizer
q ( x i ) = χ l , χ l δ 2 x i < χ l + δ 2 0 , δ 2 x i < δ 2 χ l , χ l δ 2 x i < χ l + δ 2
where i = 1 , , n , l Z + , δ is the length of the quantization interval, χ 1 = δ , and χ l + 1 = χ l + δ . Note that q ( x i ) is in a countable set Q = { 0 , ± χ l } and the quantization error κ x , i x i x i q has the property | κ x , i | δ where x i q q ( x i ) [17].
Assumption 1.
Ref. [13] The quantized states x i q , i = 1 , , n , are available for feedback, instead of x i .
Assumption 2.
Ref. [5] The reference signal r and its time derivatives r ˙ and r ¨ are bounded.
Lemma 1.
Ref. [29] For any η > 0 and ν R , it is ensured that 0 | ν | ν tanh ( ν / η ) 0.2785 η .
Lemma 2.
Ref. [30] When a matrix A R n × n is Hurwitz, it is satisfied that e A t β 1 e β 2 t with β 1 = λ max ( G ) / λ min ( G ) and β 2 = 1 / λ max ( G ) . Here, G is a symmetric positive definite matrix such that A G + G A = 2 I where I is an identity matrix of order n. In addition, λ max ( G ) and λ min ( G ) are the maximum and minimum eigenvalues of G, respectively.
Problem 1.
Consider the uncertain strict-feedback nonlinear system (1) with unknown nonlinearities and state quantizer (2). Our control problem is to provide a quantized-feedback-based event-triggered tracking law u so that the state x 1 follows the reference signal r while all the closed-loop signals remain bounded.
Remark 1.
Several real-world applications such as robot manipulations, electrical power systems, and aircraft systems can be modeled as system (1) [4,5]. Recent advances in the network technology enable the control of these systems over a network with limited communication resources. Then, the proposed theoretical result can be applied to these network-based practical control problems.
Remark 2.
Compared with the existing control results reported in the related literature [13,14,21,22,23,24,25,26], this study considers both the quantized state feedback and the event-triggered control problems in the recursive control framework of nonlinear lower-triangular systems. Accordingly, Problem 1 cannot be resolved by using the approaches presented in [13,14,21,22,23,24,25,26].

3. Quantized-Feedback-Based Adaptive Event-Triggered Tracking

3.1. Radial Basis Function Neural Networks

According to the universal approximation property of radial basis function neural networks (RBFNNs) [31], if the number of neural nodes N is sufficiently large and the basis functions s i , i = 1 , , N , are appropriately chosen, there exists an ideal bounded weight vector W * R N , that satisfies W * W ˘ with a constant W ˘ , such that
f ( ϱ ) = W * S ( ϱ ) + ε ( ϱ ) , ϱ Ω ,
where f ( ϱ ) : Ω R is an unknown function; Ω R M is a compact set, ϱ = [ ϱ 1 , , ϱ M ] is an input vector with M elements, ε represents an approximation reconstruction error satisfying | ε | ε * with a constant ε * > 0 , and S ( ϱ ) = [ s 1 ( ϱ ) , , s N ( ϱ ) ] R N is a basis function vector. In this study, s i ( ϱ ) are chosen as Gaussian functions s i ( ϱ ) = e ϱ c i 2 / φ 2 where i = 1 , , N , c i = [ c i 1 , , c i M ] R M is the center of the receptive field and φ is the width of the Gaussian functions. Note that Gaussian basis function vector is bounded as S ( ϱ ) S * where S * is a constant [32,33].

