Abstract
The main aim of this article is two-fold: (i) to generalize into a multivalued setting the classical Ivanov theorem about the lower estimate of a topological entropy in terms of the asymptotic Nielsen numbers, and (ii) to apply the related inequality for admissible pairs to impulsive differential equations and inclusions on tori. In case of a positive topological entropy, the obtained result can be regarded as a nontrivial contribution to deterministic chaos for multivalued impulsive dynamics.
Keywords:
topological entropy; asymptotic Nielsen number; admissible pairs; coincidences; impulsive differential equations and inclusions; poincaré operators; coexistence of periodic solutions MSC:
34B37; 34C28; 37B40; 37C25; Secondary 34A60; 34C40; 37D45; 58C06
1. Introduction
In 1982, Ivanov formulated in [1] his remarkable inequality in the form of the following (slightly more precise) theorem.
Theorem 1.
(cf. [1] Theorem) Let f be a (single-valued) continuous self-map of a compact polyhedron. Then the inequality
holds for the topological entropy of f, where denotes the Nielsen number of the m-th iterate of f.
The notion of a topological entropy can be understood in the sense of both [2,3]. For the definition and properties of the Nielsen number, see e.g., [4], where some single-valued generalizations of Theorem 1 for more abstract manifolds can also be found in ([4] Chapter VII.2).
For a positive topological entropy, Theorem 1 was effectively applied to discrete chaotic dynamics in [5,6,7,8] and to chaotic impulsive differential equations on tori in [9]. Let us note that the results dealing with the topological entropy for dynamic processes and differential equations from another perspective are rather rare (see e.g., [10,11,12,13,14]), and those for multivalued dynamics are even more delicate (see e.g., [15]).
On the other hand, although there exist several various definitions of a topological entropy for multivalued maps (see e.g., [16,17,18,19,20,21,22]), as far as we know, none have been applied to differential equations without uniqueness or, more generally to differential inclusions. Moreover, no analogy of Theorem 1 exists for multivalued maps.
Since the appropriate multivalued Nielsen theory, applicable to (impulsive) differential equations without uniqueness or differential inclusions on tori, does not possess (in difference to the standard single-valued Nielsen theory) the lower estimate of the number of fixed points, but “only” of coincidences of the associated admissible pairs (see [23,24,25,26] and cf. [27] Chapter I.10, [4] Chapter VII.4), no possible extension of Theorem 1 for quoted multivalued generalizations of a topological entropy would apply there via the associated Poincaré translation operators along the trajectories.
Hence, we need a new definition of a topological entropy for the class of (multivalued) admissible maps. On this basis, we will be able to generalize Theorem 1 in a desired way, i.e., in order to be applied to impulsive differential inclusions on tori.
Our paper is therefore organized as follows. At first, we will recall some preliminaries about ANR-spaces and admissible maps in the sense of Górniewicz, for which we will newly define the topological entropy. Then, in Section 3, we will make more precise the technicalities concerning the Nielsen theory for multivalued maps. In Section 4, a multivalued version of Ivanov’s Theorem 1 will be formulated on compact polyhedra, jointly with its particular consequences on tori. The application to impulsive differential inclusions on tori, supplied by an illustrative example, will be given in Section 5. In the concluding Section 6, besides the comments, the relationship between a positive topological entropy for multivalued dynamics and the coexistence of (subharmonic) periodic solutions with various periods will be clarified.
2. Preliminaries (Including the Definition of a Topological Entropy for Admissible Pairs)
In the entire text, all topological spaces will be metric. A space X is an absolute neighborhood retract (written ) if, for every space Y and every closed subset , each continuous map is extendable over some open neighborhood U of A in Y. A space X is an absolute retract (written ) if each is extendable over Y. Evidently, if , then .
By a polyhedron, we understand usually a triangulable space. It is well known that every polyhedron is an ANR-space. An important example of a compact polyhedron will be for us a torus. By the n-torus , , we will mean here either the factor space or the Cartesian product , where denotes the set of reals, denotes the set of integers, and
In particular, for , becomes a circle.
