A Numerical Approach for the Heat Transfer Flow of Carboxymethyl Cellulose-Water Based Casson Nanofluid from a Solid Sphere Generated by Mixed Convection under the Influence of Lorentz Force
Abstract
1. Introduction
2. Basic Governing Equations
3. Numerical Approach
3.1. The Finite-Difference Method
3.2. Newton’s Method
3.3. The Block Tridiagonal Matrix
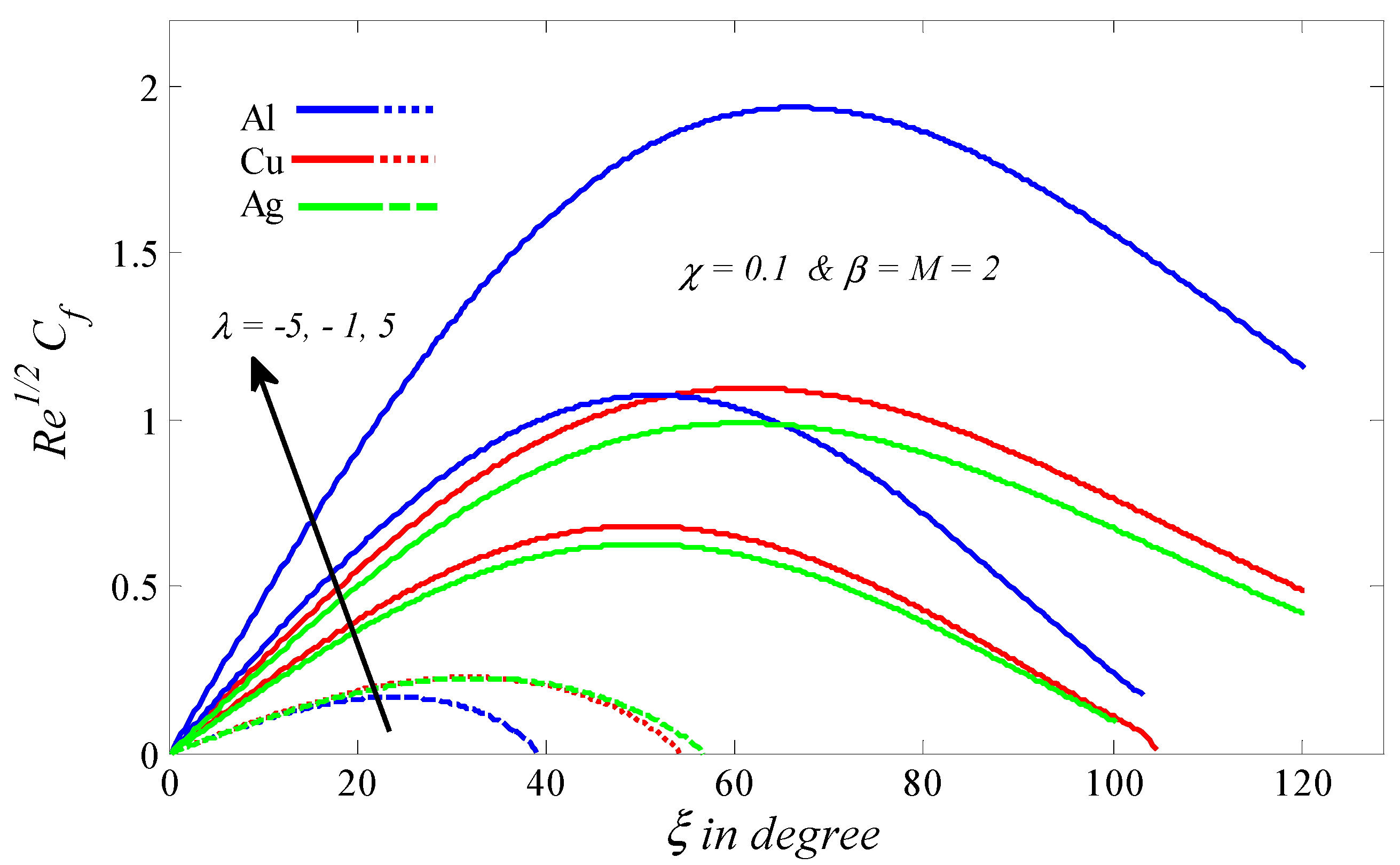
