Next Article in Journal
Quantized-Feedback-Based Adaptive Event-Triggered Control of a Class of Uncertain Nonlinear Systems
Next Article in Special Issue
An Efficient Design and Implementation of a Quadrotor Unmanned Aerial Vehicle Using Quaternion-Based Estimator
Previous Article in Journal
Numerical Non-Linear Modelling Algorithm Using Radial Kernels on Local Mesh Support
Previous Article in Special Issue
Event-Based Implementation of Fractional Order IMC Controllers for Simple FOPDT Processes
 
 
Font Type:
Arial Georgia Verdana
Font Size:
Aa Aa Aa
Line Spacing:
Column Width:
Background:
Article

Solitary Wave Solutions of the Generalized Rosenau-KdV-RLW Equation

by
Zakieh Avazzadeh
1,2,
Omid Nikan
3 and
José A. Tenreiro Machado
4,*
1
Institute of Research and Development, Duy Tan University, Da Nang 550000, Vietnam
2
Faculty of Natural Sciences, Duy Tan University, Da Nang 550000, Vietnam
3
School of Mathematics, Iran University of Science and Technology, Narmak, Tehran 16846-13114, Iran
4
Department of Electrical Engineering, Institute of Engineering, Polytechnic of Porto, 4249-015 Porto, Portugal
*
Author to whom correspondence should be addressed.
Mathematics 2020, 8(9), 1601; https://doi.org/10.3390/math8091601
Submission received: 21 August 2020 / Revised: 9 September 2020 / Accepted: 9 September 2020 / Published: 17 September 2020
(This article belongs to the Special Issue Applications of Mathematical Models in Engineering)

Abstract

This paper investigates the solitary wave solutions of the generalized Rosenau–Korteweg-de Vries-regularized-long wave equation. This model is obtained by coupling the Rosenau–Korteweg-de Vries and Rosenau-regularized-long wave equations. The solution of the equation is approximated by a local meshless technique called radial basis function (RBF) and the finite-difference (FD) method. The association of the two techniques leads to a meshless algorithm that does not requires the linearization of the nonlinear terms. First, the partial differential equation is transformed into a system of ordinary differential equations (ODEs) using radial kernels. Then, the ODE system is solved by means of an ODE solver of higher-order. It is shown that the proposed method is stable. In order to illustrate the validity and the efficiency of the technique, five problems are tested and the results compared with those provided by other schemes.

1. Introduction

Nonlinear waves are important phenomena in scientific research. Due to that reason, a number of models have been proposed to describe their behavior. Indeed, we find a variety of mathematical descriptions of wave dynamics, such as the Rosenau, regularized-long wave (RLW), and Korteweg-de Vries (KdV) equations [1,2,3,4,5,6,7,8]. The KdV equation has been applied in the description of dynamical effects such as longitudinal astigmatic, ion sound, and magnetic fluid waves [4,5,6,7,8,9]. The convergence properties, existence and the regularity of solutions of KdV-type equation have been discussed in [10,11,12].
Kaya and Aassila calculated the explicit solutions of the KdV equation with an initial condition by using the Adomian decomposition method [13]. Özer and Kutluay applied an analytical–numerical method to the KdV equation [14]. The RLW equation was developed by Peregrine, as an alternative to the classical KdV formulation in order to investigate the behavior of the solution  [15,16]. Benjamin et al. proved the existence and uniqueness of the solution of the RLW model and determined its exact expression subject to restrictions in the initial and boundary conditions  [2]. The RLW is also adopted in the modeling of long waves with small amplitudes on the water surface [17]. A noteworthy feature of the RLW problem is that the collision between two solitary waves results either in sinusoidal solutions, or in secondary solitary waves [18]. Since the KdV cannot describe wave–all and wave–wave interactions, another model, known as the Rosenau equation, was proposed by Rosenau to describe the dynamics behavior of dense discrete systems [7]. Zuo studied the solitary wave and periodic solutions for the Rosenau-KdV model [6]. Barreto et al. discussed the existence of solutions of the Rosenau formulation with the plus sign in the advection-like term in moving domains by means of the Galerkin, multiplier, and energy estimate techniques [3].
Hereafter, we propose a numerical method for the initial value problem of the general Rosenau-KdV-RLW equation [19,20,21,22,23,24],
u t + α u x + β ( u p ) x + γ u x x x μ u x x t + δ u x x x x t = 0 ,
with the initial condition
u ( x , 0 ) = f ( x )
and boundary conditions
u ( a , t ) = u ( b , t ) = 0 , u x ( a , t ) = u x ( b , t ) = 0 , u ( a , t ) = u ( b , t ) = 0 , u x x ( a , t ) = u x x ( b , t ) = 0 ,
where u = u ( x , t ) , is a real-valued function, the real constants α , β , γ and μ are non-negative, p 2 is a positive integer, and f ( x ) is a given smooth function.
Lemma 1.
(See [25].) The following conservative properties for the initial value problem (1) hold
Q ( t ) = a b u ( x , t ) d x = a b u ( x , 0 ) d x = Q ( 0 )
and
E ( t ) = a b ( u 2 + c u x 2 + u x x 2 ) d x = | | u | | L 2 2 + c | | u x | | L 2 2 + c | | u x x | | L 2 2 = E ( 0 ) ,
where Q ( 0 ) and E ( 0 ) are constants depending on the initial conditions.
When a 0 and b 0 , the initial boundary value problem (1)–(3) is consistent and, the boundary condition (3) is reasonable [26]. Some particular cases of Equation (1) occur:
  • if α = 0 , β = 0.5 , γ = 1 , μ = 0 , δ = 0 and p = 2 , then expression (1) is the KdV equation [14,27,28,29],
    u t + u u x + u x x x = 0 ;
  • if α = 1 , β = 0.5 , γ = 0 , μ = 0 , δ = 1 and p = 2 , then expression (1) is the Rosenau equation [30,31,32],
    u t + α u x + u u x + u x x x t = 0 ;
  • if α = 1 , β = 0.5 , μ = 1 , γ = 0 , δ = 0 and p = 2 , then expression (1) becomes the RLW equation [33]
    u t + u x + u u x u x x t = 0 ;
  • if α = 1 , β = 0.5 , γ = 1 , μ = 0 , δ = 1 and p = 2 , then expression (1) is the Rosenau-KdV equation [6,34,35]
    u t + u x + u u x + u x x x + u x x x x t = 0 ;
  • if α = 1 , β = 1 , γ = 0 , μ = 1 , and δ = 1 , then expression (1) is the generalized Rosenau-RLW model [26]
    u t + u x + ( u p ) x u x x t + u x x x x t = 0 ;
  • if p = 2 , p = 3 or p 4 , then expression (1) represents the classical, modified, and general Rosenau-RLW equations, respectively.
In recent years, various analytical and numerical methods have been used to approximate the solution of the initial boundary value problem (1)–(3). Razborova et al. presented a theoretical approach based on the Ansatz method for the Rosenau-KdV-RLW equation [9]. Later, Razborova et al. used a semi-inverse Variational Principle to retrieve a single solitary wave solution [22]. Additionally, Razborova et al. and Sanchez et al. discussed the solutions of the perturbed Rosenau-KdV-RLW equation [23,24]. Wongsaijai et al. constructed a three-level weighted average implicit finite difference (FD) technique [19]. Pan et al. presented a C-N pseudo-compact conservative numerical scheme based on the FD technique [20]. Fernández and Ramos investigated a three-point compact method with fourth-second accuracy [21]. Wang et al. and Hu and Wang formulated FD schemes with linear three-level [31] and high-accuracy conservative [33] characteristics, respectively. Wongsaijai et al. proposed a compact FD technique [26] and Pan et al. developed a linear-implicit FD for the usual Rosenau-RLW equation [25,36]. Zheng et al. presented an average linear FD technique [34]. Mittal et al. implemented a numerical method based on the collocation of quintic B-splines over finite elements [37]. Hu et al. considered a second-order conservative FD scheme [38]. Ari et al. adopted a meshless kernel-based approach of lines  [39]. Foroutan et al. developed a modified Chebyshev rational approximation [40]. Wang et al. advanced a three-level linear conservative FD [41], while Wongsaijai et al. came with a mass-preserving scheme, namely, a nonlinear algorithm based on a modification of the FD [42].
In this paper, we use the local meshless radial basis function (RBF) for solving the general Rosenau-KdV and the Rosenau-RLW models. Section 2 formulates and discusses the local meshless RBF based on the finite difference (RBF-FD) technique for discretizing Equation (1). Section 3 provides five numerical examples and compares the results with those of other schemes proposed in the literature. Finally, Section 4 presents the concluding remarks.