3.2. Quantized-Feedback-Based Event-Triggered Tracker Design

Based on the command filtered backstepping control technique [6], the proposed controller design procedure is conducted recursively. In this recursive design procedure, we use the following coordinate transformation
μ 1 = x 1 r , μ j + 1 = x j + 1 α ^ j , 1 , α ˜ j , 1 = α ^ j , 1 α j ,
where j = 1 , , n 1 , μ i , i = 1 , , n are error surfaces, α ˜ j , 1 are filtering errors, and α j and α ^ j , 1 are virtual control laws and their filtered signals, respectively. The signals α ^ j , 1 are calculated from the following low-pass filters
α ^ ˙ j , 1 = α ^ j , 2 , α ^ ˙ j , 2 = 2 ζ j ω j α ^ j , 2 ω j 2 ( α ^ j , 1 α j ) ,
with α ^ j , 1 ( 0 ) = α j ( 0 ) and α ^ j , 2 ( 0 ) = 0 . ζ j > 0 and ω j > 0 are the damping factors and the natural frequencies, respectively.
Step 1: Consider the first error surface μ 1 . From (1) and (4), we have μ ˙ 1 = x 2 + f 1 + d 1 r ˙ = μ 2 + α ˜ 1 , 1 + α 1 + f 1 + d 1 r ˙ . Define a Lyapunov function candidate V 1 = ( 1 / 2 ) μ 1 2 . Then, employing an RBFNN to estimate the unknown function f 1 , the time derivative of V 1 is given by
V ˙ 1 = μ 1 ( μ 2 + α ˜ 1 , 1 + α 1 + f 1 + d 1 r ˙ ) = μ 1 ( μ 2 + α ˜ 1 , 1 + α 1 + W 1 * S 1 + ε 1 + d 1 r ˙ ) ,
where W 1 * is an optimal weight, S 1 ( x 1 ) denotes a basis function vector, and ε 1 is the reconstruction error for estimating f 1 .
The virtual control law α 1 is designed as
α 1 = k 1 μ 1 W ^ 1 S 1 b ^ 1 tanh 1 + r ˙ ,
where k 1 > 0 is a control gain, W ^ 1 is the estimate of W 1 * , b ^ 1 are the estimate of an unknown constant b 1 * to be defined later, and tanh 1 = tanh ( μ 1 / η 1 ) ; η 1 > 0 is a design parameter.
Applying (7) into (6), we have
V ˙ 1 μ 1 ( μ 2 + α ˜ 1 , 1 ) k 1 μ 1 2 μ 1 W ˜ 1 S 1 μ 1 b ˜ 1 tanh 1 μ 1 b 1 * tanh 1 + μ 1 ( ε 1 + d 1 ) ,
where W ˜ 1 = W ^ 1 W 1 * and b ˜ 1 = b ^ 1 b 1 * are estimation errors.
Step j ( j = 2 , , n 1 ) : From (5), we have α ^ ˙ j , 1 = α ^ j , 2 . Thus, the time derivative of V j = ( 1 / 2 ) μ j 2 is obtained as
V ˙ j = μ j ( μ j + 1 + α ˜ j , 1 + α j + f j + d j α ^ j 1 , 2 ) = μ j ( μ j + 1 + α ˜ j , 1 + α j + W j * S j + ε j + d j α ^ j 1 , 2 ) ,
where W j * is an optimal weighting vector, S j ( x ¯ j ) is a basis function vector, and ε j is the reconstruction error for approximating f j .
Now, we choose the virtual control law α j as follows:
α j = k j μ j W ^ j S j b ^ j tanh j + α ^ j 1 , 2 ,
where k j > 0 is a control gain and W ^ j is the estimate of W j * , and b ^ j is the estimate of b j * to be defined later, and tanh j = tanh ( μ j / η j ) ; η j > 0 is a design parameter.
Substituting (10) into (9) yields that
V ˙ j μ j ( μ j + 1 + α ˜ j , 1 ) k j μ j 2 μ j W ˜ j S j μ j b ˜ j tanh j μ j b j * tanh j + μ j ( ε j + d j )
where W ˜ j = W ^ j W j * and b ˜ j = b ^ j b j * are estimation errors.
Step n: Consider a Lyapunov function candidate V n = ( 1 / 2 ) μ n 2 . Similar to the previous steps, the time derivative of V n satisfies
V ˙ n μ n ( u + W n * S n + ε n + d n α ^ n 1 , 2 ) ,
where W n * is an optimal weight, S n is a basis function vector, and ε n is the reconstruction error.
In order to design an actual control law u based on the quantized states, quantized-states-based error surfaces μ i q , virtual control laws α j q , and adaptation laws for W ^ j and b ^ j are defined as follows:
μ 1 q = x 1 q r , μ j + 1 q = x j + 1 q α ^ j , 1 q ,
α j q = k j μ j q W ^ j S j q b ^ j tanh j q + α ^ j 1 , 2 q ,
W ^ ˙ j = γ w , j ( μ j q S j q σ w , j | μ j q | W ^ j ) ,
b ^ ˙ j = γ b , j ( μ j q tanh j q σ b , j | μ j q | b ^ j ) ,
where i = 1 , , n , j = 1 , , n 1 , S j q = S j ( x ¯ j q ) ; x ¯ j q = [ x 1 q , , x j q ] , tanh j q = tanh ( μ j q / η j ) , and α ^ 0 , 2 q = r ˙ . γ w , j > 0 are tuning gain matrices, γ b , j > 0 are tuning gain constants, σ w , j and σ b , j are positive constants for σ modification. The filtered signals α ^ j , 1 q and α ^ j , 2 q are obtained from the following filters
α ^ ˙ j , 1 q = α ^ j , 2 q , α ^ ˙ j , 2 q = 2 ζ j ω j α ^ j , 2 q ω j 2 ( α ^ j , 1 q α j q ) ,
with α ^ j , 1 q ( 0 ) = α j q ( 0 ) and α ^ j , 2 q ( 0 ) = 0 .
Then, a quantized-feedback-based adaptive event-triggered actual control law u with a triggering law is presented as
u ( t ) = α ^ n , 1 q ( t l ) , t [ t l , t l + 1 ) ,
t l + 1 = inf { t t l | | u e ( t ) | θ 1 | μ n q ( t ) | + θ 2 } ,
α n q = k n μ n q W ^ n S n q b ^ n tanh n q + α ^ n 1 , 2 q ,
W ^ ˙ n = γ w , n ( μ n q S n q σ w , n | μ n q | W ^ n ) ,
b ^ ˙ n = γ b , n ( μ n q tanh n q σ b , n | μ n q | b ^ n ) ,
where u e ( t ) = u ( t ) α ^ n , 1 q ( t ) , l Z + , t 1 = 0 , t l denotes the lth event time, θ 1 , θ 2 > 0 are design parameters for the triggering law (19), W ^ n is the estimate of W n * , and b ^ n is the estimate of unknown constant b n * to be defined later, tanh n q = tanh ( μ n q / η n ) ; η n > 0 is a design constant, S n q = S n ( x ¯ n q ) ; x ¯ n q = [ x 1 q , , x n q ] , k n > 0 is a control gain, γ w , n > 0 and γ b , n > 0 are tuning gains, and σ w , n > 0 and σ b , n > 0 are small constants for σ modification. Here, α ^ n , 1 q in u e is a filtered signal of α n q given by
α ^ ˙ n , 1 q = α ^ n , 2 q , α ^ ˙ n , 2 q = 2 ζ n ω n α ^ n , 2 q ω n 2 ( α ^ n , 1 q α n q ) ,
where ω n and ζ n are filter design parameters, α ^ n , 1 q ( 0 ) = α n q ( 0 ) , and α ^ n , 2 q ( 0 ) = 0 . Note that the actual input u is fixed as a constant value α ^ n , 1 q ( t l ) until the next event occurs at t l + 1 and each event time is determined by checking the condition in (19). The block diagram of the proposed control scheme consisting of (14)–(23) is shown in Figure 1.
Define an ideal control signal α n as
α n = k n μ n W ^ n S n b ^ n tanh n + α ^ n 1 , 2
and its filtered signals α ^ n , 1 and α ^ n , 2 obtained from the following filter
α ^ ˙ n , 1 = α ^ n , 2 , α ^ ˙ n , 2 = 2 ζ n ω n α ^ n , 2 ω n 2 ( α ^ n , 1 α n )
where α ^ n , 1 ( 0 ) = α n ( 0 ) and α ^ n , 2 ( 0 ) = 0 .
Note that the following property holds.
u + α n α n + α ^ n , 1 α ^ n , 1 + α ^ n , 1 q α ^ n , 1 q = u e + α n + α ˜ n , 1 κ α ^ , n , 1 ,
where α ˜ n , 1 = α ^ n , 1 α n and κ α ^ , n , 1 = α ^ n , 1 α ^ n , 1 q .
By substituting (26) into (12) and using (24), we have
V ˙ n μ n ( α n + W n * S n + ε n + d n α ^ n 1 , 2 ) + μ n ( α ˜ n , 1 κ α ^ , n , 1 ) + μ n u e = k n μ n 2 μ n W ˜ n S n μ n b ˜ n tanh n + μ n ( α ˜ n , 1 κ α ^ , n , 1 ) + μ n u e μ n b n * tanh n + μ n ( ε n + d n )
where W ˜ n = W ^ n W n * and b ˜ n = b ^ n b n * are estimation errors.
Remark 3.
In the proposed triggering law (19), the adaptive terms depend on the time-varying error surface μ n q = x n q α ^ n 1 , 1 q . Note that α ^ n 1 , 1 q is the filtered signal of α n 1 q from (14) and α n 1 q includes the adaptation parameters W ^ n 1 and b ^ n 1 and the error surface μ n 2 q . A similar reasoning can apply the error surface μ n 2 q recursively. In addition, α n q obtained from (20) is employed in u e of (19). Therefore, it concludes that the triggering law (19) depends on the information of all adaptation parameters W ^ i and b ^ i where i = 1 , , n .