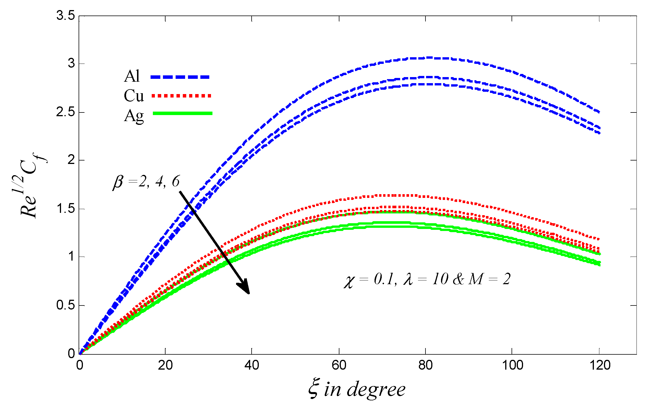
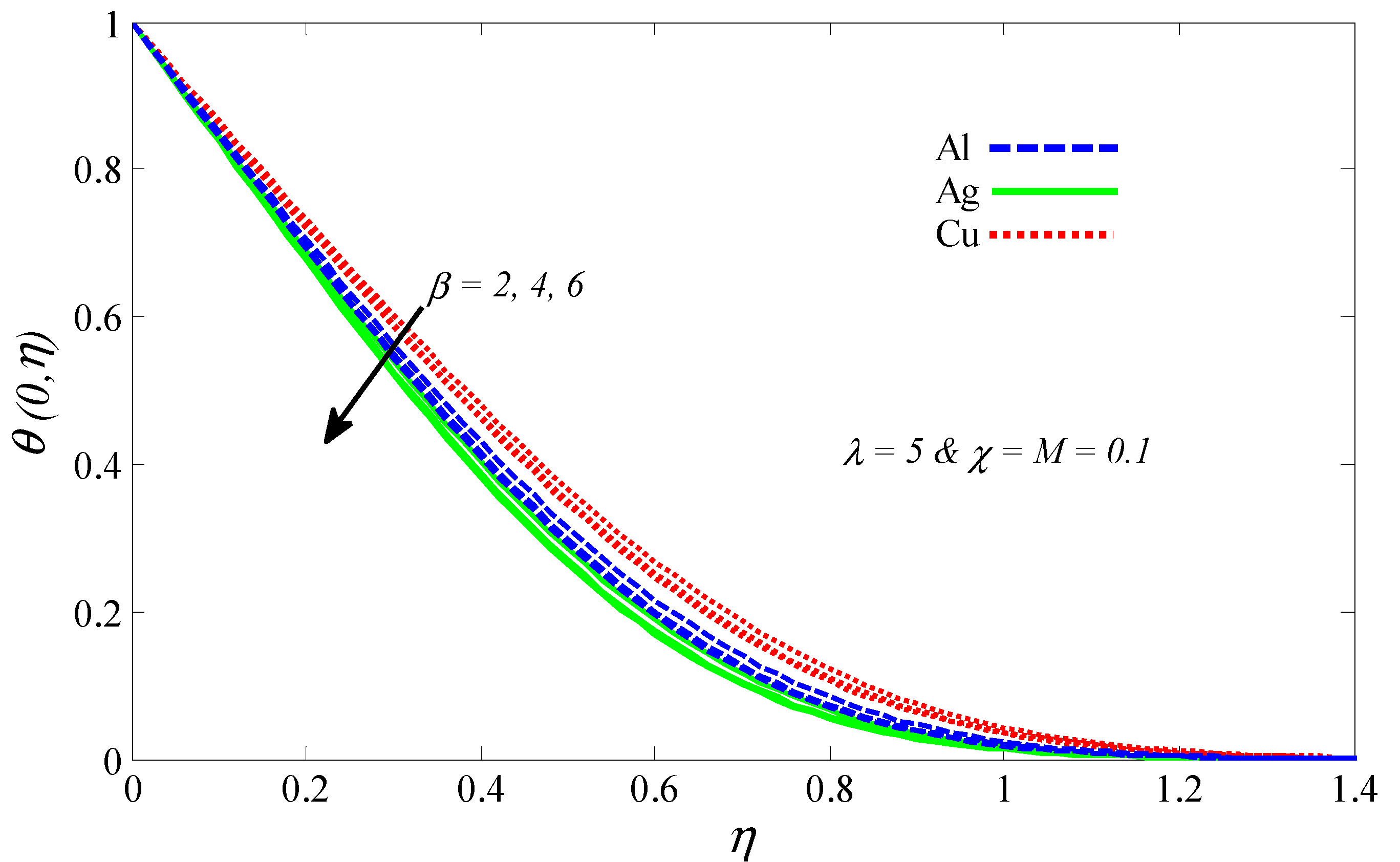
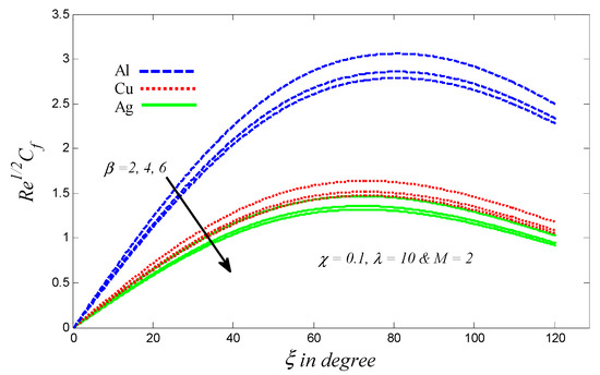
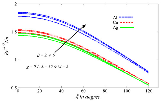
4. Results and Discussion
5. Conclusions
- 1.
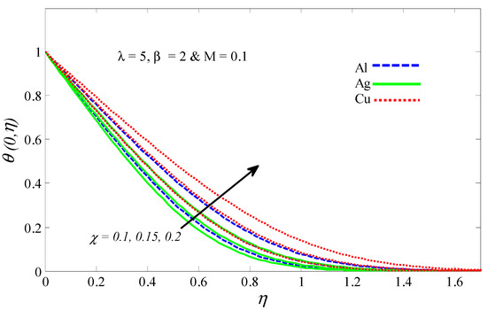
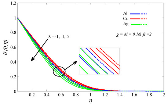
- The temperature profile increases when the values of each of or parameters grow, and decreases as the values of or increase.
- 2.