2. The RBF-FD Collocation Method

A mesh-free (or meshless) method adopts an algebraic system of equations for the complete domain without requiring a pre-defined mesh discretization of the domain and its boundary [43,44]. Mesh-free techniques are used to approximate scattered data, since generating meshes is one of the most laborious tasks of mesh-based numerical processes. Indeed, a mesh-free technique provides a low-cost alternative to schemes involving finite volume, finite difference, finite element, multivariate splines, and wavelets, all requiring node connectivity. Meshless techniques eliminate the mesh generation step and a collection of scattered data can be used. The RBF is one of the most widely used meshless techniques and reveals good performance in case of multidimensional scattered data interpolation [43,44].
Given a set of scattered node data X C = { x 1 , , x N } R n and the corresponding function values u i = u ( x i ) , i = 1 , 2 , , N , the RBF interpolant is represented in the form
u ( x ) S ( x ) = j = 1 N α j ϕ j ( x , c ) ,
where { α j } j = 1 N are unknown coefficients, ϕ j ( x , c ) = ϕ ( x x j 2 , c ) , j = 1 , , N , are RBF with shape parameter c, and the operation · 2 represents the Euclidean norm [44,45]. Some popular choices of RBF include the linear, Cubic, Multiquadric (MQ), Gaussian (GA), and thin-plate spline (TPS) versions with dependence r, r 3 , c 2 + r 2 , exp ( c r 2 ) , and r 4 ln ( r ) , respectively, where r = x x j 2 . The coefficients { α j } j = 1 N of Equation (6) are computed by imposing interpolation conditions S ( x i ) = u i , i = 1 , , N . The relation (6) can be written in the following matrix form
A ϕ α = f ,
where  
α = α 1 α 2 α N , f = f 1 f 2 f N , A ϕ , i j = ϕ j ( x i ) , i , j = 1 , , N .
The non-singularity of the associated linear system was proven in [46]. The main pros of the RBF collocation method when solving PDEs are its simplicity, easy application to different PDEs, and efficiency for solving problems involving complex domains. On the other hand, the major con of this method is related to the problem of full matrices. These matrices are strongly sensitive to the shape parameter c selected in the RBF and, therefore, they become difficult to solve in problems where we have too many unknowns. This problem arises from the fact that using the RBF interpolation increases the condition numbers of the related matrices for a large number of nodes. This occurs particularly when one selects inadequate data centers and uses basic functions that are infinitely smooth, such as the MQ, with extreme values of the shape parameter c [45].
The notation of local differentiation is popular in the RBF literature, particularly for time-dependent PDEs. The local radial basis function (RBF) generated by finite differences (RBF-FD), raised considerable interest owing to the structure of their differentiation and interpolation matrices [47,48]. It is possible to control the degree of sparsity of the differentiation and interpolation matrices produced by the local RBF. This sparsity can take advantage of parallelism and solve large problems [49,50]. The local RBFs have also been employed to reduce the model order. In some situations, researchers have found that the local RBF technique can produce the same degree of accuracy as the global RBF technique with a smaller mesh size [49,50,51,52,53]. Although small mesh sizes result in smaller ODE systems, the overall accuracy is maintained. Interested readers can find examples of the application of local RBFs to problems in the geosciences in [54,55]. Garshasbi et al. used the RBF collocation method for approximating the shallow water model named the Camassa–Holm equation [56]. Uddin connected the RBF to the pseudo-spectral method, known as RBF-PS method to approximate the equal width equation [57]. Nikan et al. solved numerically the nonlinear KdV-Benjamin-Bona-Mahony-Burgers (KdV-BBM-B) with the help of the RBF-PS [58]. Dehghan and Shafieeabyaneh addressed the RLW and extended Fisher-Kolmogorov (EFK) equations using local meshless RBF-FD [59]. Ebrahimijahan and Dehghan proposed a numerical technique for solving the nonlinear generalized BBBM-B and RLW equations based on the integrated RBF [60]. Rashidinia et al. implemented the local RBF-FD meshless method for generalized Korteweg-de Vries-Burgers [61] and Kawahara [62] equations.
Let us consider that I i = { x i 1 , x i 2 , , x i n i } is a stencil of x i . In the local RBF-FD collocation method, the linear differential operator L at every point can be approximated only the stencil instead of applying the complete number of point, i.e.,
L u ( x i ) = j = 1 n i w j u ( x i j ) ,
where x i = x i 1 is the center point of stencil I i . Figure 1 gives an example of a domain with 9 grid points and a stencil size of n i = 4 . At the point x 3 , the n i 1 = 3 nearest neighbors are used in the computation. Figure 2 shows the sparsity patterns for N = 50 for two stencil sizes n i = 11 and n i = 15 .
By deriving the RBF expansion of u ( x ) in Equation (8), the weighted differences of stencil node can be obtained from the system as:
A ϕ w = l ,
where
w = w 1 w 2 w n i , l = L ϕ i 1 ( x ) | x = x i L ϕ i 2 ( x ) | x = x i L ϕ i n i ( x ) | x = x i , A ϕ , i j = ϕ i i ( x i j ) , i , j = 1 , , n i .
Indeed, it is necessary to solve a small-sized linear system with a conditionally positive definite coefficient matrix in each stencil. The weighted differences of the stencil nodes w 1 , w 2 , , w n i can be determined from the above system.
The first, second and third order derivatives can be approximated with the help of the function values at a set of n i nodes (including x i ) in the stencil of x i . That is, we can write
u k ( x ) x | x = x i = j = 1 n i w i , j x , 1 u k ( x j i ) = W x u ,
2 u k ( x ) x 2 | x = x i = j = 1 n i w i , j x , 2 u k ( x j i ) = W x x u ,
3 u k ( x ) x 3 | x = x i = j = 1 n i w i , j x , 3 u k ( x j i ) = W x x x u ,
where w i , j x , l represents the weighted differences of stencil node for the order derivatives l = { 1 , 2 , 3 } .
We can obtain the following semi-discrete system by considering the notations above as
u + α W x u + β W x ( u p ) μ W x x u + γ W x x x + δ W x x x x u = 0 .
The above equation can be represented as
( I μ W x x + δ W x x x x ) u = α W x u β W x ( u p ) γ W x x x u .
We must note that the matrices A = α W x β W x γ W x x x and B = I μ W x x + δ W x x x x are time-independent. We conclude that
u = W u ,
where W = B 1 ( α W x β W x ( u p 1 ) γ W x x x ) . Equation (16) is of the form
u = F ( u ) .
Equation (17) is an ODE with respect to u and it can be solved by means of an ODE solver in MATLAB such as ode113 or ode45. Let τ = T / M and t n = n τ , for n = 0 , 1 , , M , so that the mesh { t n : n = 0 , 1 , , M } is uniform. The initial solution u 0 is the starting vector. The package ode45 is an explicit Runge-Kutta of order 4(5) formula of the Dormand–Prince pairs [63]. The ode45 is a one-step solver that computes u t n given the solution at the preceding time point u t n 1 . On the other hand, the ode113 is a variable-order Predict–Evaluate–Correct–Evaluate solver of the Adams–Bashforth–Moulton type [64]. This solver might be more efficient than the ode45 for close tolerances and, in particular, when the ODE file function is particularly expensive to evaluate. A multi-step solver, such as the ode113, needs the solutions corresponding to more than one preceding time point for calculating the current solution. Hereafter, we calculate the differentiation matrices, expressed by W x , W x x and W x x , only one time outside the time-stepping operation. Additionally, merely matrix-vector multiplications are required within the time-stepping operation.