3.3. Stability Analysis

Let us define α ˜ i , 2 = α ^ i , 2 and α ˜ i = [ α ˜ i , 1 , α ˜ i , 2 ] , r ¨ ¯ = [ r , r ˙ , r ¨ ] , μ ¯ i = [ μ 1 , , μ i ] , α ˜ ¯ i , 1 = [ α ˜ 1 , 1 , , α ˜ i , 1 ] , α ˜ ¯ i , 2 = [ α ˜ 1 , 2 , , α ˜ i , 2 ] , W ^ ¯ i = [ W ^ 1 , , W ^ i ] , b ^ ¯ i = [ b ^ 1 , , b ^ i ] , and d ¯ i = [ d 1 , , d i ] for i = 1 , , n . Then, the dynamics of α ˜ i along (5) and (25) is given by
α ˜ ˙ i = A i α ˜ i + D Γ i ,
where A i = 0 1 ω i 2 2 ζ i ω i , D = [ 1 , 0 ] , and
Γ 1 ( μ ¯ 2 , α ˜ 1 , 1 , W ^ 1 , b ^ 1 , r ¨ ¯ , d 1 ) = k 1 μ ˙ 1 + W ^ ˙ 1 S 1 + W ^ 1 S ˙ 1 + b ^ ˙ 1 tanh 1 + b ^ 1 sech 2 μ 1 η 1 μ ˙ 1 η 1 r ¨ , Γ j ( μ ¯ j + 1 , α ˜ ¯ j , 1 , α ˜ ¯ j 1 , 2 , W ^ ¯ j , b ^ ¯ j , r ¨ ¯ , d ¯ j ) = k j μ ˙ j + W ^ ˙ j S j + W ^ j S ˙ j + b ^ ˙ j tanh j + b ^ j sech 2 μ j η j μ ˙ j η j α ˜ ˙ j 1 , 2 , Γ n ( μ ¯ n , α ˜ ¯ n , 1 , α ˜ ¯ n 1 , 2 , W ^ ¯ n , b ^ ¯ n , r ¨ ¯ , d ¯ n , u e , κ α ^ , n , 1 ) = k n μ ˙ n + W ^ ˙ n S n + W ^ n S ˙ n + b ^ ˙ n tanh n + b ^ n sech 2 μ n η n μ ˙ n η n α ˜ ˙ n 1 , 2 ,
for j = 2 , , n 1 .
Owing to ζ i > 0 and ω i > 0 , A i are Hurwitz matrices. Then, for any matrix M i > 0 , A i P i + P i A i = M i is satisfied where P i > 0 is a symmetric matrix.
For the stability analysis of the closed-loop system, three lemmas (i.e., Lemmas 3–5) are presented. Lemmas 3 and 4 give the boundedness of the estimation errors W ˜ i and b ˜ i , respectively, where i = 1 , , n . In Lemma 5, we show that the errors between the quantized signals μ i q , S i q , tanh i q , α i q , α ^ i , 1 q , and α ^ i , 2 q and the unquantized signals μ i , S i , tanh i , α i , α ^ i , 1 , and α ^ i , 2 are bounded where i = 1 , , n .
Lemma 3.
Consider the adaptation laws (15) and (21). Then, there exists a compact set Ω w , i = { W ˜ i | W ˜ i χ w , i } such that W ˜ i ( t ) Ω w , i for all t 0 provided that W ˜ i ( 0 ) Ω w , i where χ w , i is an unknown constant.
Proof. 
Let us consider a Lyapunov function candidate V w , i = ( 1 / 2 ) W ˜ i γ w , i 1 W ˜ i . Then, V ˙ w , i is given by
V ˙ w , i = W ˜ i ( μ i q S i q σ w , i | μ i q | W ^ i ) = W ˜ i ( μ i q S i q σ w , i | μ i q | ( W i * + W ˜ i ) ) .
Here, each term can be represented by σ w , i | μ i q | W ˜ i W ˜ i = σ w , i | μ i q | W ˜ i 2 , W ˜ i μ i q S i q W ˜ i | μ i q | S i q , and W ˜ i σ w , i | μ i q | W i * W ˜ i | μ i q | σ w , i W i * . Here, since the optimal weights W i * and the basis function vectors S i are bounded, there exist constants W ˘ i and S i * satisfying W i * W ˘ i and S i q S i * , respectively. Based on these facts, V ˙ w , i satisfies
V ˙ w , i W ˜ i | μ i q | ( S i * + σ w , i W ˘ i σ w , i W ˜ i ) .
From this inequality, we have that V ˙ w , i 0 when W ˜ i χ w , i with χ w , i ( S i * + σ w , i W ˘ i ) / σ w , i . Thus, V w , i decreases when W ˜ i ( t ) Ω w , i and W ˜ i finally remains within Ω w , i . Consequently, if W ˜ i ( 0 ) Ω w , i , W ˜ i ( t ) Ω w , i for all t 0 which completes the proof. □
Lemma 4.
Consider the adaptation laws (16) and (22). Then, there exists a compact set Ω b , i = { b ˜ i | | b ˜ i | χ b , i } such that b ˜ i ( t ) Ω b , i for all t 0 provided that b ˜ i ( 0 ) Ω b , i where χ b , i is an unknown constant.
Proof. 
Similar to the proof of Lemma 3, a Lyapunov function candidate V b , i = ( 1 / ( 2 γ b , i ) ) b ˜ i 2 is considered. Then, we have
V ˙ b , i = b ˜ i ( μ i q tanh i q σ b , i | μ i q | b ^ i ) = b ˜ i ( μ i q tanh i q σ b , i | μ i q | ( b i * + b ˜ i ) ) .
Using b i * > 0 and the inequality | tanh i q | 1 , it is obtained that b ˜ i μ i q tanh i q | b ˜ i | | μ i q | , b ˜ i σ b , i | μ i q | b i * | b ˜ i | | μ i q | σ b , i b i * , and b ˜ i 2 σ b , i | μ i q | = | b ˜ i | | μ i q | σ b , i | b ˜ i | . Then, V ˙ b , i becomes
V ˙ b , i | b ˜ i | | μ i q | ( 1 + σ b , i b i * σ b , i | b ˜ i | ) .
Let χ b , i ( 1 + σ b , i b i * ) / σ b , i . Then, following an argument similar to that in the proof of Lemma 3, it is ensured that if b ˜ i ( 0 ) Ω b , i , b ˜ i ( t ) Ω b , i for all t 0 which completes the proof. □
Lemma 5.
Consider the quantization errors of the closed-loop signals as
κ μ , i = μ i μ i q , κ S , i = S i S i q , κ th , i = tanh i tanh i q , κ α , i = α i α i q , κ α ^ , i , 1 = α ^ i , 1 α ^ i , 1 q , κ α ^ , i , 2 = α ^ i , 2 α ^ i , 2 q ,
where i = 1 , , n . Then, there exist positive constants K μ , i , K S , i , K th , i , K α , i , and K α ^ , i such that | κ μ , i | K μ , i , κ S , i K S , i , | κ th , i | K th , i , | κ α , i | K α , i , and κ α ^ , i K α ^ , i , respectively, where κ α ^ , i = [ κ α ^ , i , 1 , κ α ^ , i , 2 ] .
Proof. 
(i) Based on the boundedness of Guassian basis functions and hyperbolic tangent functions, we can easily obtain
κ S , i K S , i , | κ th , i | K th , i ,
where K S , i = 2 S i * and K th , i = 2 . Using the property | κ x , i | δ of the uniform quantizer (2) and κ μ , 1 = x 1 x 1 q , κ μ , 1 satisfies
| κ μ , 1 | = | κ x , 1 | K μ , 1
where K μ , 1 = δ . From (7) and (14), we have
κ α , 1 = k 1 κ μ , 1 W ^ 1 κ S , 1 b ^ 1 κ th , 1 .
Then, it holds that
| κ α , 1 | k 1 | κ μ , 1 | + W ^ 1 κ S , 1 + | b ^ 1 | | κ th , 1 | .
From Lemmas 3 and 4, we have W ˜ i χ w , i * and | b ˜ i | χ b , i * where χ w , i * = max { W ˜ i ( 0 ) , χ w , i } and χ b , i * = max { | b ˜ i ( 0 ) | , χ b , i } . Then, using W ^ 1 = W ˜ 1 + W 1 * and b ^ 1 = b ˜ 1 + b 1 * , the bounding constant K α , 1 is obtained as K α , 1 k 1 K μ , 1 + ( χ w , 1 * + W ˘ 1 ) K S , 1 + ( χ b , 1 * + b 1 * ) K th , 1 .
The low-pass filters for α 1 in (5) and for α 1 q in (17) induce
κ ˙ α ^ , 1 = A 1 κ α ^ , 1 + D ¯ 1 κ α , 1
where κ α ^ , 1 = [ κ α ^ , 1 , 1 , κ α ^ , 1 , 2 ] and D ¯ 1 = [ 0 , ω 1 2 ] . Solving this differential equation leads to
κ α ^ , 1 ( t ) = e A 1 t κ α ^ , 1 ( 0 ) + 0 t e A 1 ( t τ ) D ¯ 1 κ α , 1 ( τ ) d τ .
Since A 1 is invertible, the following inequality is satisfied.
κ α ^ , 1 ( t ) e A 1 t κ α ^ , 1 ( 0 ) + K α , 1 D ¯ 1 A 1 1 ( I e A 1 t ) .
From Lemma 2, the inequality e A 1 t β 1 , 1 e β 1 , 2 t holds with positive constants β 1 , 1 and β 1 , 2 . Due to κ α ^ , 1 , 1 ( 0 ) = κ α , 1 ( 0 ) and κ α ^ , 1 , 2 ( 0 ) = 0 , we have κ α ^ , 1 ( 0 ) = | κ α , 1 ( 0 ) | . Then, we have
κ α ^ , 1 ( t ) β 1 , 1 | κ α , 1 ( 0 ) | + K α , 1 D ¯ 1 A 1 1 ( 1 + β 1 , 1 ) K α ^ , 1 .
Thus, it is guaranteed that | κ α ^ , 1 , 1 | K α ^ , 1 and | κ α ^ , 1 , 2 | K α ^ , 1 .
(ii) From μ 2 = x 2 α ^ 1 , 1 and μ 2 q = x 2 q α ^ 1 , 1 q , it holds that
| κ μ , 2 | | κ x , 2 | + | κ α ^ , 1 , 1 | K μ , 2
where K μ , 2 K x , 2 + K α ^ , 1 ; K x , 2 = δ owing to the property | κ x , i | δ . From (10) and (14), we have κ α , 2 = k 2 κ μ , 2 W ^ 2 κ S , 2 b ^ 2 κ th , 2 + κ α ^ , 1 , 2 . Then, it holds that
| κ α , 2 | k 2 | κ μ , 2 | + W ^ 2 κ S , 2 + | b ^ 1 | | κ th , 1 | + | κ α ^ , 1 , 2 | K α , 2
