Optimization Based Methods for Solving the Equilibrium Problems with Applications in Variational Inequality Problems and Solution of Nash Equilibrium Models
Abstract
1. Introduction
2. Preliminaries
- (1)
 - strongly monotone if:
 - (2)
 - monotone if:
 - (3)
 - strongly pseudomonotone if:
 - (4)
 - pseudomonotone if:
 - (5)
 - satisfying the Lipschitz-type condition on K if there exist two numbers such that:
 
- (i)
 - with
 - (ii)
 
- (i)
 - For exists;
 - (ii)
 - Every weak cluster point of the sequence belongs to K.
 
3. An Algorithm for the Pseudomonotone Equilibrium Problem and Its Convergence Analysis
| Algorithm 1 Two-step proximal iterative method for pseudomonotone EP. | 
  | 
- (A1)
 - f is pseudomonotone on K with for all ;
 - (A2)
 - f satisfies the Lipschitz-type condition on with and ;
 - (A3)
 - for each and with ;
 - (A4)
 - is subdifferentiable and convex on for each
 
4. An Algorithm for the Strongly Pseudomonotone Equilibrium Problem and Its Convergence Analysis
- (B1)
 - f is strongly pseudomonotone on K with ;
 - (B2)
 - f satisfies the Lipschitz-type condition on with and ;
 - (B3)
 - is sub-differentiable and convex on for each fixed
 
| Algorithm 2 Two-step proximal iterative method for strongly pseudomonotone EP. | 
  | 
5. Application to Variational Inequality Problems
- (1)
 - strongly pseudomonotone on K if
 - (2)
 - pseudomonotone on K if
 - (3)
 - satisfying being L-Lipschitz continuous on K if
 
- (G1)
 - G is strongly pseudomonotone on K, and is a nonempty solution set;
 - (G2)
 - G is pseudomonotone on K, and is a nonempty solution set;
 - (G3)
 - G is L-Lipschitz continuous upon K for positive constant
 - (G4)
 - for every and satisfying
 
- (i)
 - Choose , and Set:
 - (ii)
 - Assume , and are known for Construct a half space:Compute:The stepsize sequence is updated as follows:
 
- (i)
 - Choose , and Set:
 - (ii)
 - Assume that and are known for Construct a half space:Compute:The stepsize sequence satisfies the following hypothesis:
 