Stability Analysis

The method of lines represents the idea of using the FD method in the time direction t to solve a coupled system of ODEs. The numerical stability of the method of lines is investigated by a rule of tumb. The method of lines is stable if the eigenvalues of the (linearized) spatial discretization operator, scaled by τ , lie in the stability region of the time-discretization operator [57,65]. One defines the stability region as the portion of a multifaceted plane consisting of eigenvalues which result in the generation of bounded solutions. The coefficient matrix eigenvalues determine the stability of Equation (16) [66]. Hence, we need only to demonstrate that every eigenvalue R e ( λ i ) belonging to the coefficient matrix has a non-positive real term R e ( λ i ) , where λ i , i = 1 , 2 , , N , represents of the matrix eigenvalues. In other words, for all i = 1 , 2 , , N , we must have R e ( λ i ) 0 for obtaining stable solutions. The reader is referred to [66] for further details. In order to investigate the stable and unstable eigenvalue ranges of the Rosenau-KdV-RLW model, one must compute the eigenvalues belonging to the matrix W , which are scaled by τ .

3. Computational Results and Comparisons

This section considers five test problems assessing the effectiveness and accuracy of the proposed method for various values of h, τ and c. To measure the accuracy of method in comparison with the exact solution, we compute the following error norms:
L = max 1 j M 1 | u e x a c t ( x j , T ) u ( x j , T ) | , L 2 = h j = 1 N ( u e x a c t ( x j , T ) u ( x j , T ) ) 2 1 2 , R M S = 1 N j = 1 N ( u e x a c t ( x j , T ) u ( x j , T ) ) 2 1 2 ,
where u and u e x a c t denote the numerical solution and exact solution, respectively. In addition, the invariants of motion are evaluated by
Q = a b u ( x , t ) d x = i = 1 N u i , E = a b ( u 2 + c u x 2 + u x x 2 ) d x = i = 1 N u i 2 + c ( u x ) i 2 + ( u x x ) i 2 .
It should be noted that the Gaussian function is used as a basis and the computations were performed in MATLAB R2016a with a computer system having a configuration including Intel(R) Core(TM) i5-2330 CPU 3.60 GHz and 8.00G RAM.
Example 1.
Let us consider the general Rosenau-KdV-RLW model (1) in the case of α = μ = γ = 1 , β = 0.5 , p = 2 and δ = 0 in the spatial interval x [ 70 , 100 ] . The exact solution is u ( x , t ) = k 11 sech 4 [ k 12 ( x k 13 t ) ] [38,41], where
k 11 = 35 24 + 35 12 313 , k 12 = 1 24 26 + 2 313 , k 13 = 1 2 + 313 26 ·
Table 1 lists the approximation errors in terms of L , L 2 and RMS with τ = 0.01 and n i = 489 . Table 2 compares the obtained results with those provided by the techniques described in [38,41]. It is seen that the errors obtained by the proposed technique are inferior to the others. Figure 3 depicts the motion of the single solitary wave with h = τ = 0.125 over the spatial intervals x [ 40 , 60 ] (left) and x [ 70 , 100 ] (right) at final times T { 0 , 30 , 40 } . We verify that the single solitons move to the right at a constant speed and preserve their amplitude and shape with increasing time as anticipated. Figure 4 represents the absolute errors L at final times T { 0 , 30 , 40 } . Figure 5 portraits the eigenvalues of the linearized differentiation operator A and B (left and right panels, respectively) with N = 100 . We observe that the eigenvalues calculated for A and B are zero or have negative values. The eigenvalues belonging to the linearized differentiation operators are real and negative or are complex with a negative real term. Hence, the stability of the proposed system for this case is proven.
Example 2.
Let us consider the general Rosenau-KdV-RLW model (1) in the case of α = β = μ = γ = 1 , p = 5 and δ = 0 over the spatial interval x [ 60 , 90 ] . The exact solitary wave solution is u ( x , t ) = k 21 sech [ k 22 ( x k 23 t ) ] , where [34,41]
k 21 = 4 15 ( 5 + 34 ) 4 , k 22 = 5 + 34 3 , k 23 = 5 + 34 10 ·