where K α , 2 k 2 K μ , 2 + ( χ w , 2 * + W ˘ 2 ) K S , 2 + ( χ b , 2 * + b 2 * ) K th , 2 + K α ^ , 1 . Following a procedure similar to that from (36)–(39), we can obtain the constant K α ^ , 2 satisfying κ α ^ , 2 K α ^ , 2 .
(iii) According to the similar recursive derivation procedure, it holds that κ μ , i , κ α , i , and κ α ^ , i , i = 3 , , n , are bounded as
| κ μ , i | K μ , i , | κ α , i | K α , i , κ α ^ , i K α ^ , i .
This completes the proof of Lemma 5. □
Choose a Lyapunov function candidate V as
V = j = 1 n V j + α ˜ j P j α ˜ j .
Theorem 1.
Consider the uncertain strict-feedback nonlinear system (1) with the uniform state quantizer (2). Then, for any initial conditions satisfying V ( 0 ) ς , the quantized-feedback-based adaptive event-triggered tracker consisting of the command filters (17) and (23), the virtual control laws (14), the actual event-triggered control law (18)–(20) with the adaptation laws (15), (16), (21) and (22) ensures that all the closed-loop signals are uniformly ultimately bounded, the tracking error μ 1 converges to an adjustable compact set around zero, and the inter-event times t l + 1 t l are lower bounded by the minimum inter-event time t min > 0 where l Z + .
Proof. 
From (8), (11), (27) and (29), V ˙ is given by
V ˙ j = 1 n k j μ j 2 j = 1 n α ˜ j M j α ˜ j + j = 1 n 1 μ j μ j + 1 + j = 1 n μ j α ˜ j , 1 + j = 1 n 2 α ˜ j P j D Γ j j = 1 n μ j b j * tanh j + j = 1 n μ j ( ε j + d j W ˜ j S j ) + μ n u e μ n κ α ^ , n , 1 j = 1 n μ j b ˜ j tanh j .
From (19), the inequality
| μ n u e | | μ n | ( θ 1 | μ n q | + θ 2 ) θ 1 μ n 2 + θ 1 | μ n | | μ n q μ n | + θ 2 | μ n |
holds for all t 0 . From (44) and κ μ , n = μ n μ n q , we get
V ˙ j = 1 n 1 k j μ j 2 ( k n θ 1 ) μ n 2 j = 1 n α ˜ j M j α ˜ j + j = 1 n 1 μ j μ j + 1 + j = 1 n μ j α ˜ j , 1 + j = 1 n 2 α ˜ j P j D Γ j j = 1 n μ j b j * tanh j + j = 1 n μ j b j j = 1 n μ j b ˜ j tanh j
where b j = ε j + d j W ˜ j S j , j = 1 , , n 1 , and b n = ε n + d n W ˜ n S n + θ 1 | κ μ , n | sgn ( μ n ) + θ 2 sgn ( μ n ) κ α ^ , n , 1 ; sgn ( μ n ) denotes the signum function of μ n .
The reconstruction errors ε i , basis function vectors S i , and time-varying disturbances d i are bounded signals where i = 1 , , n . In addition, W ˜ i , i = 1 , , n , are bounded from Lemma 3 and κ μ , n and κ α ^ , n , 1 are bounded from Lemma 5. Therefore, b j and b n are bounded as
| b j | ε j * + d j * + χ w , j * S j * b j * , | b n | ε n * + d n * + χ w , n * S n * + θ 1 K μ , n + θ 2 + K α ^ , n b n * .
Then, using the boundedness of b j , j = 1 , , n , and applying Lemma 1, it holds that
| μ j b j | b j * | μ j | b j * μ j tanh j + 0.2785 b j * η j .
Using (46) yields
V ˙ j = 1 n 1 k j μ j 2 ( k n θ 1 ) μ n 2 m j j = 1 n α ˜ j 2 + j = 1 n 1 μ j μ j + 1 + j = 1 n μ j α ˜ j , 1 + j = 1 n 2 α ˜ j P j D Γ j j = 1 n μ j b ˜ j tanh j + j = 1 n 0.2785 b j * η j
where m j = λ min ( M j ) .
From | κ μ , n | K μ , n , we get | u e | θ 1 | μ n q | + θ 2 θ 1 | μ n | + θ 1 K μ , n + θ 2 . Then, since W ˜ i χ w , i * , | b ˜ i | χ b , i * , | d i | d i * , and | κ α ^ , n , 1 | K α ^ , n are satisfied for i = 1 , , n , there exist positive bounding functions Γ i * such that
| Γ 1 ( μ ¯ 2 , α ˜ 1 , 1 , W ^ 1 , b ^ 1 , r ¨ ¯ , d 1 ) | Γ 1 * ( μ ¯ 2 , α ˜ 1 , 1 , r ¨ ¯ ) , | Γ j ( μ ¯ j + 1 , α ˜ ¯ j , 1 , α ˜ ¯ j 1 , 2 , W ^ ¯ j , b ^ ¯ j , r ¨ ¯ , d ¯ j ) | Γ j * ( μ ¯ j + 1 , α ˜ ¯ j , 1 , α ˜ ¯ j 1 , 2 , r ¨ ¯ ) , | Γ n ( μ ¯ n , α ˜ ¯ n , 1 , α ˜ ¯ n 1 , 2 , W ^ ¯ n , b ^ ¯ n , r ¨ ¯ , d ¯ n , u e , κ α ^ , n , 1 ) | Γ n * ( μ ¯ n , α ˜ ¯ n , 1 , α ˜ ¯ n 1 , 2 , r ¨ ¯ ) ,
where j = 2 , , n 1 .
Let us define Ξ j , j = 1 , , n 1 , Ξ n , and Ξ r as Ξ j = { ( μ 1 , , μ j + 1 , α ˜ 1 , , α ˜ j ) : ρ = 1 j + 1 μ ρ 2 + ρ = 1 j 2 α ˜ ρ P ρ α ˜ ρ 2 ς } , Ξ n = { ( μ 1 , , μ n , α ˜ 1 , , α ˜ n ) : ρ = 1 n μ ρ 2 + ρ = 1 n 2 α ˜ ρ P ρ α ˜ ρ 2 ς } , and Ξ r = { ( r , r ˙ , r ¨ ) : r 2 + r ˙ 2 + r ¨ 2 ς r } where α ˜ ρ = [ α ˜ ρ , 1 , α ˜ ρ , 2 ] and ς r > 0 is a constant. Note that Ξ j R 3 j + 1 , Ξ n R 3 n , and Ξ r R 3 are compact sets. Therefore, Ξ j × Ξ r R 3 j + 4 and Ξ n × Ξ r R 3 n + 3 are also compact. From (47), it is ensured that there exist constants Γ ¯ j and Γ ¯ n such that | Γ j * | Γ ¯ j on Ξ j × Ξ r and | Γ n * | Γ ¯ n on Ξ n × Ξ r . Then, using the following inequalities
μ j μ j + 1 1 2 μ j 2 + 1 2 μ j + 1 2 , μ j α ˜ j , 1 1 2 μ j 2 + 1 2 α ˜ j 2 , 2 α ˜ j P j D Γ j ( Γ j * ) 2 P j 2 α ˜ j 2 ι + ι , μ j b ˜ j tanh j 1 2 μ j 2 + 1 2 ( χ b , j * ) 2 ,
with a constant ι > 0 , and selecting k 1 = 3 / 2 + k ¯ 1 , k j = 2 + k ¯ j , k n = 3 / 2 + θ 1 + k ¯ n , m j = 1 / 2 + Γ ¯ j 2 P j 2 / ι + m ¯ j with positive constants k ¯ 1 , k ¯ j , k ¯ n , and m ¯ j , we get
V ˙ j = 1 n k ¯ j μ j 2 j = 1 n m ¯ j α ˜ j 2 j = 1 n 1 ( Γ j * ) 2 Γ ¯ j 2 Γ ¯ j 2 P j 2 α ˜ j 2 ι + C
where C = j = 1 n 0.2785 b j * η j + j = 1 n ( χ b , j * ) 2 + n ι . Since | Γ j * | Γ ¯ j on V = ε , it is obtained that V ˙ k V + C where k = min [ 2 k ¯ 1 , , 2 k ¯ n , m ¯ 1 / λ max ( P 1 ) , , m ¯ n / λ max ( P n ) ] . Here, when k > C / ς , V ˙ < 0 on V = ς is ensured and thus the set V ς is an invariant set. Therefore, we can conclude that the closed-loop signals μ i and α ˜ i are bounded where i = 1 , , n . From the boundedness of μ 1 and r, x 1 is bounded. Then, α 1 in (7) is bounded using the boundedness of W ^ 1 and b ^ 1 from Lemmas 3 and 4. Based on the boundedness of α 1 , it is induced that α ^ 1 , 1 and α ^ 1 , 2 are bounded owing to the stable filter (5). Thus, the boundedness of μ 2 and α ^ 1 , 1 leads to the boundedness of x 2 . By the similar reasoning, x i , α i , α ^ i , 1 , and α ^ i , 2 are bounded for i = 1 , , n . Then, from Lemma 5, α i q , α ^ i , 1 q , and α ^ i , 2 q are also bounded. According to the triggering law (19) and the boundedness of α ^ n , 1 q , we can conclude that the implemented event-triggered control input u is bounded. In addition, the inequality ( 1 / 2 ) μ 1 2 ( t ) V ( t ) e k t V ( 0 ) + ( C / k ) ( 1 e k t ) is obtained by solving V ˙ k V + C . Therefore, it is ensured that the tracking error μ 1 converges to a compact set Π = { μ 1 | | μ 1 | 2 C / k } whose size can be adjusted by choosing appropriate design parameters (see Remark 5).
Now, to exclude Zeno behavior, we prove that there exists a minimum inter-event time t min . Since | u e | is differentiable except u e = 0 at each triggering instant, we obtain
d d t | u ˜ e | = d d t ( u ˜ e ) 1 2 = sgn ( u ˜ e ) u ˜ ˙ e | α ^ ˙ n , 1 q | .
Note that α ^ ˙ n , 1 q = α ^ n , 2 q , and the uniform boundedness of α ^ n , 2 q is ensured from the previous analysis. Thus, there exists a positive constant α * such that | α ^ ˙ n , 1 q | = | α ^ n , 2 q | α * . Consequently, according to the proposed triggering law (19), integrating d d t | u ˜ e | α * during t [ t l , t l + 1 ) gives t l + 1 t l ( θ 1 | μ n q ( t ) | + θ 2 ) / α * θ 2 / α * for all l Z + . That is, the minimum inter-event time can be defined as t min θ 2 / α * . □