If not explicitly specified, we will not distinguish between the additive and multiplicative notations, because the logarithm map , , establishes an isomorphism between these two representations.
Let us also note that the relation between the Euclidean space and its factorization can be realized by means of the natural projection, sometimes also called a canonical mapping, , , where the symbol stands for the equivalent class of elements with x in , i.e., , where , .
A nonempty set X is called acyclic (or, more precisely, -acyclic), provided
where stands for the field of rationals and denotes the n-dimensional Čech homology functor with rational coefficients. When is replaced by , then we speak about the -acyclicity.
A continuous map is called the Vietoris map, provided
- (i)
- p is onto (i.e., ,
- (ii)
- p is proper, i.e., is a nonempty compact set, for every compact ,
- (iii)
- the given set is acyclic, for every .
By a multivalued map , we understand . In the entire text, we will still assume that has closed values.
Definition 1.
A map is said to be upper semicontinuous (written u.s.c.) if, for every open , the set is open in X, or equivalently, if for every closed , the set is closed in X.
If, in particular, a single-valued map is u.s.c., then it is continuous. Furthermore, every u.s.c. map has a closed graph , but not vice versa. Nevertheless, if the graph of a compact map (i.e., when the set is contained in a compact subset of Y) is closed, then is u.s.c. If is u.s.c. with compact values and is compact, then is compact.
Definition 2.
Assume that we have a diagram , where is a (single-valued) Vietoris map and is a continuous mapping. Then the map is called admissible (in the sense of Górniewicz) if it is induced by , for every . Thus, we determine the admissible map φ by the pair called an admissible (selected) pair.
One can readily check that every admissible map is u.s.c. with nonempty compact connected values, but not vice versa. The class of admissible maps is closed with respect to finite compositions of admissible maps, i.e., a finite composition of admissible maps is also admissible. In fact, a map is admissible if and only if it is a composition of acyclic maps, i.e., u.s.c. maps with compact acyclic values. On the other hand, the composition of two acyclic maps need not be acyclic. For more details, see e.g., [27] Chapter I.4).
Let be an admissible self-map determined by the admissible pair , i.e., , where .
The point such that is called a fixed point of , while such that is called a coincidence point of , shortly a coincidence of . Observe that, letting the fixed point set of as
and the coincidence point set of as
we obviously have the equalities
Definition 3. 
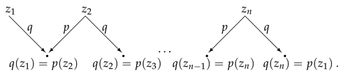
The sequence of points is called an n-orbit of the pair if , . If, additionally, , then we call it a periodic n-orbit, written . Schematically:

Observe that implies , for all .
Now, we are in position to define the topological entropy for admissible pairs , when following the definition of Bowen [3] for single-valued maps.
Definition 4.
We say that the n-orbits and of are -separable if holds for at least one , where
stands for the semi-metric in Γ and d is the metric in X.
Furthermore, denoting by the maximal number of n-orbits such that any two of them are -separable, we put
Since implies that , we define the topological entropy for admissible pairs as
Remark 1.
On compact spaces, the topological entropy does not depend on the metric. Let d, be two metrics on the compact metric space X. Since they are equivalent,
Hence, if two m-orbits are -separable with respect to d, then they are -separable with respect to . This implies , , and finally . The symmetry gives the opposite inequality.
3. Elements of the Nielsen Theory for Multivalued Maps
In the classical (single-valued) Nielsen fixed point theory, we consider a continuous self-map of a space X, divide the fixed point set into the Nielsen classes (using the paths linking the fixed points), and finally we define the Nielsen number of f as the number of essential Nielsen classes, i.e., those with nonzero fixed point index . For the related definitions and more details, see e.g., [4].
It is natural to extend this approach to admissible maps. In [25] (cf. also [27] Example I.10.1 and [4] Example 7.4.7), we have given an example of an admissible self-map , determined by the admissible pair , with the following properties:
- (i)
- the values are points or compact arcs,
- (ii)
- is admissibly homotopic to a single-valued map f of degree d (for any prescribed integer d),
- (iii)
- the fixed point set consists of two points.