Table 3 reports the L , L 2 and RMS errors with τ = 0.01 and n i = 489 . Table 4 compares the results with those obtained by the techniques described in [34,41]. It is clear that the results of the new method are considerably more accurate. Table 5 illustrates the conservative law of the discrete energy E. Figure 6 depicts the motion of single solitary wave with h = τ = 0.125 (left) and h = τ = 0.0625 (right) over the spatial interval x [ 60 , 90 ] at final times T { 0 , 10 , 40 } . The single solitons move to the right at a constant speed preserving their amplitude and shape. Figure 7 represents the absolute error L at final times T = { 30 , 40 } . Figure 8 plots the eigenvalues of the matrices A and B (left and right panels, respectively) with N = 100 . The eigenvalues calculated for A are negative values. For what concerns B , they are zero or have negative values. Therefore, the stability of the proposed system is confirmed.
Example 3.
We consider the general Rosenau-KdV-RLW model (1) corresponding to the case α = μ = 1 , β = 0.5 , p = 2 , μ = 0.1 and δ = 0 over the spatial interval x [ 40 , 100 ] . The exact solution is u ( x , t ) = k 31 sech 4 [ k 32 ( x k 33 t ) ] , where [19]
k 31 = 5 456 ( 25 13 457 ) , k 32 = 13 + 457 288 1 / 2 , k 33 = 241 + 13 457 266 ·
Table 6 compares the results of the proposed method with those resulting from the schemes in [19,41]. The computational efficiency is clearly superior to the performance exhibited by the other schemes. Figure 9 plots the motion of single solitary wave with h = τ = 0.5 , (left) h = τ = 0.25 (right) over the spatial interval x [ 40 , 100 ] at final times T { 0 , 30 , 40 } . The peak of the solitary waves remains the same during the simulation. Figure 10 shows the eigenvalues of the matrices A and B (left and right panel, respectively) with N = 100 . The eigenvalues calculated for A and B have zero or negative values. Hence, the stability of the proposed system for this case is confirmed.
Example 4.
Let us consider the general Rosenau-KdV-RLW model (1) in the case of α = μ = 1 , β = 1 , p = 2 , γ = 0 and δ = 1 over the spatial interval x [ 50 , 150 ] [19,25,33,42]. The exact solution is u ( x , t ) = k 41 sech 4 [ k 42 ( x k 43 t ) ] , where
k 41 = 15 19 , k 42 = 13 26 , k 43 = 169 133 ·
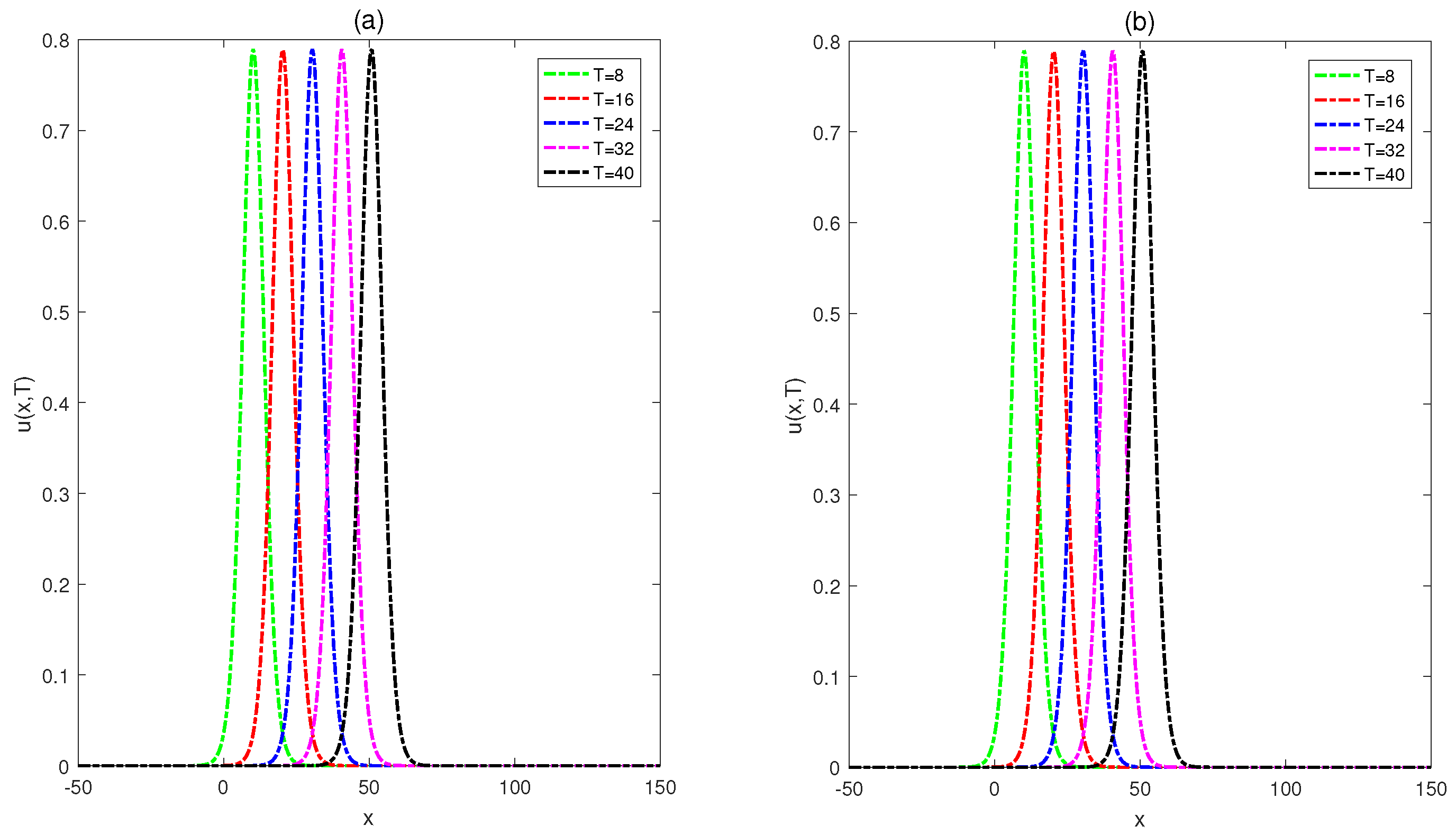
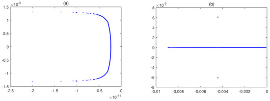
Table 7 compares the results of proposed method with those obtained with other schemes [19,25,33,42]. In this case, the accuracy of the method is slightly better than those achieved with the rest. Figure 11 depicts the motion of the single solitary wave with h = τ = 0.4 (left) and h = τ = 0.2 (right) over the spatial interval x [ 50 , 150 ] at final times T { 8 , 16 , 24 , 32 } . The crest of the soliton clearly remains the same during the simulation. Figure 12 plots the eigenvalues of the matrices A and B (left and right panels, respectively) with N = 100 . The eigenvalues calculated for A are negative values, while for B they have zero or negative values. Hence, the stability of the proposed system for this case is verified.
Example 5.
Consider the general Rosenau-KdV-RLW model (1) with parameters as α = β = μ = δ = 1 and γ = 0 , in two spatial intervals, namely x [ 60 , 120 ] and x [ 30 , 120 ] . The exact solution is given by
u ( x , t ) = exp ( k 51 ) sech 4 p 1 [ k 52 ( x k 53 t ) ] ,
where
k 51 = ( ln [ ( p + 3 ) ( 3 p + 1 ) ( p + 1 ) ] / [ 2 ( p 2 + 3 ) ( p 2 + 4 p + 7 ) ] / ( p 1 ) , k 52 = p 1 4 p 2 + 8 p + 20 , k 53 = ( p 4 + 4 p 3 + 14 p 2 + 20 p + 25 ) / ( p 4 + 4 p 3 + 10 p 2 + 12 p + 21 ) .
The initial boundary value problem (1)–(3) includes the following conservative quantities:
I 1 = 1 2 a b u d x = h 2 i = 1 N u i , I 2 = 1 2 a b ( u 2 + u x 2 + u x x 2 ) d x = h 2 i = 1 N u i + ( u x ) i 2 + ( u x x ) i 2 ,
related to mass and energy. The quantities I 1 and I 2 are applied to measure the conservation properties of the present method, calculated by means of the trapezoidal rule for the Rosenau-RLW equation.
Table 8 and Table 9 compare the results of the proposed method with those obtained from the schemes presented in [26,36,37,39]. It can be observed that the computational results are clearly better than the others and that the invariants I 1 and I 2 remain constant during the simulation. Figure 13 plots the motion of the single solitary wave for various p at T = { 0 , 30 , 60 } in the spatial interval x [ 60 , 120 ] . The single solitons move to the right at a constant speed and conserve their amplitudes and shapes. Figure 14 shows the eigenvalues of the linearized differentiation operator A and B (left and right panels, respectively) with N = 100 . The eigenvalues calculated for A and B are zero, or have negative values. Therefore, the stability of the proposed system for this case is confirmed.