- The nanoparticles volume fraction has a positive relationship with all the physical quantities examined in this research.
- 3.
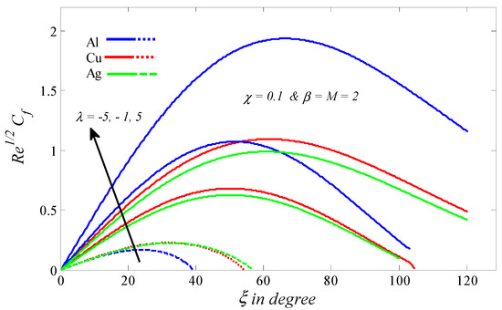
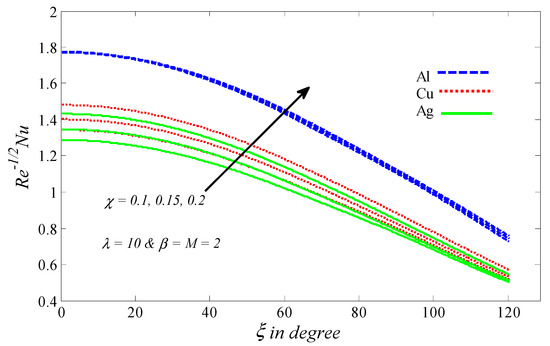
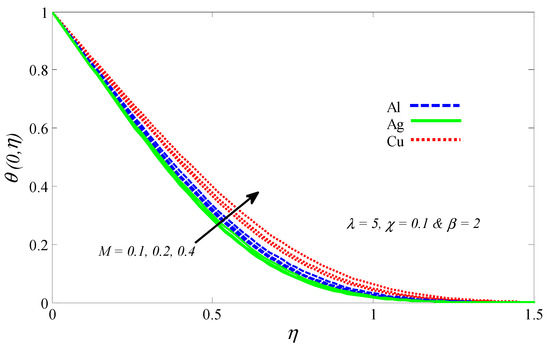
- The skin friction, velocity, and Nusselt number are decreasing functions of the magnetic field intensity, whereas temperature is an increasing function of it.