Since can be arbitrary and the fixed point set has only two elements, this example demonstrates that there is no natural extension of the ordinary Nielsen fixed point theory to the class of multivalued admissible maps.
Instead of it, we should ask about the number of coincidences, i.e.,
For this goal, we will recall and modify the Nielsen theory for admissible self-maps, developed by ourselves in [25,26] (cf. also [27] Chapter I.10 and [4] Chapter VII.4). This theory is nontrivial, because the space need not be path-connected and the splitting into the Nielsen classes involves some extra problems. Moreover, we cannot apply the classical index theory to maps on such an arbitrary space as .
Hence, let us proceed to the definition of the Nielsen classes. Let us consider an admissible pair , i.e., , where X is a compact ANR-space, is a compact space, p is the Vietoris map and q is continuous. We are willing to split the coincidence set into the Nielsen classes. Since the space need not be locally connected, we cannot traditionally use the paths. Instead of it, we will use the universal covering spaces approach.
We fix a universal covering . Letting , denote the pullback giving the commutative diagram

where , . In order to split into classes, which we will also call the Nielsen classes, we will need a lift satisfying . This gives the commutative diagram:

Let us emphasize that is the pullback projection, while is a fixed, but arbitrarily chosen, lift of q.
We will use the above diagram to split into the Nielsen classes, but before it, we would like to explain the existence of the lift by means of the following lemmas.
Lemma 1.
Let be a universal covering of a connected locally simply-connected space X. Let Γ be a paracompact space and be its compact subset. Let have a lift such that . Then there exists an extension of the lift to onto an open neighbourhood .
Proof.
For each , we fix an open neighbourhood such that and admits an extension . We may assume, when taking each smaller, that the intersection of each fibre is a singleton or an empty set, for each . We choose a finite covering of , which is star-subwritten to . For each , we furthermore choose an satisfying , and we define the extension as the restriction of . We will show that the system defines correctly the extension , which gives the desired extension on the neighbourhood .
It remains to show that the extensions are consistent. Letting , then for some . Since and belong to the same fibre of p and a small , and must be equal, which completes the proof. □
Lemma 2. 
([27] Lemma I.10.6) Let , be continuous maps. where X, Y are compact connected ANR-spaces, Γ is a compact connected space, and p is the Vietoris map. Assume, furthermore, that X is simply-connected and that the restriction admits a lift , for each . Then there exists a map making the diagram commutative:

Proof.
For the proof, it is enough to follow the arguments in ([27] Lemma I.10.6). □
Lemma 3.
If the restriction lifts, for each , to a map , then admits a lift .
Proof.
It is enough to apply Lemma 2 for and . □
Let denote the set of natural transformations of . Recall that then .
Similarly, we define . Since is the pullback, there is a natural bijection given by , i.e., induces .
We denote by the natural isomorphism given by the formula . On the other hand, the right hand side of the diagram gives a homomorphism given by . Finally, we denote . Now, we are in position to define the Reidemeister relation.
We consider the action of on itself, . The quotient set is called the set of Reidemeister classes and is denoted by . In [25], we have shown that the definition does not depend on the choice of the lift .
To split the set to the Nielsen classes, we need the above theory modulo a subgroup.
We consider the pair as above and assume that is a normal subgroup preserved by , i.e., . Then we can follow the above construction to get the commutative diagram:

where is the covering corresponding to the subgroup H and is the corresponding pullback. This gives the homomorphism .
Lemma 4.
(cf. [25] Lemma 4.1)
- (i)
- ;
- (ii)
- ifis not empty, then there exists a such that
- (iii)
- the sets are either disjoint or equal.
Now, we get the splitting of into the H-Nielsen classes and the natural injection from the set of H-Nielsen classes into the set of the Reidemeister classes modulo H, namely .