4. Conclusions

We adopted the local meshless RBF-FD to calculate the approximate numerical solutions of the general nonlinear Rosenau-RLW equation without performing any linearization or transformation of the equation. In order to demonstrate the accuracy of the proposed numerical technique, the error invariants and error norms were computed, and the results were compared with others available in the literature. The local RBF-FD technique was verified to be remarkably accurate. In conclusion, the method is sufficiently accurate and fast due to its limited computational load.

Author Contributions

All authors contributed equally to this paper. All authors read and approved the final paper.

Funding

This research received no external funding.

Acknowledgments

The authors are thankful to the respected reviewers for their valuable comments and constructive suggestions towards the improvement of the original paper.

Conflicts of Interest

The authors declare that there is no conflict of interest regarding the publication of this article.

References

  1. Korteweg, D.J.; De Vries, G. On the change of form of long waves advancing in a rectangular canal, and on a new type of long stationary waves. Lond. Edinb. Dublin Philos. Mag. J. Sci. 1895, 39, 422–443. [Google Scholar] [CrossRef]
  2. Benjamin, T.B.; Bona, J.L.; Mahony, J.J. Model equations for long waves in nonlinear dispersive systems. Philos. Trans. R. Soc. Lond. Ser. 1972, 272, 47–78. [Google Scholar]
  3. Barreto, R.K.; De Caldas, C.S.; Gamboa, P.; Limaco, J. Existence of solutions to the Rosenau and Benjamin-Bona-Mahony equation in domains with moving boundary. Electron. J. Differ. Equ. 2004, 2004, 1–12. [Google Scholar]
  4. Ramos, J.I. Explicit finite difference methods for the EW and RLW equations. Appl. Math. Comput. 2006, 179, 622–638. [Google Scholar] [CrossRef]
  5. Zhang, L. A finite difference scheme for generalized regularized long-wave equation. Appl. Math. Comput. 2005, 168, 962–972. [Google Scholar] [CrossRef]
  6. Zuo, J.M. Solitons and periodic solutions for the Rosenau–KdV and Rosenau–Kawahara equations. Appl. Math. Comput. 2009, 215, 835–840. [Google Scholar] [CrossRef]
  7. Rosenau, P. A quasi-continuous description of a nonlinear transmission line. Phys. Scr. 1986, 34, 827. [Google Scholar] [CrossRef]
  8. Cui, Y.; Mao, D.k. Numerical method satisfying the first two conservation laws for the Korteweg–de Vries equation. J. Comput. Phys. 2007, 227, 376–399. [Google Scholar] [CrossRef]
  9. Razborova, P.; Moraru, L.; Biswas, A. Perturbation of dispersive shallow water waves with Rosenau-KdV-RLW equation and power law nonlinearity. Rom. J. Phys. 2014, 59, 658–676. [Google Scholar]
  10. Coclite, G.M.; di Ruvo, L. A singular limit problem for conservation laws related to the Rosenau–Korteweg– de Vries equation. J. Math. Pures Appl. 2017, 107, 315–335. [Google Scholar] [CrossRef]
  11. Mendez, A.J. On the propagation of regularity for solutions of the fractional Korteweg-de Vries equation. J. Differ. Equ. 2020, 269, 9051–9089. [Google Scholar] [CrossRef]
  12. Benia, Y.; Scapellato, A. Existence of solution to Korteweg–de Vries equation in a non-parabolic domain. Nonlinear Anal. 2020, 195, 111758. [Google Scholar] [CrossRef]
  13. Kaya, D.; Aassila, M. An application for a generalized KdV equation by the decomposition method. Phys. Lett. A 2002, 299, 201–206. [Google Scholar] [CrossRef]
  14. Özer, S.; Kutluay, S. An analytical–numerical method for solving the Korteweg–de Vries equation. Appl. Math. Comput. 2005, 164, 789–797. [Google Scholar] [CrossRef]
  15. Peregrine, D.H. Long waves on a beach. J. Fluid Mech. 1967, 27, 815–827. [Google Scholar] [CrossRef]
  16. Peregrine, D. Calculations of the development of an undular bore. J. Fluid Mech. 1966, 25, 321–330. [Google Scholar] [CrossRef]
  17. Bona, J.; Bryant, P.J. A mathematical model for long waves generated by wavemakers in non-linear dispersive systems. In Mathematical Proceedings of the Cambridge Philosophical Society; Cambridge University Press: Cambridge, UK, 1973; Volume 73, pp. 391–405. [Google Scholar]
  18. Abdulloev, K.O.; Bogolubsky, I.; Makhankov, V.G. One more example of inelastic soliton interaction. Phys. Lett. A 1976, 56, 427–428. [Google Scholar] [CrossRef]
  19. Wongsaijai, B.; Poochinapan, K. A three-level average implicit finite difference scheme to solve equation obtained by coupling the Rosenau–KdV equation and the Rosenau–RLW equation. Appl. Math. Comput. 2014, 245, 289–304. [Google Scholar] [CrossRef]
  20. Pan, X.; Wang, Y.; Zhang, L. Numerical analysis of a pseudo-compact CN conservative scheme for the Rosenau-KdV equation coupling with the Rosenau–RLW equation. Bound. Value Probl. 2015, 2015, 65. [Google Scholar] [CrossRef]
  21. Apolinar-Fernández, A.; Ramos, J.I. Numerical solution of the generalized, dissipative KdV–RLW–Rosenau equation with a compact method. Commun. Nonlinear Sci. Numer. Simul. 2018, 60, 165–183. [Google Scholar] [CrossRef]
  22. Razborova, P.; Ahmed, B.; Biswas, A. Solitons, shock waves and conservation laws of Rosenau-KdV-RLW equation with power law nonlinearity. Appl. Math. Inf. Sci. 2014, 8, 485. [Google Scholar] [CrossRef]
  23. Razborova, P.; Kara, A.H.; Biswas, A. Additional conservation laws for Rosenau–KdV–RLW equation with power law nonlinearity by Lie symmetry. Nonlinear Dyn. 2015, 79, 743–748. [Google Scholar] [CrossRef]
  24. Sanchez, P.; Ebadi, G.; Mojaver, A.; Mirzazadeh, M.; Eslami, M.; Biswas, A. Solitons and other solutions to perturbed Rosenau-KdV-RLW equation with power law nonlinearity. Acta Phys. Pol. A 2015, 127, 1577–1586. [Google Scholar] [CrossRef]
  25. Pan, X.; Zhang, L. On the convergence of a conservative numerical scheme for the usual Rosenau–RLW equation. Appl. Math. Model. 2012, 36, 3371–3378. [Google Scholar] [CrossRef]
  26. Wongsaijai, B.; Poochinapan, K.; Disyadej, T. A Compact Finite Difference Method for Solving the General Rosenau–RLW Equation. Int. J. Appl. Math. 2014, 44, 192–199. [Google Scholar]
  27. Dutykh, D.; Chhay, M.; Fedele, F. Geometric numerical schemes for the KdV equation. Comput. Math. Math. Phys. 2013, 53, 221–236. [Google Scholar] [CrossRef]
  28. Noon, N.J. Fully discrete formulation of Galerkin-Partial artificial diffusion finite element method for coupled Burgers’ problem. Int. J. Adv. Appl. Math. Mech. 2014, 1, 56–75. [Google Scholar]
  29. El-Sayed, M.; Moatimid, G.; Moussa, M.; El-Shiekh, R.; Al-Khawlani, M. New exact solutions for coupled equal width wave equation and (2+1)-dimensional Nizhnik-Novikov-Veselov system using modified Kudryashov method. Int. J. Adv. Appl. Math. Mech. 2014, 2, 19–25. [Google Scholar]
  30. Park, M.A. Pointwise decay estimates of solutions of the generalized Rosenau equation. J. Korean Math. Soc. 1992, 29, 261–280. [Google Scholar]