Author Contributions
Funding
Conflicts of Interest
Nomenclature
| Radius of Cylinder | Thermal diffusivity | ||
| Magnetic field strength | Casson parameter | ||
| . | Skin friction coefficient | Thermal expansion of base fluid | |
| Radial Distance | Thermal expansion of nanoparticles | ||
| Grashof number | Temperature of nanofluid | ||
| Gravity vector | Plastic Dynamic viscosity of base fluid | ||
| Thermal conductivity | Dynamic viscosity of base fluid | ||
| Magnetic parameter | Density | ||
| Nusselt Number | Heat capacity | ||
| Prandtl number | Wall shear stress | ||
| Yield stress | Nanoparticle volume fraction | ||
| Temperature of the fluid | Stream function | ||
| Wall temperature | Electrical conductivity | ||
| Ambient temperature | Mixed parameter | ||
| - component of velocity | Subscript | ||
| - component of velocity | nanoparticles | ||
| Kinematic viscosity | Nanofluid | ||
| Free stream velocity | Base fluid | ||
References
- Mondal, I.H. Carboxymethyl Cellulose: Synthesis and Characterization; Nova Science Publishers: Hauppauge, NY, USA, 2019. [Google Scholar]
- Benchabane, A.; Bekkour, K. Rheological properties of carboxymethyl cellulose (CMC) solutions. Colloid Polym. Sci. 2008, 286, 1173. [Google Scholar] [CrossRef]
- Bekkour, K.; Sun-Waterhouse, D.; Wadhwa, S.S. Rheological properties and cloud point of aqueous carboxymethyl cellulose dispersions as modified by high or low methoxyl pectin. Food Res. Int. 2014, 66, 247–256. [Google Scholar] [CrossRef]
- Babazadeh, A.; Tabibiazar, M.; Hamishehkar, H.; Shi, B. Zein-CMC-PEG multiple nanocolloidal systems as a novel approach for nutra-pharmaceutical applications. Adv. Pharm. Bull. 2019, 9, 262. [Google Scholar] [CrossRef] [PubMed]
- Karabinos, J.; Hindert, M. Carboxymethylcellulose. In Advances in Carbohydrate Chemistry; Elsevier: Amsterdam, The Netherlands, 1954; pp. 285–302. [Google Scholar]
- Hollabaugh, C.; Burt, L.H.; Walsh, A.P. Carboxymethylcellulose. Uses and applications. Ind. Eng. Chem. 1945, 37, 943–947. [Google Scholar] [CrossRef]
- Mondal, I.H. Carboxymethyl Cellulose: Pharmaceutical and Industrial Applications; Nova Science Publishers: Hauppauge, NY, USA, 2019. [Google Scholar]
- Grządka, E.; Matusiak, J.; Bastrzyk, A.; Polowczyk, I. CMC as a stabiliser of metal oxide suspensions. Cellulose 2020, 27, 2225–2236. [Google Scholar] [CrossRef]
- Chen, J.; Li, H.; Fang, C.; Cheng, Y.; Tan, T.; Han, H. Synthesis and structure of carboxymethylcellulose with a high degree of substitution derived from waste disposable paper cups. Carbohydr. Polym. 2020, 2020, 116040. [Google Scholar] [CrossRef]
- Novak, U.; Bajić, M.; Kõrge, K.; Oberlintner, A.; Murn, J.; Lokar, K.; Triler, K.V.; Likozar, B. From waste/residual marine biomass to active biopolymer-based packaging film materials for food industry applications–a review. Phys. Sci. Rev. 2019, 5, e0099. [Google Scholar] [CrossRef]
- Saqib, M.; Khan, I.; Shafie, S. Natural convection channel flow of CMC-based CNTs nanofluid. Eur. Phys. J. Plus 2018, 133, 549. [Google Scholar] [CrossRef]