At last, we can proceed to the essential Nielsen classes, i.e., the coincidence classes which do not disappear under any admissible homotopy. We recall the notion of essential classes given in (Section 5 [25]). However, besides the assumptions that is an admissible pair (i.e., X is a compact ANR-space, is a compact space, p is the Vietoris map and q is continuous), we will still assume that there exists a normal subgroup of finite index such that (which will enable us to use finite covering spaces).
Since X is a compact ANR-space and is compact, the Lefschetz number is defined (see e.g., [27] Chapter I.6).
Let us recall that, according to Lemma 4, , where any two summands are either equal or empty. This gives the splitting into the Nielsen classes modulo H. On the other hand, since is compact, by the second property is defined. If , then we call the corresponding H-Nielsen class essential. As in the single-valued case, each essential Nielsen class is nonempty.
We define the coincidence Nielsen number modulo the subgroup H as the number of the essential Nielsen classes, and we denote it by .
The following two important theorems will be stated in the form of propositions.
Proposition 1.
(cf. [25] Theorem 5.8) is a homotopy invariant (with respect to the admissible homotopies ). Moreover, has at least coincidences.
The following statement shows that the above definition is consistent with the classical Nielsen number for single-valued maps.
Proposition 2.
(cf. [25] Theorem 5.9) If an admissible map is admissibly homotopic to a pair (written ), representing a single-valued map (i.e., ), then , i.e., the classical Nielsen number modulo H.
For the calculation in applications, it will be also convenient to give the following statements on tori. Let us recall that by an -set, we mean an intersection of a decreasing sequence of compact absolute retracts or, equivalently, of compact contractible (i.e., homotopically equivalent to one point) sets. For more details, see e.g., ([27] Chapters I.2 and I.4).
Proposition 3.
Any admissible self-map φ on the torus , determined by the admissible pairs , where is an -set for every , is admissibly homotopic to a pair , representing a single-valued (continuous) map (written ).
Proof.
For the proof, we can proceed in the same way as in ([25] Theorem 6.2) (cf. also [27] Theorem I.10.24), where instead of the lemma in ([25] Lemma 6.1), we apply the fact that since an -set is -acyclic, we have that , and so any restriction is contractible.
The fact that any -set is -acyclic follows from the following continuity arguments due to Górniewicz (N. Copernicus Univ. Toruń, Poland). By the definition, the -set A can be written as the intersection of a decreasing sequence of compact AR-spaces (or, in particular, compact contractible sets) , which are -acyclic, for every . The claim is then implied by the theorem in ([28] Theorem 3.1 in Chapter X.3, p. 261), saying that the Čech homology theory based on a coefficient group which is in (the category of modulus over a ring ) or (the category of compact Abelian groups) is continuous on the category of compact pairs. Moreover, when is the ring of integers, is just the category of ordinary Abelian groups and their homomorphisms (see e.g., [28] Chapter IV.3, p. 110). Thus, for our needs, we can put , which completes the proof. □
Remark 2. 
In fact, in the proof of the foregoing Proposition 3, we needed to have the commutative diagram:

in order to get the splitting of the coincidence set into the Nielsen classes. More precisely, we needed the lift as above.
To get such a lift, we should assume that the restrictions admit lifts and . In the case of the torus, i.e., for , this condition takes the form that each map is homotopic to a constant map. It is true, provided is -acyclic, for every .
Proposition 4.
(cf. [24] equalities (4)) Under the assumptions of Proposition 3, the equalities
hold for every , where is the coincidence Nielsen number modulo the (concrete) subgroup H defined above, N is the ordinary Nielsen number and L is the ordinary Lefschetz number.
Proof.
The equalities (1) were derived in [24], on the basis of the proposition in ([23] Proposition 2.6) and Proposition 3. For the definition of the concrete subgroup H, see the proof in ([25] Theorem 6.3) (cf. also [27] Theorem I.10.25). □
4. Ivanov’s Theorem for Admissible Pairs
The crucial argument in the proof of Theorem 1 can be reformulated in the form of the following lemma (cf. [1], the proof of Theorem).