  31. Wang, M.; Li, D.; Cui, P. A conservative finite difference scheme for the generalized Rosenau equation. Int. J. Pure Appl. Math. 2011, 71, 539–549. [Google Scholar]
  32. Karakoc, S.B.G.; Ak, T. Numerical simulation of dispersive shallow water waves with Rosenau-KdV equation. Int. J. Adv. Appl. Math. Mech. 2016, 3, 32–40. [Google Scholar]
  33. Hu, J.; Wang, Y. A high-accuracy linear conservative difference scheme for Rosenau–RLW equation. Math. Probl. Eng. 2013, 2013, 423718. [Google Scholar] [CrossRef][Green Version]
  34. Zheng, M.; Zhou, J. An average linear difference scheme for the generalized Rosenau-KdV equation. J. Appl. Math. 2014, 202793. [Google Scholar] [CrossRef]
  35. Esfahani, A. Solitary wave solutions for generalized Rosenau-KdV equation. Commun. Theor. Phys. 2011, 55, 396–398. [Google Scholar] [CrossRef]
  36. Pan, X.; Zhang, L. Numerical simulation for general Rosenau–RLW equation: An average linearized conservative scheme. Math. Probl. Eng. 2012, 517818. [Google Scholar] [CrossRef]
  37. Mittal, R.C.; Jain, R.K. Numerical solution of General Rosenau–RLW Equation using Quintic B-splines Collocation Method. Commun. Numer. Anal. 2012, cna-00129. [Google Scholar] [CrossRef][Green Version]
  38. Hu, J.; Xu, Y.; Hu, B. Conservative linear difference scheme for Rosenau-KdV equation. Adv. Math. Phys. 2013, 423718. [Google Scholar] [CrossRef][Green Version]
  39. Arı, M.; Dereli, Y. Numerical solutions of the general Rosenau-RLW equation using meshless kernel based method of lines. J. Phys. Conf. Ser. 2016, 766, 012030. [Google Scholar] [CrossRef]
  40. Foroutan, M.; Ebadian, A. Chebyshev rational approximations for the Rosenau-KdV-RLW equation on the whole line. Int. J. Anal. Appl. 2018, 16, 1–15. [Google Scholar]
  41. Wang, X.; Dai, W. A three-level linear implicit conservative scheme for the Rosenau–KdV–RLW equation. J. Comput. Appl. Math. 2018, 330, 295–306. [Google Scholar] [CrossRef]
  42. Wongsaijai, B.; Mouktonglang, T.; Sukantamala, N.; Poochinapan, K. Compact structure-preserving approach to solitary wave in shallow water modeled by the Rosenau–RLW equation. Appl. Math. Comput. 2019, 340, 84–100. [Google Scholar] [CrossRef]
  43. Fasshauer, G.E. Meshfree Approximation Methods with Matlab; World Scientific Publishing Company: Singapore, 2007; Volume 6. [Google Scholar]
  44. Wendland, H. Scattered Data Approximation; Cambridge University Press: Cambridge, UK, 2005. [Google Scholar]
  45. Buhmann, M.D. Radial Basis Functions: Theory and Implementations; Cambridge University Press: Cambridge, UK, 2003; Volume 12. [Google Scholar]
  46. Micchelli, C.A. Interpolation of scattered data: Distance matrices and conditionally positive definite functions. In Approximation Theory and Spline Functions; Springer: Berlin/Heidelberg, Germany, 1984; pp. 143–145. [Google Scholar]
  47. Shu, C.; Ding, H.; Yeo, K. Local radial basis function-based differential quadrature method and its application to solve two-dimensional incompressible Navier–Stokes equations. Comput. Methods Appl. Mech. Eng. 2003, 192, 941–954. [Google Scholar] [CrossRef]
  48. Tolstykh, A.; Shirobokov, D. On using radial basis functions in a “finite difference mode” with applications to elasticity problems. Comput. Mech. 2003, 33, 68–79. [Google Scholar] [CrossRef]
  49. Sarra, S.A. A local radial basis function method for advection–diffusion–reaction equations on complexly shaped domains. Appl. Math. Comput. 2012, 218, 9853–9865. [Google Scholar] [CrossRef]
  50. Su, L. A radial basis function (RBF)-finite difference (FD) method for the backward heat conduction problem. Appl. Math. Comput. 2019, 354, 232–247. [Google Scholar] [CrossRef]
  51. Nikan, O.; Machado, J.T.; Golbabai, A. Numerical solution of time-fractional fourth-order reaction-diffusion model arising in composite environments. Appl. Math. Model. 2020, 81, 819–836. [Google Scholar]
  52. Nikan, O.; Jafari, H.; Golbabai, A. Numerical analysis of the fractional evolution model for heat flow in materials with memory. Alex. Eng. J. 2020, 59, 2627–2637. [Google Scholar] [CrossRef]
  53. Nikan, O.; Machado, J.T.; Avazzadeh, Z.; Jafari, H. Numerical evaluation of fractional Tricomi-type model arising from physical problems of gas dynamics. J. Adv. Res. 2020, 25, 205–216. [Google Scholar] [CrossRef]
  54. Bollig, E.F.; Flyer, N.; Erlebacher, G. Solution to PDEs using radial basis function finite-differences (RBF-FD) on multiple GPUs. J. Comput. Phys. 2012, 231, 7133–7151. [Google Scholar] [CrossRef]
  55. Flyer, N.; Lehto, E.; Blaise, S.; Wright, G.B.; St-Cyr, A. A guide to RBF-generated finite differences for nonlinear transport: Shallow water simulations on a sphere. J. Comput. Phys. 2012, 231, 4078–4095. [Google Scholar] [CrossRef]
  56. Garshasbi, M.; Khakzad, M. The RBF collocation method of lines for the numerical solution of the CH-γ equation. J. Adv. Res. Dyn. Control Syst. 2015, 4, 65–83. [Google Scholar]
  57. Uddin, M. RBF-PS scheme for solving the equal width equation. Appl. Math. Comput. 2013, 222, 619–631. [Google Scholar] [CrossRef]
  58. Nikan, O.; Golbabai, A.; Nikazad, T. Solitary wave solution of the nonlinear KdV-Benjamin-Bona-Mahony- Burgers model via two meshless methods. Eur. Phys. J. Plus 2019, 134, 367. [Google Scholar] [CrossRef]
  59. Dehghan, M.; Shafieeabyaneh, N. Local radial basis function–finite-difference method to simulate some models in the nonlinear wave phenomena: Regularized long-wave and extended Fisher–Kolmogorov equations. Eng. Comput. 2019, 1–21. [Google Scholar] [CrossRef]
  60. Ebrahimijahan, A.; Dehghan, M. The numerical solution of nonlinear generalized Benjamin-Bona- Mahony- Burgers and regularized long-wave equations via the meshless method of integrated radial basis functions. Eng. Comput. 2019, 1–30. [Google Scholar] [CrossRef]
  61. Rashidinia, J.; Rasoulizadeh, M.N. Numerical methods based on radial basis function-generated finite difference (RBF-FD) for solution of GKdVB equation. Wave Motion 2019, 90, 152–167. [Google Scholar] [CrossRef]
  62. Rasoulizadeh, M.N.; Rashidinia, J. Numerical solution for the Kawahara equation using local RBF-FD meshless method. J. King Saud Univ.-Sci. 2020, 32, 2277–2283. [Google Scholar] [CrossRef]
  63. Dormand, J.R.; Prince, P.J. A family of embedded Runge-Kutta formulae. J. Comput. Appl. Math. 1980, 6, 19–26. [Google Scholar] [CrossRef]
  64. Shampine, L.; Gordon, M. Computer Solution of Ordinary Differential Equations. The Initial Value Problems; W. H. Freeman: New York, NY, USA, 1975. [Google Scholar] [CrossRef]
  65. Trefethen, L.N. Spectral Methods in MATLAB; SIAM: Philadelphia, PA, USA, 2000; Volume 10. [Google Scholar]
  66. Jain, M.K. Numerical Solution of Differential Equations; Wiley Eastern: New Delhi, India, 1979. [Google Scholar]
Figure 1. Illustration of one-dimensional case of stencil.