6. Numerical Experiments
6.1. Nash–Cournot Equilibrium Model of Electricity Markets
Algorithm 1 Comparison with Other Existing Methods
6.2. Nash–Cournot Oligopolistic Equilibrium Model
Algorithm 2 Comparison with Other Existing Methods
7. Conclusions
Author Contributions
Funding
Acknowledgments
Conflicts of Interest
References
- Blum, E. From optimization and variational inequalities to equilibrium problems. Math. Stud. 1994, 63, 123–145. [Google Scholar]
 - Long, G.; Liu, S.; Xu, G.; Wong, S.W.; Chen, H.; Xiao, B. A Perforation-Erosion Model for Hydraulic-Fracturing Applications. SPE Prod. Oper. 2018, 33, 770–783. [Google Scholar] [CrossRef]
 - Xiao, B.; Wang, W.; Zhang, X.; Long, G.; Fan, J.; Chen, H.; Deng, L. A novel fractal solution for permeability and Kozeny-Carman constant of fibrous porous media made up of solid particles and porous fibers. Powder Technol. 2019, 349, 92–98. [Google Scholar] [CrossRef]
 - Xiao, B.; Zhang, X.; Jiang, G.; Long, G.; Wang, W.; Zhang, Y.; Liu, G. Kozeny–carman constant for gas flow through fibrous porous media by fractal-monte carlo simulations. Fractals 2019, 27, 1950062. [Google Scholar] [CrossRef]
 - Arrow, K.J.; Debreu, G. Existence of an Equilibrium for a Competitive Economy. Econometrica 1954, 22, 265. [Google Scholar] [CrossRef]
 - Cournot, A.A. Recherches Sur Les Principes MathéMatiques de la Théorie des Richesses; L. Hachette: New York, NY, USA, 1838. [Google Scholar]
 - Wernecke, S.J. Maximum Entropy Image Reconstruction. IEEE Trans. Comput. 1977, 26, 351–364. [Google Scholar] [CrossRef]
 - Kundur, D.; Hatzinakos, D. Blind image deconvolution. IEEE Signal Process. Mag. 1996, 13, 43–64. [Google Scholar] [CrossRef]
 - Gharehkhani, S.; Sadeghinezhad, E.; Kazi, S.N.; Yarmand, H.; Badarudin, A.; Safaei, M.R.; Zubir, M.N.M. Basic effects of pulp refining on fiber properties—A review. Carbohydr. Polym. 2015, 115, 785–803. [Google Scholar] [CrossRef]
 - Nagurney, A. Network Economics–A Variational inequality approach 412. Adv. Comput. Econ. Kluwer Acad. Publ. 1993. [Google Scholar] [CrossRef]
 - Patriksson, M. The Traffic Assignment Problem: Models and Methods; Courier Dover Publications: Chicago, IL, USA, 2015. [Google Scholar]
 - Nash, J. Non-Cooperative Games. Ann. Math. 1951, 54, 286. [Google Scholar] [CrossRef]
 - Fan, K. A Minimax Inequality and Applications, Inequalities III; Shisha, O., Ed.; Academic Press: New York, NY, USA, 1972. [Google Scholar]
 - Nikaidô, H.; Isoda, K. Note on non-cooperative convex game. Pac. J. Math. 1955, 5, 807–815. [Google Scholar] [CrossRef]
 - Gwinner, J. On the penalty method for constrained variational inequalities. Optim. Theory Algorithms 1981, 86, 197–211. [Google Scholar]
 - Giannessi, F.; Maugeri, A.; Pardalos, P.M. Equilibrium Problems: Nonsmooth Optimization and Variational Inequality Models; Springer Science & Business Media: Berlin, Germany, 2006; Volume 58. [Google Scholar]
 - Konnov, I. Application of the Proximal Point Method to Nonmonotone Equilibrium Problems. J. Optim. Theory Appl. 2003, 119, 317–333. [Google Scholar] [CrossRef]
 - Moudafi, A. Proximal point algorithm extended to equilibrium problems. J. Nat. Geom. 1999, 15, 91–100. [Google Scholar]
 - Muu, L.D.; Quoc, T.D. Regularization Algorithms for Solving Monotone Ky Fan Inequalities with Application to a Nash–Cournot Equilibrium Model. J. Optim. Theory Appl. 2009, 142, 185–204. [Google Scholar] [CrossRef]
 - Quoc, T.D.; Anh, P.N.; Muu, L.D. Dual extragradient algorithms extended to equilibrium problems. J. Glob. Optim. 2011, 52, 139–159. [Google Scholar] [CrossRef]
 - Takahashi, S.; Takahashi, W. Viscosity approximation methods for equilibrium problems and fixed point problems in Hilbert spaces. J. Math. Anal. Appl. 2007, 331, 506–515. [Google Scholar] [CrossRef]
 - ur Rehman, H.; Kumam, P.; Abubakar, A.B.; Cho, Y.J. The extragradient algorithm with inertial effects extended to equilibrium problems. Comput. Appl. Math. 2020, 39. [Google Scholar] [CrossRef]
 - ur Rehman, H.; Kumam, P.; Cho, Y.J.; Yordsorn, P. Weak convergence of explicit extragradient algorithms for solving equilibirum problems. J. Inequalities Appl. 2019, 2019. [Google Scholar] [CrossRef]
 - Santos, P.; Scheimberg, S. An inexact subgradient algorithm for equilibrium problems. Comput. Appl. Math. 2011, 30, 91–107. [Google Scholar]
 - ur Rehman, H.; Kumam, P.; Je Cho, Y.; Suleiman, Y.I.; Kumam, W. Modified Popov’s explicit iterative algorithms for solving pseudomonotone equilibrium problems. Optim. Methods Softw. 2020, 1–32. [Google Scholar] [CrossRef]
 - Reich, S.; Sabach, S. Three Strong Convergence Theorems Regarding Iterative Methods for Solving Equilibrium Problems in Reflexive Banach Spaces. Contemp. Math. 2012. [Google Scholar] [CrossRef]
 - Argyros, I.K.; Hilout, S. Computational Methods in Nonlinear Analysis: Efficient Algorithms, Fixed Point Theory and Applications; World Scientific: Singapore, 2013. [Google Scholar]