Lemma 5.
Let be a continuous self-map of a compact polyhedron X endowed with the metric d. Then there exists a number such that, for any and : if , for , and , , then the points x, y belong to the same Nielsen class as the fixed points of .
Let us emphasize that in Lemma 5 depends only on f and it is independent of n.
We would like therefore to generalize Lemma 5 to the admissible pairs , where X is a compact polyhedron. Thus, we will again assume that p is the Vietoris map and q is continuous. For this generalization, we need the following technical lemma.
Lemma 6. 
Consider the diagram:

with fixed satisfying (for the definition of the semi-metric , see Definition 4). Denoting , , , , we will be able to find the points , , such that:
- 1.
- , ,
- 2.
- , , , ,
- 3.
- , where is an open contractible set which is sent homeomorphically by ().
Moreover can be any pair of points , , satisfying 3.
Proof. 
Since the simplicial complex X is locally contractible and compact, there exists an such that each subset with is contained in a contractible set . We assume that the numbers , which appear below, satisfy .
Let be the given pair of points satisfying . We define , and , . It is easy to see that there exist lifts of these points making the diagram commutative.

In fact, we choose the lifts of the given , and these determine the rest.
Moreover, the assumption implies and , which in turn implies , , (here denotes the open ball). We will show that if is small enough, then the inverse images , , split into mutually disjoint parts, each of them sent isometrically onto its image. We will overuse the notation and call these parts by components. Notice that for a sufficiently small , is connected and the introduced components coincide with the connected components of .
However, need not be connected, because need not be locally connected. So we define the splitting
where and . In other words, we define the components and we can denote .
Our lemma will be proved once we show that: if , belong to the same component in , then we can choose the pairs of lifts , and , , which also belong to the same component of the corresponding inverse images , .
Considering the left hand side of the diagram, the claim is obvious, because sends the component into .
Now, let us consider its right hand side. Since need not be locally connected and q is an arbitrary continuous map, we cannot use a similar argument.
We will prove that, for a sufficiently small , if the lifts and are chosen in the same component of , then and belong to the same component of . We will proceed by a contradiction. Let us assume that, for a sequence converging to 0, there exist the pairs of points with , and each pair of lifts lying in the same component of implies that the points belong to different components of .
By the compactness of , we can assume that converges to a point . Thus, , for almost all k. We choose a component and define , .
Now, also converges to but , which belong by the assumption to other components, cannot converge to , because the fibre is discrete. The last fact contradicts to the continuity of in the point , which completes the proof. □
The desired multivalued generalization of Lemma 5 reads as follows.
Lemma 7.
Let be an admissible self-map of a compact polyhedron X endowed with the metric d. Then there exists a number such that, for each pair of periodic n-orbits , (see Definition 3): , for , implies that are in the same coincidence Nielsen class, where the semi-metric on Γ was defined in Definition 4.
Proof.
We have given a multivalued map and two -close orbits of the length n, namely and . We have to show that and belong to the same Nielsen class as the coincidence points of .
Let us recall that , where the summation runs through the set of one representative from each Reidemester class, is a mutually disjoint sum, and each summand is either the Nielsen class or it is empty.
We will show that there exist orbits and of , satisfying , and , for some .
Applying Lemma 6 to , and , , we get the elements , and , . Then we repeat the same for , and , , and we get , . We follow it, until we get , , satisfying , . This implies , , for some . However, by the construction, the points , belong to a contractible open set which is mapped by homeomorphically. Hence, which completes the proof. □
We are ready to give the first main theorem.
Theorem 2.
Let be an admissible self-map of a compact polyhedron X, determined by the admissible pair , i.e., , where . Then the inequality
holds for the topological entropy of , defined in Definition 4, and the asymptotic Nielsen number (modulo the subgroup H), where denotes the coincidence Nielsen number (modulo the subgroup H) of the pair , defined in Section 3.