Figure 1. Illustration of one-dimensional case of stencil.
Mathematics 08 01601 g001
Figure 2. Sparsity patterns for N = 50 and two stencil sizes n i = 11 (a) and n i = 15 (b).
Figure 2. Sparsity patterns for N = 50 and two stencil sizes n i = 11 (a) and n i = 15 (b).
Mathematics 08 01601 g002
Figure 3. Motion of the single solitary wave with τ = h = 0.05 , at various times over the intervals: x [ 40 , 60 ] (a) and x [ 70 , 100 ] (b) for Example 1.
Figure 3. Motion of the single solitary wave with τ = h = 0.05 , at various times over the intervals: x [ 40 , 60 ] (a) and x [ 70 , 100 ] (b) for Example 1.
Mathematics 08 01601 g003
Figure 4. The absolute error L with τ = h = 0.05 , at final times T = 30 (a) and T = 40 (b) over the interval x [ 70 , 100 ] for Example 1.
Figure 4. The absolute error L with τ = h = 0.05 , at final times T = 30 (a) and T = 40 (b) over the interval x [ 70 , 100 ] for Example 1.
Mathematics 08 01601 g004
Figure 5. The eigenvalues of A (a) and B (b) for N = 1000 , n i = 589 and c = 1.08 in Example 1.
Figure 5. The eigenvalues of A (a) and B (b) for N = 1000 , n i = 589 and c = 1.08 in Example 1.
Mathematics 08 01601 g005
Figure 6. Motion of the single solitary wave with h = τ = 0.125 (a) and h = τ = 0.0625 (b) over the interval x [ 60 , 90 ] at final times T { 0 , 10 , 40 } for Example 2.
Figure 6. Motion of the single solitary wave with h = τ = 0.125 (a) and h = τ = 0.0625 (b) over the interval x [ 60 , 90 ] at final times T { 0 , 10 , 40 } for Example 2.
Mathematics 08 01601 g006
Figure 7. The absolute error L with τ = h = 0.05 , at final times T = 30 (a) and T = 40 (b) over the interval x [ 60 , 90 ] for Example 2.
Figure 7. The absolute error L with τ = h = 0.05 , at final times T = 30 (a) and T = 40 (b) over the interval x [ 60 , 90 ] for Example 2.
Mathematics 08 01601 g007
Figure 8. The eigenvalues of A (a) and B (b) for N = 600 , n i = 235 and c = 1.12 in Example 2.
Figure 8. The eigenvalues of A (a) and B (b) for N = 600 , n i = 235 and c = 1.12 in Example 2.
Mathematics 08 01601 g008
Figure 9. Motion of the single solitary wave with h = τ = 0.5 (a) and h = τ = 0.25 (b) over the interval x [ 40 , 100 ] at final times T { 0 , 10 , 30 } (a) and T { 0 , 20 , 40 } (b) for Example 3.
Figure 9. Motion of the single solitary wave with h = τ = 0.5 (a) and h = τ = 0.25 (b) over the interval x [ 40 , 100 ] at final times T { 0 , 10 , 30 } (a) and T { 0 , 20 , 40 } (b) for Example 3.
Mathematics 08 01601 g009
Figure 10. The eigenvalues of A (a) and B (b) for N = 5600 , n i = 431 and c = 1.14 for Example 3.
Figure 10. The eigenvalues of A (a) and B (b) for N = 5600 , n i = 431 and c = 1.14 for Example 3.
Mathematics 08 01601 g010
Figure 11. Motion of the single solitary wave with h = τ = 0.4 (a) and h = τ = 0.2 (b) over the interval x [ 50 , 150 ] at final times T { 8 , 16 , 24 , 32 } for Example 4.
Figure 11. Motion of the single solitary wave with h = τ = 0.4 (a) and h = τ = 0.2 (b) over the interval x [ 50 , 150 ] at final times T { 8 , 16 , 24 , 32 } for Example 4.
Mathematics 08 01601 g011
Figure 12. The eigenvalues of A (a) and B (b) for N = 1000 , n i = 631 , p = 8 and c = 0.95 in Example 4.
Figure 12. The eigenvalues of A (a) and B (b) for N = 1000 , n i = 631 , p = 8 and c = 0.95 in Example 4.
Mathematics 08 01601 g012
Figure 13. Motion of the single solitary wave for p = 3 (a), p = 6 (b), p = 4 (c), and p = 8 (d) at final times T { 0 , 30 , 60 } (a,b) and T { 0 , 20 , 40 } (c,d) in the spatial interval x [ 60 , 120 ] for Example 5.
Figure 13. Motion of the single solitary wave for p = 3 (a), p = 6 (b), p = 4 (c), and p = 8 (d) at final times T { 0 , 30 , 60 } (a,b) and T { 0 , 20 , 40 } (c,d) in the spatial interval x [ 60 , 120 ] for Example 5.
Mathematics 08 01601 g013
Figure 14. The eigenvalues of A (a) and B (b) for N = 500 , n i = 111 and c = 1.26 in Example 5.
Figure 14. The eigenvalues of A (a) and B (b) for N = 500 , n i = 111 and c = 1.26 in Example 5.
Mathematics 08 01601 g014
Table 1. The L , L 2 and RMS errors with τ = 0.01 , N = 100 , n i = 589 and c = 1.8 for Example 1.
Table 1. The L , L 2 and RMS errors with τ = 0.01 , N = 100 , n i = 589 and c = 1.8 for Example 1.
MethodT L L 2 RMS
RBF-FD5 1.7556 × 10 11 4.2037 × 10 11 3.2241 × 10 12
RBF-FD10 3.4832 × 10 11 8.3499 × 10 11 6.4057 × 10 12
RBF-FD15 5.1114 × 10 11 1.2388 × 10 10 9.5038 × 10 12
RBF-FD20 6.6317 × 10 11 1.6066 × 10 10 1.2320 × 10 11
RBF-FD25 7.9818 × 10 11 4.7209 × 10 10 1.4929 × 10 11
RBF-FD30 9.2357 × 10 11 2.2541 × 10 10 1.7273 × 10 11
RBF-FD35 1.0459 × 10 10 2.5348 × 10 10 1.9441 × 10 11
RBF-FD40 1.1660 × 10 10 2.7268 × 10 10 2.0910 × 10 11
Table 2. The L and L 2 errors under different mesh steps h = τ at T = 40 for Example 1.
Table 2. The L and L 2 errors under different mesh steps h = τ at T = 40 for Example 1.
MethodcN n i L L 2
h = τ = 0.2
RBF-FD1.65850801 3.8494 × 10 12 9.7017 × 10 12
 [41]850 7.8920 × 10 4
h = τ = 0.1
RBF-FD3.6517001689 3.2235 × 10 12 2.8677 × 10 11
 [41]1700 1.8771 × 10 4
 [38]1700 1.1314 × 10 3
h = τ = 0.05
RBF-FD5.6034002971 2.3648 × 10 10 2.9115 × 10 9
 [41]3400 2.8359 × 10 4
 [38]3400 4.6987 × 10 5
Table 3. The L , L 2 and RMS errors with τ = 0.01 , N = 900 and n i = 489 for Example 2.
Table 3. The L , L 2 and RMS errors with τ = 0.01 , N = 900 and n i = 489 for Example 2.
MethodTc L L 2 RMS
RBF-FD51.55 1.3384 × 10 8 8.7070 × 10 8 1.5499 × 10 9
RBF-FD101.55 1.5966 × 10 8 3.6942 × 10 8 3.0163 × 10 9
RBF-FD153.10 1.7030 × 10 8 5.1031 × 10 8 4.1667 × 10 9
RBF-FD202.90 1.7257 × 10 8 6.3340 × 10 8 5.1717 × 10 9
RBF-FD251.80 1.7608 × 10 8 7.3863 × 10 8 6.0309 × 10 9
RBF-FD303.10 3.5768 × 10 8 9.2721 × 10 8 7.5706 × 10 9
RBF-FD353.10 1.8542 × 10 7 2.3769 × 10 7 1.9407 × 10 8
RBF-FD401.55 9.5039 × 10 7 1.0022 × 10 6 8.1827 × 10 8
Table 4. The L and L 2 errors under different mesh steps h = τ at T = 40 for Example 2.
Table 4. The L and L 2 errors under different mesh steps h = τ at T = 40 for Example 2.
MethodcN n i L L 2
h = τ = 1 / 4
RBF-FD2.10600569 1.7483 × 10 8 1.2820 × 10 7
 [41]600 1.7999 × 10 2
 [34]600 9.2311 × 10 3
h = τ = 1 / 8
RBF-FD3.101600869 1.7234 × 10 8 1.7947 × 10 7
 [41]1600 4.5680 × 10 3
 [34]1600 2.3321 × 10 3
h = τ = 1 / 16
RBF-FD6.8024001541 1.6718 × 10 8 2.4817 × 10 7
 [41]2400 1.1469 × 10 3
 [34]2400 5.8475 × 10 4
Table 5. The energy E under different mesh steps τ = h for Example 2.
Table 5. The energy E under different mesh steps τ = h for Example 2.
MethodTcN n i E
h = τ = 1 / 4
RBF-FD102.66002356.211055573870
 [41]10-600-6.221349804819
RBF-FD202.66002356.211055573872
 [41]20-600-6.221349804820
RBF-FD302.66002356.211055573871
 [41]30-600-6.221349804820
RBF-FD402.66002356.211055573869
 [41]40-600-6.221349804820
h = τ = 1 / 8
RBF-FD103.112008696.216240094383
 [41]10-1200-6.221405877565
RBF-FD203.112008696.216240094388