3.4. Comparision with the Recent Work

In this section, the proposed control scheme is compared with the recent adaptive quantized feedback control scheme in [14]. In the recent work [14], an adaptive quantized feedback recursive controller was designed for nonlinear systems described by
x ˙ i = x i + 1 + g i ( x ¯ i ) , x ˙ n = u + g n ( x ¯ n ) + ϑ h ( x ¯ n ) ,
where i = 1 , , n 1 , g j , j = 1 , , n and h are known nonlinearities, and ϑ is an unknown parameter vector. Here, the unmatched nonlinear functions g j should be known and satisfy the Lipschitz conditions with known Lipschitz constants. On the contrary, the proposed controller is designed for system (1) involving completely unknown unmatched nonlinear functions f j and disturbances d j . Therefore, no information of the nonlinearities is necessary for designing the proposed quantied feedback controller. To deal with these nonlinearities and disturbances in the quantized feedback recursive control design, we present an adaptive function approximation technique using quantized-states-based adaptation laws (see (14) and (15)) and prove the boundedness between α j and α j q .
On the other hand, the quantized feedback controller in [14] was designed as follows:
α j = k j μ j q g j q + α ^ j 1 , 2 q , u = k n μ n q g n q ϑ ^ h q + α ^ n 1 , 2 q , ϑ ^ ˙ = γ ϑ ( μ n q h q σ ϑ ϑ ^ ) ,
where j = 1 , , n 1 , k j , k n , γ ϑ , and σ ϑ , are design parameters, ϑ ^ is the estimate of ϑ , g i q = g i ( x 1 q , , x i q ) , and h q = h ( x 1 q , , x n q ) for i = 1 , , n . The definitions of μ j q and α ^ i 1 , 2 q are same as ours. It should be emphasized that u in (51) is continuously updated. Therefore, this control scheme increases the load in communication through the controller-to-actuator channel which is unfavorable in practical networked control systems with limited communcation resources. In order to reduce this load, we developed our control scheme in an event-driven manner which means that u in (18) is updated only when the triggering condition (19) is satisfied.
In summary, compared with [14], the proposed controller can handle uncertain nonlinear systems with strict-feedback unknown nonlinearities while saving the communication resources by reducing the update of the control input u.
Remark 4.
In the existing event-triggered controller design, the existence of the minimum inter-event time is necessary to avoid the Zeno behavior. To prove the existence of this minimum inter-event time, the triggering error signals should generally be differentiable [21,22,23,24,25,26]. However, the quantized feedback control laws reported in [13,14] were not differentiable because of the quantized state variables. To overcome this problem, we employ the auxiliary first-order low-pass filter (23) for the quantized-feedback-based control law α n q in (20). Subsequently, the differentiable signal α ^ n , 1 q is used in the event-triggered actual control law u in (18). Consequently, the existence of the minimum inter-event time can be ensured by the analysis using (49). This design difficulty comes from the simultaneous handling of the quantized-feedback-based control and event-triggered control.
Remark 5.
In the proposed quantized-feedback-based event-triggered tracking scheme, the selection of the design parameters is sufficient conditions. The guidelines for the selection of these parameters are based on the proof of Theorem 1 as follows:
(i) As the level of the quantizer δ in (2) decreases with the performance of digital devices or the communication environment, C can be reduced and thus the convergence bound 2 C / k can be reduced.
(ii) As γ w , i and γ b , i , i = 1 , , n , increase while fixing σ w , i and σ b , i as small constants, the tuning speed of the estimated parameters W ^ i and b ^ i and k can be increased and thus the bound 2 C / k can be reduced.
(iii) The eigenvalues of M i can be increased by adjusting the filter parameters ζ i and ω i , i = 1 , , n , and the control gains k i can be increased. Then, the bound 2 C / k can be reduced by increasing the control gains k i .
(iv) Reducing the design parameters η i helps to reduce C, which subsequently reduces 2 C / k .
(v) Adjusting the triggering parameters θ 1 and θ 2 manipulates the number of event times along the limited network communication resources in transient and steady-state responses.

4. Simulation Results

In this section, a numerical example and a hydraulic servo system were simulated to validate the proposed quantized-feedback-based adaptive event-triggered control result. For the two simulations, the sampling time t s was set to t s = 2 ms. Thus, the quantized feedback triggering law (19) was monitored every 2 ms. Furthermore, the tracking performance of the proposed quantized feedback control scheme was compared with that of the previous adaptive quantized feedback control scheme reported in [14]. We show that although the proposed event-triggered control scheme was designed in the presence of unknown nonlinearities, its tracking performance was similar to the performance of the previous continuous controller [14] designed in the presence of known nonlinear functions.