Proof.
By Lemma 7, for a sufficiently small , there exist -separated m-orbits. This implies , and subsequently
Since , we arrive at the inequality (2), which completes the proof. □
On tori, Theorem 2 can be still improved by means of the equalities (1) in the following way.
Theorem 3.
Let be an admissible map, determined by the admissible pair such that is an -set, for every . Then the relations
hold for the topological entropy of and the asymptotic Lefschetz number of ρ, where is a single-valued continuous map, which is admissibly homotopic to φ.
Proof.
Remark 3.
Let us note that, in difference to the topological invariants like the Nielsen number and the Lefschetz number, the topological entropy is not invariant under homotopy.
As an illustrative example of the calculation by means of (3), we can give the following one.
Example 1.
Let be an admissible map, determined by the admissible pair such that is an -set, for every . Let φ be admissibly homotopic to a single-valued endomorphism , defined by an integer -matrix A. Let be the eigenvalues of A. Then, according to (3) in Theorem 3,
where
In particular, for , , where d stands for the topological degree of ρ.
5. Application to Impulsive Differential Inclusions on Tori
Consider the impulsive vector differential inclusion
where is an upper-Carathéodory mapping such that
and is a single-valued continuous impulsive mapping such that
where . Furthermore, , , i.e., stands for the right limit, , , i.e., stands for the left limit.
Let us recall that a multivalued map is, under (6), upper-Carathéodory, provided:
- (i)
- is Lebesgue measurable, for every , i.e., is Lebesgue measurable, for each open ,
- (ii)
- is u.s.c., for almost all (a.a.) , (cf. Definition 1),
- (iii)
- F has convex and compact values , for all ,
- (iv)
- , for all , , where is a Lebesgue integrable function.
If is single-valued, then it is called Carathéodory.
By a solution of (5), we understand a (piece-wise) absolutely continuous vector function , , satisfying (5), for a.a. .
Let us notice that conditions (6) and (7) allow us to consider the inclusion (5) on the factor space .
Hence, assuming (6) and (7), consider the composition , where the (-parametrized) Poincaré translation operator along the trajectories of (5) considered on , is defined by
and is the factorization of the impulsive mapping , i.e., , for every .
Proposition 5.
(cf. [24] Proposition 3.2) The above composition , , where is the (factorized) Poincaré translation operator defined in (8) and is the factorized impulsive mapping, builds an admissible homotopy bridge between and .
For the desired application of Theorem 3 to (5), the following correspondence is crucial.
Lemma 8.
(cf. [24] Lemma 4.1) There exists a selected pair which determines the (admissible) operator , treated in Proposition 5, such that is an -set, for every . Moreover, there is a one-to-one correspondence, for every , between the irreducible k-orbits of coincidences (for their definition and more details, see [23,24]) of the mapping
and -periodic solutions of the impulsive inclusion (5), provided (6) and (7) hold.
Since the operator is, according to Proposition 5 and Lemma 8, admissible in the sense of Definition 2, and such that is an -set, for every , and it is also admissibly homotopic to the factorization of the impulsive mapping I, satisfying (7), we can use the formulas (1)–(4) for the calculation of the (asymptotic) Nielsen and Lefschetz numbers.
It is also natural to introduce the following definition.
Definition 5.
In view of the above arguments, Theorem 3 can be immediately applied to (5) as follows.
Theorem 4.
Proof.
Because of an admissible homotopy (cf. Proposition 5), where is an -set, for every (cf. Lemma 8), we have (in view of (3))
Thus, holds, when , as claimed. □
Example 2.
(continued Example 1) Consider (5), under (6) and (7). Let the impulsive mapping be an endomorphism defined by the integer -matrix A like in Example 1. Since , condition (10) can be improved, by means of (4) and (11), into the form , provided , for all . It happens, when , for all , and at least one of the eigenvalues satisfies . In particular, for , , where d stands for the topological degree of , when .