 [41]20-1200-6.221405877551
RBF-FD303.112008696.216240094391
 [41]30-1200-6.221405877549
RBF-FD403.112008696.216240094396
 [41]40-1200-6.216240094397
h = τ = 0.0625
RBF-FD106.8240015416.218832354561
 [41]10-2400-6.221419928242
RBF-FD206.8240015416.218832354855
 [41]20-2400-6.221419928522
RBF-FD306.8240015416.218832354657
 [41]30-2400-6.221419928339
RBF-FD406.8240015416.218832354213
 [41]40-2400-6.221419928294
Table 6. The L and L 2 errors under different mesh steps h = τ for Example 3.
Table 6. The L and L 2 errors under different mesh steps h = τ for Example 3.
MethodTcN n i L L 2
h = τ = 1 / 2
RBF-FD301.71280241 5.3379 × 10 1 2.1555 × 10 0
 [19]30-280- 9.8675 × 10 1 2.5784 × 10 0
h = τ = 1 / 4
RBF-FD302.90560431 6.5718 × 10 2 3.5432 × 10 1
 [41]30-560- 6.9960 × 10 1 1 . 8662 0
 [19]30-560- 9.8675 × 10 1 2.9434 × 10 0
h = τ = 1 / 8
RBF-FD305.401120881 4.2035 × 10 2 1.8697 × 10 2
 [41]30-1120- 1.9713 × 10 1 5.1866 × 10 1
 [19]30-1120- 5.1920 × 10 2 8.0563 × 10 1
Table 7. The L and L 2 errors under different mesh steps h = τ with N = 250 and n i = 181 at T = 24 for Example 4.
Table 7. The L and L 2 errors under different mesh steps h = τ with N = 250 and n i = 181 at T = 24 for Example 4.
MethodTcN n i L L 2
h = τ = 0.8
RBF-FD240.35250181 1.2281 × 10 11 4.7975 × 10 11
 [42]24-250- 3.09410 × 10 4 7.78402 × 10 4
 [25]24-250- 9.06883 × 10 4 2.42851 × 10 1
 [33]24-250- 1.16717 × 10 1 3.11658 × 10 1
 [19]24-250- 7.56362 × 10 3 2.03287 × 10 2
h = τ = 0.4
RBF-FD240.65500381 1.3151 × 10 11 5.2620 × 10 11
 [42]24-500- 1.87205 × 10 5 4.73034 × 10 5
 [25]24-500- 2.48437 × 10 4 6.58790 × 10 2
 [33]24-500- 3.27045 × 10 2 8.62872 × 10 2
 [19]24-500- 1.82402 × 10 3 4.88759 × 10 3
h = τ = 0.2
RBF-FD241.401000631 1.3472 × 10 11 5.4481 × 10 11
 [42]24-100- 1.16521 × 10 6 2.94078 × 10 6
 [25]24-1000- 6.36404 × 10 3 1.68468 × 10 2
 [33]24-1000- 8.43616 × 10 3 2.21942 × 10 2
 [19]24-1000- 4.52324 × 10 4 1.21311 × 10 3
h = τ = 0.1
RBF-FD242.6020001831 1.4086 × 10 11 5.9844 × 10 11
 [42]24-2000- 7.27778 × 10 8 1.83776 × 10 7
 [25]24-2000- 1.12985 × 10 4 4.23946 × 10 3
 [33]24-2000- 3.02978 × 10 4 5.59422 × 10 3
 [19]24-2000- 2.21651 × 10 3 3.02978 × 10 3
Table 8. The L , L 2 and RMS errors and the invariants I 1 and I 2 with N = 1500 , n i = 1089 , c = 2.6 and τ = 0.01 in the spatial interval x [ 30 , 120 ] for Example 5.
Table 8. The L , L 2 and RMS errors and the invariants I 1 and I 2 with N = 1500 , n i = 1089 , c = 2.6 and τ = 0.01 in the spatial interval x [ 30 , 120 ] for Example 5.
MethodT L L 2 RMS I 1 I 2
p = 2
RBF-FD10 4.2666 × 10 7 1.1117 × 10 6 9.0769 × 10 8 1.89238729 0.53169648
[37]10 7.6292 × 10 6 1.8132 × 10 5 1.89765990 0.53317753
RBF-FD20 4.5738 × 10 7 5.3007 × 10 6 1.3686 × 10 7 1.89238729 0.53169648
 [37]20 9.0949 × 10 6 2.2513 × 10 5 1.89766149 0.53317753
RBF-FD30 4.6844 × 10 7 6.5742 × 10 6 1.6975 × 10 7 1.89238729 0.53169648
 [37]30 1.0274 × 10 5 2.5463 × 10 5 1.89766306 0.53317753
RBF-FD40 4.7437 × 10 7 7.6096 × 10 6 1.9648 × 10 7 1.89238729 0.53169648
 [37]40 1.1378 × 10 5 2.8139 × 10 5 1.89766459 0.53317753
RBF-FD50 4.7692 × 10 7 8.4995 × 10 6 2.1946 × 10 7 1.89238729 0.53169648
 [37]50 1.2447 × 10 5 3.0753 × 10 5 1.89766608 0.53317753
p = 3
RBF-FD10 3.9146 × 10 6 3.1606 × 10 5 8.1606 × 10 7 2.66518850 1.11037761
 [37]10 2.1569 × 10 5 4.9409 × 10 5 2.67262472 1.11347058
RBF-FD20 4.2260 × 10 6 4.9004 × 10 5 1.2653 × 10 6 2.66518850 1.11037761
 [37]20 2.7517 × 10 5 6.5313 × 10 5 2.67264006 1.11347058
RBF-FD30 4.3421 × 10 6 6.1274 × 10 5 1.5821 × 10 6 2.66518850 1.11037761
 [37]30 3.3326 × 10 5 7.9999 × 10 5 2.67265504 1.11347058
RBF-FD40 4.4063 × 10 6 7.1244 × 10 5 1.8395 × 10 6 2.66518850 1.11037761
 [37]40 3.9091 × 10 5 9.4787 × 10 5 2.67266966 1.11347058
RBF-FD50 4.4481 × 10 6 7.6096 × 10 6 2.0648 × 10 6 2.66518850 1.11037761
 [37]50 4.4846 × 10 5 1.0984 × 10 4 2.67268415 1.11347058
p = 6
RBF-FD10 3.3603 × 10 4 8.0524 × 10 4 6.5626 × 10 5 3.97819339 1.91229616
 [37]10 3.1032 × 10 4 6.5998 × 10 4 3.99024365 1.91764461
RBF-FD20 3.6994 × 10 4 1.3622 × 10 3 1.1107 × 10 4 3.97819339 1.91229616
 [37]20 3.1897 × 10 4 1.1382 × 10 3 3.99024365 1.91764461
RBF-FD30 3.8386 × 10 4 1.7513 × 10 3 1.4281 × 10 4 3.97819339 1.91229616
 [37]30 3.2836 × 10 4 1.4631 × 10 3 3.99172706 1.91764489
RBF-FD40 3.9219 × 10 4 2.0639 × 10 3 1.6841 × 10 4 3.97819339 1.91229616
 [37]40 3.4181 × 10 4 1.7187 × 10 3 3.99458409 1.91764541
RBF-FD50 3.9792 × 10 4 2.3398 × 10 3 1.9060 × 10 4 3.99484237 1.91634750
 [37]50 3.4127 × 10 4 1.9368 × 10 3 3.99597486 1.91764566
Table 9. The L and L 2 errors and the quantities Q and E with N = 360 , n i = 295 , c = 0.55 and τ = 0.1 in the spatial interval x [ 60 , 120 ] for Example 5.
Table 9. The L and L 2 errors and the quantities Q and E with N = 360 , n i = 295 , c = 0.55 and τ = 0.1 in the spatial interval x [ 60 , 120 ] for Example 5.
Method L L 2 QE
p = 4
RBF-FD 4.1402 × 10 10 2.1363 × 10 9 6.2484012.859729
 [39] 1.3784 × 10 4 9.3510 × 10 4 6.2663772.868226
 [39] 1.0310 × 10 5 2.3550 × 10 5 6.2658442.867735
 [39] 2.9706 × 10 4 6.6954 × 10 4 6.2658062.867684
 [39] 4.2250 × 10 4 1.1045 × 10 3 6.2659922.867617
 [26] 1.7112 × 10 3 4.4788 × 10 3
 [36] 2.7871 × 10 2 7.4517 × 10 2
p = 8
RBF-FD 2.7865 × 10 6 1.4924 × 10 5 9.7451274.722011
 [39] 1.3784 × 10 4 3.8078 × 10 4 9.7421264.735346
 [39] 2.9490 × 10 5 7.5220 × 10 5 9.7421814.735225
 [39] 6.2856 × 10 4 1.7039 × 10 3 9.7421464.735302
 [39] 4.7892 × 10 4 1.2762 × 10 3 9.7422274.735082
 [26] 1.6189 × 10 3 4.3184 × 10 3
 [36] 2.9534 × 10 2 8.0373 × 10 2
p = 16
RBF-FD 9.1964 × 10 4 4.8646 × 10 3 17.1673908.372094
 [39] 4.4109 × 10 4 2.3334 × 10 3 17.1686998.375376
 [39] 4.4493 × 10 4 2.3199 × 10 3 17.1692588.375400
 [39] 5.3860 × 10 4 3.0231 × 10 3 17.1727768.375393
 [39] 2.2709 × 10 3 7.6218 × 10 3 17.1168288.375272
 [26] 1.1875 × 10 3 3.5725 × 10 3
 [36] 2.2547 × 10 2 6.1304 × 10 2

Share and Cite

MDPI and ACS Style

Avazzadeh, Z.; Nikan, O.; Machado, J.A.T. Solitary Wave Solutions of the Generalized Rosenau-KdV-RLW Equation. Mathematics 2020, 8, 1601. https://doi.org/10.3390/math8091601

AMA Style

Avazzadeh Z, Nikan O, Machado JAT. Solitary Wave Solutions of the Generalized Rosenau-KdV-RLW Equation. Mathematics. 2020; 8(9):1601. https://doi.org/10.3390/math8091601

Chicago/Turabian Style

Avazzadeh, Zakieh, Omid Nikan, and José A. Tenreiro Machado. 2020. "Solitary Wave Solutions of the Generalized Rosenau-KdV-RLW Equation" Mathematics 8, no. 9: 1601. https://doi.org/10.3390/math8091601

APA Style

Avazzadeh, Z., Nikan, O., & Machado, J. A. T. (2020). Solitary Wave Solutions of the Generalized Rosenau-KdV-RLW Equation. Mathematics, 8(9), 1601. https://doi.org/10.3390/math8091601

Note that from the first issue of 2016, this journal uses article numbers instead of page numbers. See further details here.

Article Metrics

Back to TopTop