4.1. Example 1

The uncertain third-order strict-feedback systems are considered by
x ˙ i = x i + 1 + f i ( x ¯ i ) + d i , x ˙ 3 = u + f 3 ( x ¯ 3 ) + d 3 ,
where i = 1 , 2 , f 1 = 0.5 x 1 + 0.7 x 1 2 , f 2 = x 1 x 2 + 0.4 sin ( x 2 ) , f 3 = e x 3 2 x 1 + x 2 x 3 , d 1 = 0.2 sin ( t ) , d 2 = 0.8 cos ( t ) , and d 3 = 0.7 e 3 t sin 2 ( t ) . For the state quantization, the length of the quantization interval δ was δ = 0.005 and the design parameters for the proposed controller were k 1 = 5 , k 2 = 10 , k 3 = 30 , γ w , 1 = 10 , γ w , 2 = 1 , γ w , 3 = 1 , σ w , i = 0.0000001 , γ b , i = 1.5 , σ b , 1 = σ b , 2 = 0.6 , σ b , 3 = 0.9 , η i = 0.3 , ω 1 = 20 , ω 2 = 30 , ω 3 = 200 , ζ i = 0.707 , θ 1 = 10 , and θ 2 = 0.5 where i = 1 , 2 , 3 . The reference signal is r = 0.2 cos ( 0.7 t ) + 0.6 cos ( 1.5 t ) and the initial conditions are x ¯ 3 ( 0 ) = [ 0.5 , 0 , 0 ] , respectively. For the comparison of the simulation results, the controller in [14] was implemented with the same design parameters k i , ω j , and ζ j under the assumption that f i ( x ¯ i ) and d i are known where i = 1 , 2 , 3 and j = 1 , 2 .
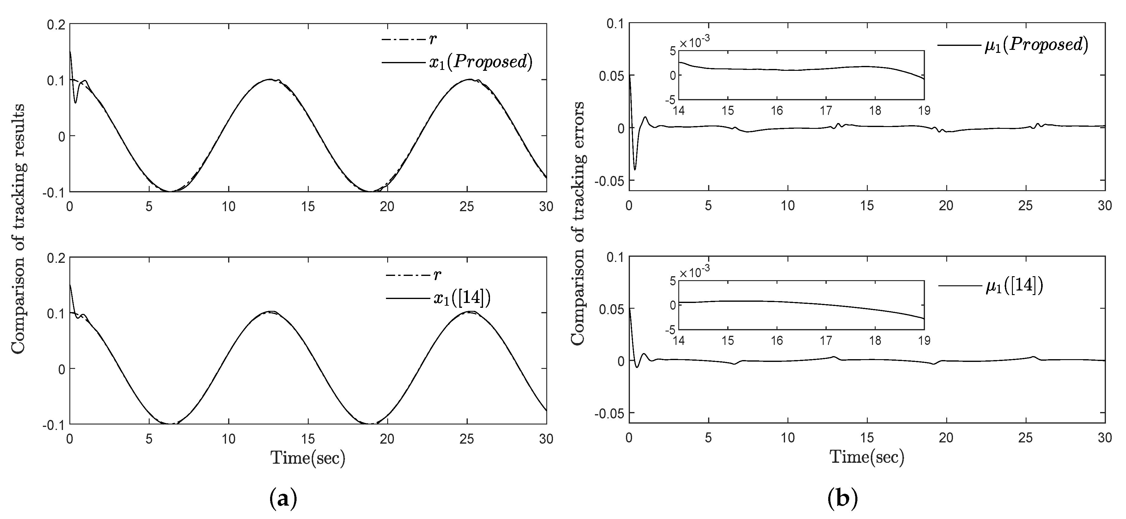
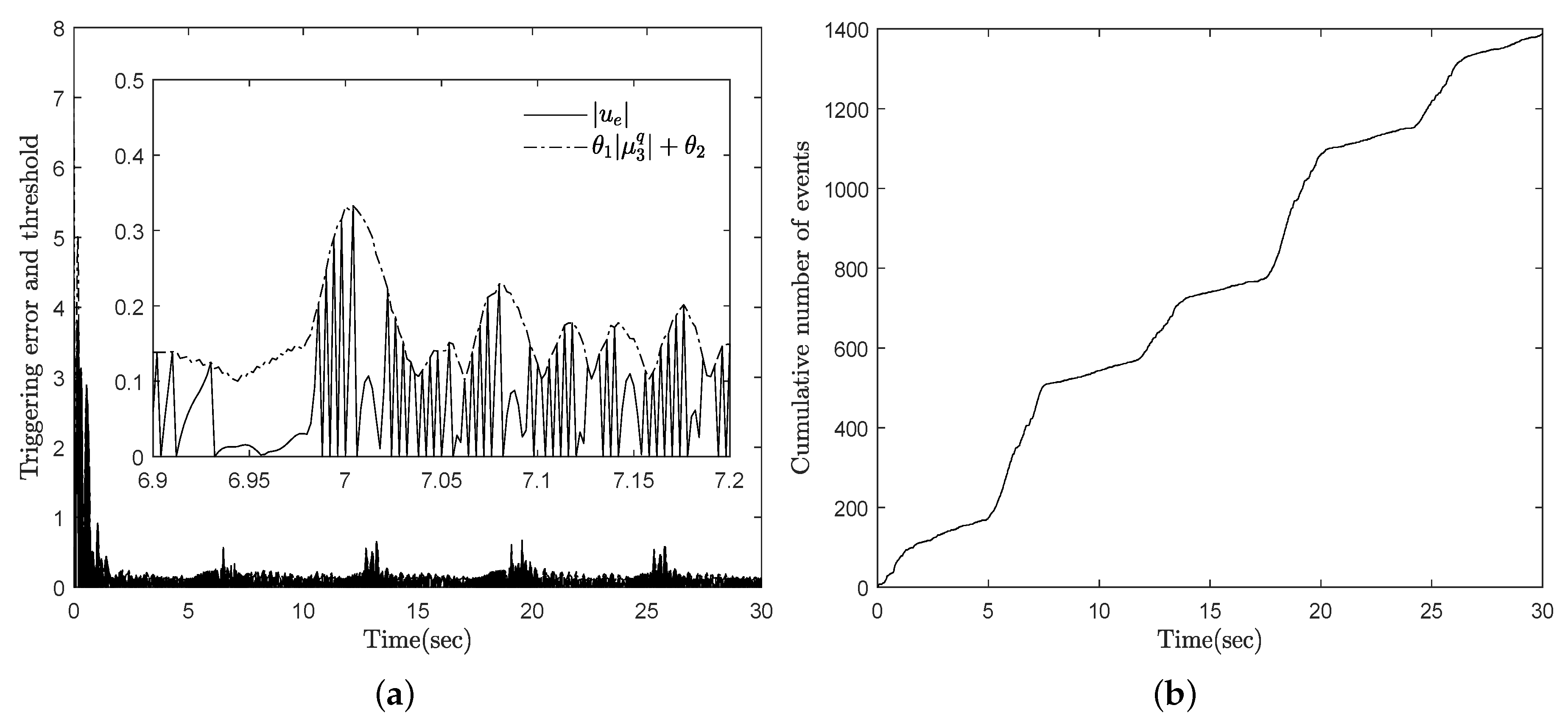
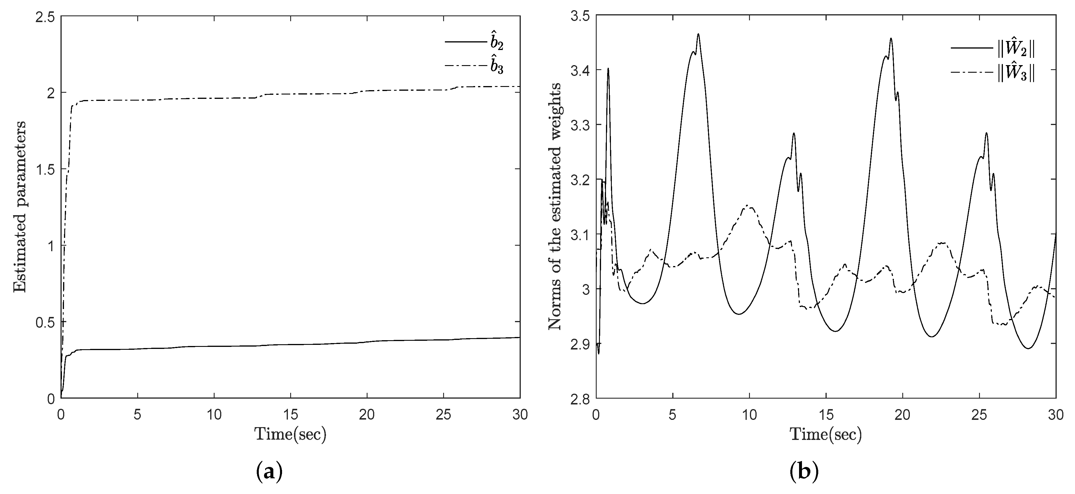
The tracking results and errors are compared in Figure 2a,b, respectively. In each figure, the upper one is the result of the proposed quantized feedback controller and the lower one is the result of the previous quantized feedback controller [14]. As shown in Figure 2, the quantized feedback tracking performances of both controllers were similar, although the proposed quantized feedback approach considers the unknown nonlinearities and the event-triggered inputs. In Figure 3, b ^ i and W ^ i are depicted where the adaptive parameters were bounded even though the quantized states were used to update them. Figure 4a displays the control signal α ^ 3 , 1 q and its triggered signal u. Figure 4b depicts the inter-event times where the maximum inter-event time was 0.3 s which is sixty times longer than the sampling time. The triggering error u e and the triggering threshold θ 1 | μ 3 q | + θ 2 are shown in Figure 5a and the cumulative number of triggering instants of ours is displayed in Figure 5b. From Figure 4 and Figure 5, it is shown that the control input u is updated when | u e | reaches θ 1 | μ 3 q | + θ 2 and the total number of events is 974 which implies that 6.49 % = 974 30 t s × 100 of the total sampled data of α ^ 3 , 1 q are only transmitted through a communication channel during 30 s. Based on these figures, we can conclude that the tracking of uncertain strict-feedback nonlinear systems can be achieved although the quantized state variables x i q , i = 1 , 2 , 3 , were used, the control input was intermittently updated via the triggering law (19), and the inherent nonlinearities and disturbances were completely unknown.