6. Concluding Remarks
If
and
hold for the asymptotic Nielsen and Lefschetz numbers and , then the sequences and of the Nielsen and Lefschetz numbers grow exponentially. Thus, there exists such that, for infinitely many , the sequences and are strictly (exponentially) increasing.
Therefore, according to ([23] Theorem 5.3), the admissible map such that is an -set, for every , then admits an irreducible m-orbit of coincidences, for infinitely many .
In view of one-to-one correspondence, described in Lemma 8, we can give the last theorem as follows.
Theorem 5.
Proof.
The proof is quite analogous to the one in ([24] Theorem 4.3). □
Remark 4.
Remark 5.
For , the more explicit conditions than (10) for the minimal sets of periods can be found in [29,30,31].
Author Contributions
Conceptualization, J.A.; Investigation, J.A. and J.J. All authors have read and agreed to the published version of the manuscript.
Funding
This research was funded by Grant Agency of Palacký University in Olomouc grant number IGA_PrF_2020_015 “Mathematical Models”. The second author was supported by the National Science Centre, Poland, Grant Sheng 1, UMO-2018/30/Q/ST1/00228.
Conflicts of Interest
The authors declare no conflict of interest.
References
- Ivanov, N.V. Entropy and Nielsen numbers. Sov. Math. Dokl. 1982, 26, 63–66, Russian original: Dokl. Akad. Nauk SSSR 1982, 265, 284–286. [Google Scholar]
- Adler, R.L.; Konheim, A.G.; McAndrew, M.H. Topological entropy. Trans. Am. Math. Soc. 1965, 114, 309–319. [Google Scholar] [CrossRef]
- Bowen, R. Entropy for group endomorphisms and homogeneous spaces. Trans. Am. Math. Soc. 1971, 153, 401–414. [Google Scholar] [CrossRef]
- Jezierski, J.; Marzantowicz, W. Homotopy Methods in Topological Fixed and Periodic Points Theory; Springer: Berlin, Germany, 2006. [Google Scholar]
- Fel’shtyn, A. Dynamical Zeta Functions, Nielsen Theory, and Reidemeister Torsion; Memoirs of the AMS; American Mathematical Society: Providence, RI, USA, 2000; Volume 147. [Google Scholar]
- Jiang, B. Applications of Nielsen theory to dynamics. In Nielsen Theory and Reidemeister Torsion; Jezierski, J., Ed.; Banach Center Publications, Institute of Mathematics, Polish Academy Science: Warsaw, Poland, 1999; Volume 49, pp. 203–221. [Google Scholar]
- Jiang, B. Nielsen theory for periodic orbits and applications to dynamical systems. In Nielsen Theory and Dynamical Systems; McCord, C.H., Ed.; American Mathematical Society: Providence, RI, USA, 1993; Volume 152, pp. 183–202. [Google Scholar]
- Jiang, B. Estimation of the number of periodic orbits. Pac. J. Math. 1996, 172, 151–185. [Google Scholar] [CrossRef]
- Andres, J. Nielsen number, impulsive differential equations and problem of Jean Leray. Topol. Meth. Nonliner Anal. 2020. to appear. [Google Scholar] [CrossRef]
- Alves, J.F.; Carvalho, M.; Vásquez, C. A variational principle for impulsive semiflows. J. Differ. Equ. 2015, 259, 4229–4252. [Google Scholar] [CrossRef]
- Hoock, A.-M. Topological and invariance entropy for infinite-dimensional linear systems. J. Dyn. Control Syst. 2014, 20, 19–31. [Google Scholar] [CrossRef]
- Oprocha, P.; Wilczyński, P. Topological entropy for local processes. J. Differ. Equ. 2010, 249, 1929–1967. [Google Scholar] [CrossRef]
- Pogromsky, A.; Matveev, A.S. Estimation of topological entropy via the direct Lyapunov method. Nonlinearity 2011, 24, 1937–1959. [Google Scholar] [CrossRef]