- Saqib, M.; Khan, I.; Shafie, S. Application of Atangana–Baleanu fractional derivative to MHD channel flow of CMC-based-CNT’s nanofluid through a porous medium. Chaos Solitons Fract. 2018, 116, 79–85. [Google Scholar] [CrossRef]
- Rahmati, A.R.; Akbari, O.A.; Marzban, A.; Toghraie, D.; Karimi, R.; Pourfattah, F. Simultaneous investigations the effects of non-Newtonian nanofluid flow in different volume fractions of solid nanoparticles with slip and no-slip boundary conditions. Sci. Eng. Por. 2018, 5, 263–277. [Google Scholar] [CrossRef]
- Feynman, R.P. There’s plenty of room at the bottom. California Institute of Technology. In Engineering and Science Magazine; California Institute of Technology: Pasadena, CA, USA, 1960. [Google Scholar]
- Choi, S.U.; Eastman, J.A. Enhancing Thermal Conductivity of Fluids with Nanoparticles; Argonne National Lab.: Lemont, IL, USA, 1995. [Google Scholar]
- Buongiorno, J. Convective transport in nanofluids. J. Heat Transf. 2006, 128, 240–250. [Google Scholar] [CrossRef]
- Tiwari, R.K.; Das, M.K. Heat transfer augmentation in a two-sided lid-driven differentially heated square cavity utilizing nanofluids. Int. J. Heat Mass Trans. 2007, 50, 2002–2018. [Google Scholar] [CrossRef]
- Swalmeh, M.Z.; Alkasasbeh, H.T.; Hussanan, A.; Mamat, M. Heat transfer flow of Cu-water and Al2O3-water micropolar nanofluids about a solid sphere in the presence of natural convection using Keller-box method. Res. Phys. 2018, 9, 717–724. [Google Scholar] [CrossRef]
- Selimefendigil, F.; Chamkha, A.J. Magnetohydrodynamics mixed convection in a power law nanofluid-filled triangular cavity with an opening using Tiwari and Das’ nanofluid model. J. Anal. Calorim. 2019, 135, 419–436. [Google Scholar] [CrossRef]
- Alwawi, F.A.; Alkasasbeh, H.T.; Rashad, A.; Idris, R. MHD natural convection of Sodium Alginate Casson nanofluid over a solid sphere. Res. Phys. 2020, 16, 102818. [Google Scholar] [CrossRef]
- Mathur, P.; Jha, S.; Ramteke, S.; Jain, N. Pharmaceutical aspects of silver nanoparticles. Artif. Cells Nanomed. Biotechnol. 2018, 46, 115–126. [Google Scholar] [CrossRef]
- Bonde, H.C.; Fojan, P.; Popok, V.N. Controllable embedding of size-selected copper nanoparticles into polymer films. Plasma Process Polym. 2020, 17, 1900237. [Google Scholar] [CrossRef]
- dos Santos, C.A.; Ingle, A.P.; Rai, M. The emerging role of metallic nanoparticles in food. Appl. Microbiol. Biotechnol. 2020, 104, 2373–2383. [Google Scholar] [CrossRef]
- Makinde, O.; Aziz, A. MHD mixed convection from a vertical plate embedded in a porous medium with a convective boundary condition. Int. J. Sci. 2010, 49, 1813–1820. [Google Scholar] [CrossRef]
- Tham, L.; Nazar, R.; Pop, I. Mixed convection boundary-layer flow about an isothermal solid sphere in a nanofluid. Phys. Scr. 2011, 84, 025403. [Google Scholar] [CrossRef]
- Chamkha, A.J.; Rashad, A.; Alsabery, A.; Abdelrahman, Z.; Nabwey, H.A. Impact of Partial Slip on Magneto-Ferrofluids Mixed Convection Flow in Enclosure. J. Sci. Eng. Appl. 2020, 1–25. [Google Scholar] [CrossRef]
- Waqas, M.; Farooq, M.; Khan, M.I.; Alsaedi, A.; Hayat, T.; Yasmeen, T. Magnetohydrodynamic (MHD) mixed convection flow of micropolar liquid due to nonlinear stretched sheet with convective condition. Int. J. Heat Mass Trans. 2016, 102, 766–772. [Google Scholar] [CrossRef]