4.2. Example 2

Consider a servo system driven by a hydraulic actuator where an inertia load is held by a spring-damper and a hydraulic actuator is placed in parallel to the spring-damper. The dynamic model of hydraulic servo systems is described by [34]
m s ϑ ¨ + b s ϑ ˙ + k s ϑ = F + d , V t 4 β e P ˙ L + C t P L + A ϑ ˙ = Q L , ,
where ϑ is the displacement of the inertia load, m s is the mass of the load, k s and b s are the spring constant and the damping constant, respectively, F = A P L is the driving force produced by the hydraulic actuator; A is the ram area and P L is the pressure difference of the hydraulic actuator, d denotes the friction inside the cylinder, V t is the volume of the cylinder, β e is the effective bulk modulus of oil, C t is the total internal leakage factor, and Q L is the supply input flow. For more information about the dynamics of the hydraulic servo systems, see [34].
Let us define the state variables and the control input u as x 1 = ϑ , x 2 = ϑ ˙ , x 3 = A P L / m s , and u = 4 A β e Q L / ( m s V t ) . Then, (53) can be rewritten by
x ˙ 1 = x 2 , x ˙ 2 = x 3 + f 2 ( x ¯ 2 ) + d 2 ( t ) , x ˙ 3 = u + f 3 ( x ¯ 3 ) ,
where f 2 = ( b s / m s ) x 2 ( k s / m s ) x 1 , d 2 = ( 1 / m s ) d , and f 3 = 4 ( β e / V t ) C t x 3 4 ( A 2 β e / ( m s V t ) ) x 2 . For the simulation, f 2 , f 3 , and d 2 are assumed to be unknown and the system parameters are set to m s = 300 kg, b s = 1500 N·s/m, k s = 9000 N/m, A = 1.2656 × 10 4 m 2 , V t = 6.5312 × 10 3 m 3 , β e = 6.9861 × 10 8 N/m 2 , and C t = 4 × 10 13 [34]. The friction term is set to d = sign ( x 2 ) ( 20 + 22 e 100 | x 2 | ) N. The reference signal r is given by r = 0.1 cos ( t ) and the initial conditions of the state variables are x ¯ 3 ( 0 ) = [ 0.12 , 0 , 0 ] . The design parameters are chosen as δ = 0.001 , k 1 = 5 , k 2 = 3 , k 3 = 20 , γ w , i = 30 , σ w , i = 0.00001 , γ b , i = 20 , σ b , i = 0.001 , η i = 0.5 , ω 1 = 10 , ω 2 = 70 , ω 3 = 150 , ζ 1 = ζ i = 0.707 , θ 1 = 10 , and θ 2 = 0.1 where i = 2 , 3 . Similar to the previous example, the simulation results of the proposed controller are compared with those of the controller in [14] with the same design parameters k i , ω j , and ζ j with i = 1 , 2 , 3 and j = 1 , 2 and the known information of f 2 , f 3 , and d 2 . In Figure 6, the tracking results and errors are compared where the initial error under the proposed controller converges close to zero within a few seconds and the tracking performance of the proposed controller is similar to that of the controller in [14]. These figures reveal that the function approximation using quantized states can effectively compensate for the uncertainties f 2 , f 3 , and d 2 . In Figure 7, the estimation parameters W ^ i and b ^ i , i = 2 , 3 are shown. Figure 8a,b depict the input triggering results and the inter-event times, respectively, under the proposed control scheme. The triggering error and the triggering threshold are demonstrated in Figure 9a and the cumulative number of events is displayed in Figure 9b where the total number of events of ours is 1388. Thus, only 9.25 % = 1388 30 t s × 100 of the total sampled data of α ^ 3 , 1 q during 30 s are released to the communication channel. As illustrated in these figures, we can achieve a good tracking performance for uncertain hydraulic servo systems with state quantization and unknown uncertainties.

5. Conclusions

A quantized-feedback-based adaptive event-triggered tracking strategy has been provided for state-quantized nonlinear systems in strict-feedback form with unknown nonlinearities. Different from the existing control methods, an adaptive approximation-based controller has been designed by deriving quantized-states-based adaptive laws and the event triggering issue has firstly been addressed in the quantized feedback control field. The closed-loop stability of the quantized-feedback-based event-triggered recursive control system has been analyzed with three lemmas. Further studies on the quantized-feedback-based adaptive event-triggered tracking problem of robotic systems and nonlinear multi-agent systems are recommended as future works.

Author Contributions

Conceptualization, Formal analysis, methodology, software, writing—original draft preparation, Y.H.C.; Conceptualization, supervision, Validation, writing—review and editing, S.J.Y. All authors have read and agreed to the published version of the manuscript.

Funding

This research was supported by the National Research Foundation of Korea (NRF) grant funded by the Korea government (NRF-2019R1A2C1004898).

Conflicts of Interest

The authors declare no conflict of interest.