- Tien, L.H.; Nhien, L. On the topological entropy of nonautonomous differential equations. J. Appl. Math. Phys. 2019, 7, 418–429. [Google Scholar] [CrossRef]
- Jaque, N.; San, Martín, B. Topological entropy and metric entropy for regular impulsive semiflows. J. Differ. Equ. 2019, 266, 3580–3600. [Google Scholar] [CrossRef]
- Alvin, L.; Kelly, J.L. Topological entropy for Markov set-valued functions. Ergod. Theory Dyn. Syst. 2019, 1–17. [Google Scholar] [CrossRef]
- Andres, J. Chaos for multivalued maps and induced hyperspace maps. Chaos Solitons Fractals 2020, 138, 109898. [Google Scholar] [CrossRef]
- Carrasco-Olivera, D.; Alvan, R.M.; Rojas, C.A.M. Topological entropy for set-valued maps. Discret. Contin. Dyn. Syst. B 2015, 20, 3461–3474. [Google Scholar] [CrossRef]
- Cordeiro, W.; Pacífico, M.J. Continuum-wise expansiveness and specification for set-valued functions and topological entropy. Proc. Am. Math. Soc. 2016, 144, 4261–4271. [Google Scholar] [CrossRef]
- Kelly, J.M.; Tennant, T. Topological entropy of set-valued functions. Houst. J. Math. 2017, 43, 263–282. [Google Scholar]
- Sherwell, D.; Visaya, V. Complexity of multivalued maps. Int. J. Math. Comput. 2011, 5, 793–796. [Google Scholar]
- Wong, K.S.; Salleh, Z. A note on the notions of topological entropy. Earthline J. Math. Sci. 2018, 16, 1–16. [Google Scholar]
- Andres, J. On the coexistence of irreducible orbits of coincidences for multivalued admissible maps on the circle via Nielsen theory. Topol. Appl. 2017, 221, 596–609. [Google Scholar] [CrossRef]
- Andres, J. Coexistence of periodic solutions with various periods of impulsive differential equations and inclusions on tori via Poincaré operators. Topol. Appl. 2019, 255, 126–140. [Google Scholar] [CrossRef]
- Andres, J.; Górniewicz, L.; Jezierski, J. A generalized Nielsen number and multiplicity results for differential inclusions. Topol. Appl. 2000, 100, 193–209. [Google Scholar] [CrossRef]
- Andres, J.; Górniewicz, L.; Jezierski, J. Periodic points of multivalued mappings with applications to differential inclusions on tori. Topol. Appl. 2003, 127, 447–472. [Google Scholar] [CrossRef][Green Version]
- Andres, J.; Górniewicz, L. Topological Fixed Point Principles for Boundary Value Problems; Kluwer: Dordrecht, The Netherlands, 2003. [Google Scholar]
- Eilenberg, S.; Steenrod, N. Foundations of Algebraic Topology; Princeton University Press: Princeton, NJ, USA, 1952. [Google Scholar]
- Alsedà, L.; Baldwin, S.; Llibre, J.; Swanson, R.; Szlenk, W. Torus maps and Nielsen numbers. In Nielsen Theory and Dynamical Systems; McCord, C., Ed.; Contemporary Mathematics Series; American Mathematical Society: Providence, RI, USA, 1993; Volume 152, pp. 1–7. [Google Scholar]
- Alsedà, L.; Baldwin, S.; Llibre, J.; Swanson, R.; Szlenk, W. Minimal sets of periods for torus maps via Nielsen numbers. Pac. J. Math. 1995, 169, 1–32. [Google Scholar] [CrossRef][Green Version]
- Jiang, B.; Llibre, J. Minimal sets of periods for torus maps. Discret. Cont. Dyn. Syst. 1998, 4, 301–320. [Google Scholar] [CrossRef]
© 2020 by the authors. Licensee MDPI, Basel, Switzerland. This article is an open access article distributed under the terms and conditions of the Creative Commons Attribution (CC BY) license (http://creativecommons.org/licenses/by/4.0/).