- Makinde, O.; Mabood, F.; Khan, W.; Tshehla, M. MHD flow of a variable viscosity nanofluid over a radially stretching convective surface with radiative heat. J. Mol. Liq. 2016, 219, 624–630. [Google Scholar] [CrossRef]
- Chamkha, A.; Rashad, A.; Mansour, M.; Armaghani, T.; Ghalambaz, M. Effects of heat sink and source and entropy generation on MHD mixed convection of a Cu-water nanofluid in a lid-driven square porous enclosure with partial slip. Phys. Fluids 2017, 29, 052001. [Google Scholar] [CrossRef]
- Rashad, A.; Mansour, M.; Armaghani, T.; Chamkha, A. MHD mixed convection and entropy generation of nanofluid in a lid-driven U-shaped cavity with internal heat and partial slip. Phys. Fluids 2019, 31, 042006. [Google Scholar] [CrossRef]
- Alkasasbeh, H.T.; Swalmeh, M.Z.; Hussanan, A.; Mamat, M. Effects of mixed convection on methanol and kerosene oil based micropolar nanofluid containing oxide nanoparticles. CFD Lett. 2019, 11, 55–68. [Google Scholar]
- Swalmeh, M.Z.; Alkasasbeh, H.T.; Hussanan, A.; Mamat, M. Numerical investigation of heat transfer enhancement with Ag-GO water and kerosene oil based micropolar nanofluid over a solid sphere. Adva. Res. Fluid. Mech. Sci. 2019, 59, 269–282. [Google Scholar]
- Casson, N. A flow equation for pigment-oil suspensions of the printing ink type. Rheol. Disperse Syst. 1959, 2, 84–102. [Google Scholar]
- Malik, M.; Naseer, M.; Nadeem, S.; Rehman, A. The boundary layer flow of Casson nanofluid over a vertical exponentially stretching cylinder. Appl. Nanosci. 2014, 4, 869–873. [Google Scholar] [CrossRef]
- Mukhopadhyay, S.; Mondal, I.C.; Chamkha, A.J. Casson fluid flow and heat transfer past a symmetric wedge. Heat Transf. Asian Res. 2013, 42, 665–675. [Google Scholar] [CrossRef]
- Mustafa, M.; Hayat, T.; Ioan, P.; Hendi, A. Stagnation-point flow and heat transfer of a Casson fluid towards a stretching sheet. Z. Nat. A 2012, 67, 70–76. [Google Scholar] [CrossRef]
- Ghadikolaei, S.; Hosseinzadeh, K.; Ganji, D.; Jafari, B. Nonlinear thermal radiation effect on magneto Casson nanofluid flow with Joule heating effect over an inclined porous stretching sheet. Case Stud. Eng. 2018, 12, 176–187. [Google Scholar] [CrossRef]
- Rafique, K.; Anwar, M.I.; Misiran, M.; Khan, I.; Alharbi, S.; Thounthong, P.; Nisar, K. Numerical Solution of Casson Nanofluid Flow Over a Non-linear Inclined Surface With Soret and Dufour Effects by Keller-Box Method. Front. Phys. 2019, 7, 00139. [Google Scholar] [CrossRef]
- Alwawi, F.A.; Alkasasbeh, H.T.; Rashad, A.M.; Idris, R. Natural convection flow of Sodium Alginate based Casson nanofluid about a solid sphere in the presence of a magnetic field with constant surface heat flux. J. Phys. Conf. Ser. 2019, 1366, 012005. [Google Scholar] [CrossRef]
- Alwawi, F.A.; Alkasasbeh, H.T.; Rashad, A.; Idris, R. Heat transfer analysis of ethylene glycol-based Casson nanofluid around a horizontal circular cylinder with MHD effect. Proc. Inst. Mech. Eng. Part C J. Mech. Eng. Sci. 2020. [Google Scholar] [CrossRef]