References

  1. Fu, M.; Xie, L. The sector bound approach to quantized feedback control. IEEE Trans. Autom. Control 2005, 50, 1698–1711. [Google Scholar]
  2. Elia, N.; Mitter, S.K. Stabilization of linear systems with limited information. IEEE Trans. Autom. Control 2001, 46, 1384–1400. [Google Scholar]
  3. Montestruque, L.A.; Antsaklis, P.J. Static and dynamic quantization in model-based networked control systems. Int. J. Control 2007, 80, 87–101. [Google Scholar]
  4. Krstic, M.; Kanellakopoulos, I.; Kokotovic, P.V. Nonlinear and Adaptive Control Design; Wiley: New York, NY, USA, 1995. [Google Scholar]
  5. Swaroop, D.; Hedrick, J.K.; Yip, P.P.; Gerdes, J.C. Dynamic surface control for a class of nonlinear systems. IEEE Trans. Autom. Control 2000, 45, 1893–1899. [Google Scholar]
  6. Farrell, J.A.; Polycarpou, M.; Sharma, M.; Dong, W. Command filtered backstepping. IEEE Trans. Autom. Control 2009, 54, 1391–1395. [Google Scholar]
  7. Lai, G.; Liu, Z.; Chen, C.L.P.; Zhang, Y. Adaptive asymptotic tracking control of uncertain nonlinear system with input quantization. Syst. Contr. Lett. 2016, 96, 23–29. [Google Scholar] [CrossRef]
  8. Xing, L.; Wen, C.; Zhu, Y.; Su, H.; Liu, Z. Output feedback control for uncertain nonlinear systems with input quantization. Automatica 2016, 65, 191–202. [Google Scholar]
  9. Sui, S.; Tong, S. Fuzzy adaptive quantized output feedback tracking control for switched nonlinear systems with input quantization. Fuzzy Sets Syst. 2016, 290, 56–78. [Google Scholar]
  10. Huang, L.; Li, Y.; Tong, S. Command filter-based adaptive fuzzy backstepping control for a class of switched non-linear systems with input quantisation. IET Cont. Theory Appl. 2017, 11, 1948–1958. [Google Scholar]
  11. Xie, K.; Chen, C.; Lewis, F.L.; Xie, S. Adaptive asymptotic neural network control of nonlinear systems with unknown actuator quantization. IEEE Trans. Neural Netw. Learn. Syst. 2018, 29, 6303–6312. [Google Scholar]
  12. Wang, F.; Zhang, L.; Zhou, S.; Huang, Y. Neural network-based finite-time control of quantized stochastic nonlinear systems. Neurocomputing 2019, 362, 195–202. [Google Scholar] [CrossRef]
  13. Zhou, J.; Wen, C.; Wang, W.; Yang, F. Adaptive backstepping control of nonlinear uncertain systems with quantized states. IEEE Trans. Autom. Control 2019, 64, 4756–4763. [Google Scholar] [CrossRef]
  14. Choi, Y.H.; Yoo, S.J. Quantized feedback adaptive command filtered backstepping control for a class of uncertain nonlinear strict-feedback systems. Nonlinear Dyn. 2020, 99, 2907–2918. [Google Scholar] [CrossRef]
  15. Tabuada, P. Event-triggered real-time scheduling of stabilizing control tasks. IEEE Trans. Autom. Control 2007, 52, 1680–1685. [Google Scholar] [CrossRef]
  16. Mazo, M.; Tabuada, P. Decentralized event-triggered control over wireless sensor/actuator networks. IEEE Trans. Autom. Control 2011, 56, 2456–2461. [Google Scholar] [CrossRef]
  17. Brockett, R.W.; Liberzon, D. Quantized feedback stabilization of linear systems. IEEE Trans. Autom. Control 2000, 45, 1279–1289. [Google Scholar] [CrossRef]
  18. Li, F.; Gao, L.; Dou, G.; Zheng, B. Dual-side event-triggered output feedback H control for NCS with communication delays. Int. J. Control Autom. Syst. 2018, 16, 108–119. [Google Scholar] [CrossRef]
  19. Tallapragada, P.; Chopra, N. On event triggered tracking for nonlinear systems. IEEE Trans. Autom. Control 2013, 58, 2343–2348. [Google Scholar] [CrossRef]
  20. Kim, J.H.; Yoo, S.J. Distributed event-triggered adaptive formation tracking of networked uncertain stratospheric airships using neural networks. IEEE Access 2020, 8, 49977–49988. [Google Scholar] [CrossRef]
  21. Xing, L.; Wen, C.; Liu, Z.; Su, H.; Cai, J. Event-triggered adaptive control for a class of uncertain nonlinear systems. IEEE Trans. Autom. Control 2017, 62, 2071–2076. [Google Scholar] [CrossRef]
  22. Xing, L.; Wen, C.; Liu, Z.; Su, H.; Cai, J. Adaptive compensation for actuator failures with event-triggered input. Automatica 2017, 85, 129–136. [Google Scholar] [CrossRef]
  23. Xing, L.; Wen, C.; Liu, Z.; Su, H.; Cai, J. Event-triggered output feedback control for a class of uncertain nonlinear systems. IEEE Trans. Autom. Control 2019, 64, 290–297. [Google Scholar] [CrossRef]
  24. Ma, H.; Li, H.; Liang, H.; Dong, G. Adaptive fuzzy event-triggered control for stochastic nonlinear systems with full state constraints and actuator faults. IEEE Trans. Fuzzy Syst. 2019, 27, 2242–2254. [Google Scholar] [CrossRef]
  25. Qiu, J.; Sun, K.; Wang, T.; Gao, H. Observer-based fuzzy adaptive event-triggered control for pure-feedback nonlinear systems with prescribed performance. IEEE Trans. Fuzzy Syst. 2019, 27, 2152–2162. [Google Scholar] [CrossRef]
  26. Wang, J.; Liu, Z.; Zhang, Y.; Chen, C.L.P. Neural adaptive event-triggered control for nonlinear uncertain stochastic systems with unknown hysteresis. IEEE Trans. Neural Netw. Learn. Syst. 2019, 30, 3300–3312. [Google Scholar] [CrossRef]
  27. Li, Y.X.; Yang, G.H. Observer-based fuzzy adaptive event-triggered control codesign for a class of uncertain nonlinear systems. IEEE Trans. Fuzzy Syst. 2018, 26, 1589–1599. [Google Scholar] [CrossRef]
  28. Li, Y.X.; Yang, G.H. Adaptive neural control of pure-feedback nonlinear systems with event-triggered communications. IEEE Trans. Neural Netw. Learn. Syst. 2018, 29, 6242–6251. [Google Scholar] [CrossRef]
  29. Polycarpou, M.M. Stable adaptive neural control scheme for nonlinear systems. IEEE Trans. Autom. Control 1996, 41, 447–451. [Google Scholar] [CrossRef]
  30. Hu, G.D.; Liu, M. The weighted logarithmic matrix norm and bounds of the matrix exponential. Linear Algebra Its Appl. 2000, 390, 145–154. [Google Scholar] [CrossRef]
  31. Park, J.; Sandberg, I.W. Universal approximation using radial-basis-function networks. Neural Comput. 1991, 3, 246–257. [Google Scholar] [CrossRef]
  32. Wang, C.; Hill, D.J.; Ge, S.S.; Chen, G.R. An ISS-modular approach for adaptive neural control of pure-feedback systems. Automatica 2006, 42, 625–635. [Google Scholar]
  33. Kurdila, A.J.; Narcowich, F.J.; Ward, J.D. Persistency of excitation in identification using radial basis function approximants. SIAM J. Control Optim. 1995, 33, 625–642. [Google Scholar]
  34. Na, J.; Li, Y.; Huang, Y.; Gao, G.; Chen, Q. Output feedback control of uncertain hydraulic servo systems. IEEE Trans. Ind. Electron. 2020, 67, 490–500. [Google Scholar] [CrossRef]
Figure 1. Block diagram of the proposed quantized-feedback-based event-triggered tracking system.
Figure 1. Block diagram of the proposed quantized-feedback-based event-triggered tracking system.
Mathematics 08 01603 g001
Figure 2. Comparison of tracking results and errors for Example 1 (a) x 1 and r (b) μ 1 .
Figure 2. Comparison of tracking results and errors for Example 1 (a) x 1 and r (b) μ 1 .
Mathematics 08 01603 g002
Figure 3. Estimation results of the proposed approach for Example 1 (a) b ^ i (b) W ^ i for i = 1 , 2 , 3 .
Figure 3. Estimation results of the proposed approach for Example 1 (a) b ^ i (b) W ^ i for i = 1 , 2 , 3 .
Mathematics 08 01603 g003
Figure 4. Input triggering result and inter-event times of the proposed approach for Example 1 (a) α ^ 3 , 1 q and u (b) t l + 1 t l .
Figure 4. Input triggering result and inter-event times of the proposed approach for Example 1 (a) α ^ 3 , 1 q and u (b) t l + 1 t l .
Mathematics 08 01603 g004
Figure 5. Triggering threshold and the comparison of the cumulative number of events of the proposed approach for Example 1 (a) | u e | and θ 1 | μ 3 q | + θ 2 (b) the cumulative number of events.
Figure 5. Triggering threshold and the comparison of the cumulative number of events of the proposed approach for Example 1 (a) | u e | and θ 1 | μ 3 q | + θ 2 (b) the cumulative number of events.
Mathematics 08 01603 g005
Figure 6. Comparison of tracking results and errors for Example 2 (a) x 1 and r (b) μ 1 .
Figure 6. Comparison of tracking results and errors for Example 2 (a) x 1 and r (b) μ 1 .
Mathematics 08 01603 g006
Figure 7. Estimation results of the proposed approach for Example 2 (a) b ^ i (b) W ^ i for i = 2 , 3 .
Figure 7. Estimation results of the proposed approach for Example 2 (a) b ^ i (b) W ^ i for i = 2 , 3 .
Mathematics 08 01603 g007
Figure 8. Input triggering result and inter-event times of the proposed approach for Example 2 (a) α ^ 3 , 1 q and u (b) t l + 1 t l .
Figure 8. Input triggering result and inter-event times of the proposed approach for Example 2 (a) α ^ 3 , 1 q and u (b) t l + 1 t l .
Mathematics 08 01603 g008
Figure 9. Triggering threshold and the comparison of the cumulative number of events of the proposed approach for Example 2 (a) | u e | and θ 1 | μ 3 q | + θ 2 (b) the cumulative number of events.
Figure 9. Triggering threshold and the comparison of the cumulative number of events of the proposed approach for Example 2 (a) | u e | and θ 1 | μ 3 q | + θ 2 (b) the cumulative number of events.
Mathematics 08 01603 g009

Share and Cite

MDPI and ACS Style

Choi, Y.H.; Yoo, S.J. Quantized-Feedback-Based Adaptive Event-Triggered Control of a Class of Uncertain Nonlinear Systems. Mathematics 2020, 8, 1603. https://doi.org/10.3390/math8091603

AMA Style

Choi YH, Yoo SJ. Quantized-Feedback-Based Adaptive Event-Triggered Control of a Class of Uncertain Nonlinear Systems. Mathematics. 2020; 8(9):1603. https://doi.org/10.3390/math8091603

Chicago/Turabian Style

Choi, Yun Ho, and Sung Jin Yoo. 2020. "Quantized-Feedback-Based Adaptive Event-Triggered Control of a Class of Uncertain Nonlinear Systems" Mathematics 8, no. 9: 1603. https://doi.org/10.3390/math8091603

APA Style

Choi, Y. H., & Yoo, S. J. (2020). Quantized-Feedback-Based Adaptive Event-Triggered Control of a Class of Uncertain Nonlinear Systems. Mathematics, 8(9), 1603. https://doi.org/10.3390/math8091603

Note that from the first issue of 2016, this journal uses article numbers instead of page numbers. See further details here.

Article Metrics

Back to TopTop