- Alkasasbeh, H.; Swalmeh, M.; Bani Saeed, H.; Al Faqih, F.; Talafha, A. Investigation on CNTs-Water and Human Blood based Casson Nanofluid Flow over a Stretching Sheet under Impact of Magnetic Field. Front. Heat Mass Transf. 2020, 14, 15. [Google Scholar] [CrossRef]
- Huang, M.; Chen, G. Laminar free convection from a sphere with blowing and suction. J. Heat Transf. 1987, 109, 6068496. [Google Scholar] [CrossRef]
- Nazar, R.; Amin, N.; Pop, I. Mixed convection boundary layer flow about an isothermal sphere in a micropolar fluid. Int. J. Sci. 2003, 42, 283–293. [Google Scholar] [CrossRef]
- Molla, M.M.; Rahman, A.; Rahman, L.T. Natural convection flow from an isothermal sphere with temperature dependent thermal conductivity. J. Nav. Archit. Mar. Eng. 2005, 2, 53–64. [Google Scholar] [CrossRef]
- Ahmed, S.E.; Mansour, M.; Hussein, A.K.; Mallikarjuna, B.; Almeshaal, M.A.; Kolsi, L. MHD mixed convection in an inclined cavity containing adiabatic obstacle and filled with Cu–water nanofluid in the presence of the heat generation and partial slip. J. Anal. Calorim. 2019, 138, 1443–1460. [Google Scholar] [CrossRef]
- Rashad, A.; Chamkha, A.J.; El-Kabeir, S. Effect of chemical reaction on heat and mass transfer by mixed convection flow about a sphere in a saturated porous media. Int. J. Numer. Method H 2011, 21, 418–433. [Google Scholar] [CrossRef]
- Molla, M.M.; Hossain, M.; Taher, M. Magnetohydrodynamic natural convection flow on a sphere with uniform heat flux in presence of heat generation. Acta Mech. 2006, 186, 75. [Google Scholar] [CrossRef]
- Keller, H.; Bramble, J. Numerical solutions of partial differential equations. Mathematics 1970, 1, 81–94. [Google Scholar]
- Jones, E. An asymptotic outer solution applied to the Keller box method. J. Comput. Phys. 1981, 40, 411–429. [Google Scholar] [CrossRef]
- Cebeci, T.; Bradshaw, P. Physical and Computational Aspects of Convective Heat Transfer; Springer Science & Business Media: New York, NY, USA, 2012; p. 487. [Google Scholar]
- Das, S.; Banu, A.; Jana, R.; Makinde, O. Entropy analysis on MHD pseudo-plastic nanofluid flow through a vertical porous channel with convective heating. AEJ 2015, 54, 325–337. [Google Scholar] [CrossRef]

















| Thermo-Physical Property | CMC-Water | Al | Ag | Cu |
|---|---|---|---|---|
| (kg/m3) | 997.1 | 2701 | 10,500 | 8933 |
| (J/kgk) | 4179 | 902 | 235 | 385 |
| (w/mK) | 0.613 | 237 | 429 | 401 |
| (K−1) | 21 | 2.31 | 1.89 | 1.67 |
| (s/m) | ||||
| 6.2 | - | - | - |
| −4 | −1 | 0 | 0.74 | 1 | ||||||
|---|---|---|---|---|---|---|---|---|---|---|
| [43] | Present | [43] | Present | [43] | Present | [43] | Present | [43] | Present | |
| 0.0000 | 0.0000 | 0.0000 | 0.0000 | 0.0000 | 0.0000 | 0.0000 | 0.0000 | 0.0000 | 0.0000 | |
| 0.0801 | 0.0780 | 0.3438 | 0.3443 | 0.4160 | 0.4167 | 0.4669 | 0.4545 | 0.4843 | 0.4851 | |
| 0.1149 | 0.1153 | 0.6564 | 0.6500 | 0.8014 | 0.8035 | 0.9031 | 0.8935 | 0.9380 | 0.9279 | |
| 0.9098 | 0.9076 | 1.1284 | 1.1244 | 1.2813 | 1.2759 | 1.3335 | 1.3277 | |||
| 1.0790 | 1.0824 | 1.3733 | 1.3748 | 1.5775 | 1.5778 | 1.6471 | 1.6470 | |||
| 1.1434 | 1.1537 | 1.5172 | 1.5253 | 1.7737 | 1.7806 | 1.8607 | 1.8672 | |||
| 1.0866 | 1.1047 | 1.5477 | 1.5630 | 1.8580 | 1.8720 | 1.9627 | 1.9762 | |||
| 0.8929 | 0.9202 | 1.4583 | 1.4811 | 1.8260 | 1.8470 | 1.9486 | 1.9691 | |||
| 0.5280 | 0.5680 | 1.2480 | 1.2780 | 1.6800 | 1.7079 | 1.8216 | 1.8489 | |||
| 0.9154 | 0.9530 | 1.4289 | 1.4656 | 1.5915 | 1.6284 | |||||
| 0.4308 | 0.4812 | 1.0847 | 1.1351 | 1.2732 | 1.3160 | |||||
| 0.6543 | 0.7241 | 0.8831 | 0.9559 | |||||||
| 0.4220 | 0.5094 | |||||||||
| −4 | −1 | 0 | 0.74 | 1 | ||||||
|---|---|---|---|---|---|---|---|---|---|---|
| [43] | Present | [43] | Present | [43] | Present | [43] | Present | [43] | Present | |
| 0.6534 | 0.6519 | 0.7870 | 0.7858 | 0.8162 | 0.8150 | 0.8354 | 0.8342 | 0.8463 | 0.8406 | |
| 0.6440 | 0.6435 | 0.7818 | 0.7812 | 0.8112 | 0.8104 | 0.8307 | 0.8301 | 0.8371 | 0.8362 | |
| 0.6150 | 0.6158 | 0.7669 | 0.7670 | 0.7974 | 0.7974 | 0.8173 | 0.8174 | 0.8239 | 0.8239 | |
| 0.7422 | 0.7433 | 0.7746 | 0.7747 | 0.7955 | 0.7963 | 0.8024 | 0.8031 | |||
| 0.7076 | 0.7097 | 0.7429 | 0.7447 | 0.7652 | 0.7669 | 0.7725 | 0.7741 | |||
| 0.6624 | 0.6658 | 0.7022 | 0.7039 | 0.7267 | 0.7293 | 0.7345 | 0.7371 | |||
| 0.6055 | 0.6103 | 0.6525 | 0.6565 | 0.6800 | 0.6837 | 0.6887 | 0.6922 | |||
| 0.5224 | 0.5403 | 0.5934 | 0.5986 | 0.6253 | 0.6300 | 0.6352 | 0.6397 | |||
| 0.4342 | 0.4432 | 0.5236 | 0.5287 | 0.5672 | 0.5671 | 0.5742 | 0.5784 | |||
| 0.4398 | 0.4382 | 0.4920 | 0.4887 | 0.5060 | 0.5025 | |||||
| 0.3263 | 0.3197 | 0.4120 | 0.3978 | 0.4304 | 0.4152 | |||||
| 0.3179 | 0.3004 | 0.3458 | 0.3246 | |||||||
| 0.2442 | 0.2314 | |||||||||
© 2020 by the authors. Licensee MDPI, Basel, Switzerland. This article is an open access article distributed under the terms and conditions of the Creative Commons Attribution (CC BY) license (http://creativecommons.org/licenses/by/4.0/).
Share and Cite
Alwawi, F.A.; Alkasasbeh, H.T.; Rashad, A.M.; Idris, R. A Numerical Approach for the Heat Transfer Flow of Carboxymethyl Cellulose-Water Based Casson Nanofluid from a Solid Sphere Generated by Mixed Convection under the Influence of Lorentz Force. Mathematics 2020, 8, 1094. https://doi.org/10.3390/math8071094
Alwawi FA, Alkasasbeh HT, Rashad AM, Idris R. A Numerical Approach for the Heat Transfer Flow of Carboxymethyl Cellulose-Water Based Casson Nanofluid from a Solid Sphere Generated by Mixed Convection under the Influence of Lorentz Force. Mathematics. 2020; 8(7):1094. https://doi.org/10.3390/math8071094
Chicago/Turabian StyleAlwawi, Firas A., Hamzeh T. Alkasasbeh, Ahmed M. Rashad, and Ruwaidiah Idris. 2020. "A Numerical Approach for the Heat Transfer Flow of Carboxymethyl Cellulose-Water Based Casson Nanofluid from a Solid Sphere Generated by Mixed Convection under the Influence of Lorentz Force" Mathematics 8, no. 7: 1094. https://doi.org/10.3390/math8071094
APA StyleAlwawi, F. A., Alkasasbeh, H. T., Rashad, A. M., & Idris, R. (2020). A Numerical Approach for the Heat Transfer Flow of Carboxymethyl Cellulose-Water Based Casson Nanofluid from a Solid Sphere Generated by Mixed Convection under the Influence of Lorentz Force. Mathematics, 8(7), 1094. https://doi.org/10.3390/math8071094