 - Akbari, O.A.; Safaei, M.R.; Goodarzi, M.; Akbar, N.S.; Zarringhalam, M.; Shabani, G.A.S.; Dahari, M. A modified two-phase mixture model of nanofluid flow and heat transfer in a 3-D curved microtube. Adv. Powder Technol. 2016, 27, 2175–2185. [Google Scholar] [CrossRef]
 - Karimipour, A.; Nezhad, A.H.; D’Orazio, A.; Esfe, M.H.; Safaei, M.R.; Shirani, E. Simulation of copper–water nanofluid in a microchannel in slip flow regime using the lattice Boltzmann method. Eur. J. Mech. B Fluids 2015, 49, 89–99. [Google Scholar] [CrossRef]
 - Togun, H.; Safaei, M.; Sadri, R.; Kazi, S.; Badarudin, A.; Hooman, K.; Sadeghinezhad, E. Numerical simulation of laminar to turbulent nanofluid flow and heat transfer over a backward-facing step. Appl. Math. Comput. 2014, 239, 153–170. [Google Scholar] [CrossRef]
 - Korpelevich, G. The extragradient method for finding saddle points and other problems. Matecon 1976, 12, 747–756. [Google Scholar]
 - Censor, Y.; Gibali, A.; Reich, S. The Subgradient Extragradient Method for Solving Variational Inequalities in Hilbert Space. J. Optim. Theory Appl. 2010, 148, 318–335. [Google Scholar] [CrossRef]
 - Tran, D.Q.; Dung, M.L.; Nguyen, V.H. Extragradient algorithms extended to equilibrium problems. Optimization 2008, 57, 749–776. [Google Scholar] [CrossRef]
 - Lyashko, S.I.; Semenov, V.V. A New Two-Step Proximal Algorithm of Solving the Problem of Equilibrium Programming. In Optimization and Its Applications in Control and Data Sciences; Springer International Publishing: Berlin, Germany, 2016; pp. 315–325. [Google Scholar]
 - Popov, L.D. A modification of the Arrow-Hurwicz method for search of saddle points. Math. Notes Acad. Sci. USSR 1980, 28, 845–848. [Google Scholar] [CrossRef]
 - Polyak, B.T. Some methods of speeding up the convergence of iteration methods. USSR Comput. Math. Math. Phys. 1964, 4, 1–17. [Google Scholar] [CrossRef]
 - Beck, A.; Teboulle, M. A fast iterative shrinkage-thresholding algorithm for linear inverse problems. SIAM J. Imaging Sci. 2009, 2, 183–202. [Google Scholar] [CrossRef]
 - ur Rehman, H.; Kumam, P.; Kumam, W.; Shutaywi, M.; Jirakitpuwapat, W. The Inertial Sub-Gradient Extra-Gradient Method for a Class of Pseudo-Monotone Equilibrium Problems. Symmetry 2020, 12, 463. [Google Scholar] [CrossRef]
 - ur Rehman, H.; Kumam, P.; Argyros, I.K.; Deebani, W.; Kumam, W. Inertial Extra-Gradient Method for Solving a Family of Strongly Pseudomonotone Equilibrium Problems in Real Hilbert Spaces with Application in Variational Inequality Problem. Symmetry 2020, 12, 503. [Google Scholar] [CrossRef]
 - ur Rehman, H.; Kumam, P.; Argyros, I.K.; Alreshidi, N.A.; Kumam, W.; Jirakitpuwapat, W. A Self-Adaptive Extra-Gradient Methods for a Family of Pseudomonotone Equilibrium Programming with Application in Different Classes of Variational Inequality Problems. Symmetry 2020, 12, 523. [Google Scholar] [CrossRef]
 - Van Hieu, D.; Quy, P.K. Explicit iterative algorithms for solving equilibrium problems. Calcolo 2019, 56, 11. [Google Scholar] [CrossRef]
 - Van Hieu, D. Convergence analysis of a new algorithm for strongly pseudomonotone equilibrium problems. Numer. Algorithms 2018, 77, 983–1001. [Google Scholar] [CrossRef]
 - Bianchi, M.; Schaible, S. Generalized monotone bifunctions and equilibrium problems. J. Optim. Theory Appl. 1996, 90, 31–43. [Google Scholar] [CrossRef]
 - Tiel, J.V. Convex Analysis; John Wiley: Hoboken, NJ, USA, 1984. [Google Scholar]
 - Bauschke, H.H.; Combettes, P.L. Convex Analysis and Monotone Operator Theory in Hilbert Spaces; Springer: New York, NY, USA, 2011; Volume 408. [Google Scholar]
 - Alvarez, F.; Attouch, H. An inertial proximal method for maximal monotone operators via discretization of a nonlinear oscillator with damping. Set Valued Anal. 2001, 9, 3–11. [Google Scholar] [CrossRef]
 - Opial, Z. Weak convergence of the sequence of successive approximations for nonexpansive mappings. Bull. Am. Math. Soc. 1967, 73, 591–598. [Google Scholar] [CrossRef]
 - Ofoedu, E. Strong convergence theorem for uniformly L-Lipschitzian asymptotically pseudocontractive mapping in real Banach space. J. Math. Anal. Appl. 2006, 321, 722–728. [Google Scholar] [CrossRef]
 - Hieu, D.V. New extragradient method for a class of equilibrium problems in Hilbert spaces. Appl. Anal. 2018, 97, 811–824. [Google Scholar] [CrossRef]
 










| Unit j | ||||||
|---|---|---|---|---|---|---|
| 1 | 0.0400 | 2.00 | 0.00 | 2.0000 | 1.0000 | 25.0000 | 
| 2 | 0.0350 | 1.75 | 0.00 | 1.7500 | 1.0000 | 28.5714 | 
| 3 | 0.1250 | 1.00 | 0.00 | 1.0000 | 1.0000 | 8.0000 | 
| 4 | 0.0116 | 3.25 | 0.00 | 3.2500 | 1.0000 | 86.2069 | 
| 5 | 0.0500 | 3.00 | 0.00 | 3.0000 | 1.0000 | 20.0000 | 
| 6 | 0.0500 | 3.00 | 0.00 | 3.0000 | 1.0000 | 20.0000 | 
| j | 1 | 2 | 3 | 4 | 5 | 6 | 
|---|---|---|---|---|---|---|
| 0 | 0 | 0 | 0 | 0 | 0 | |
| 80 | 80 | 50 | 55 | 30 | 40 | 
| u | n | ||||||
|---|---|---|---|---|---|---|---|
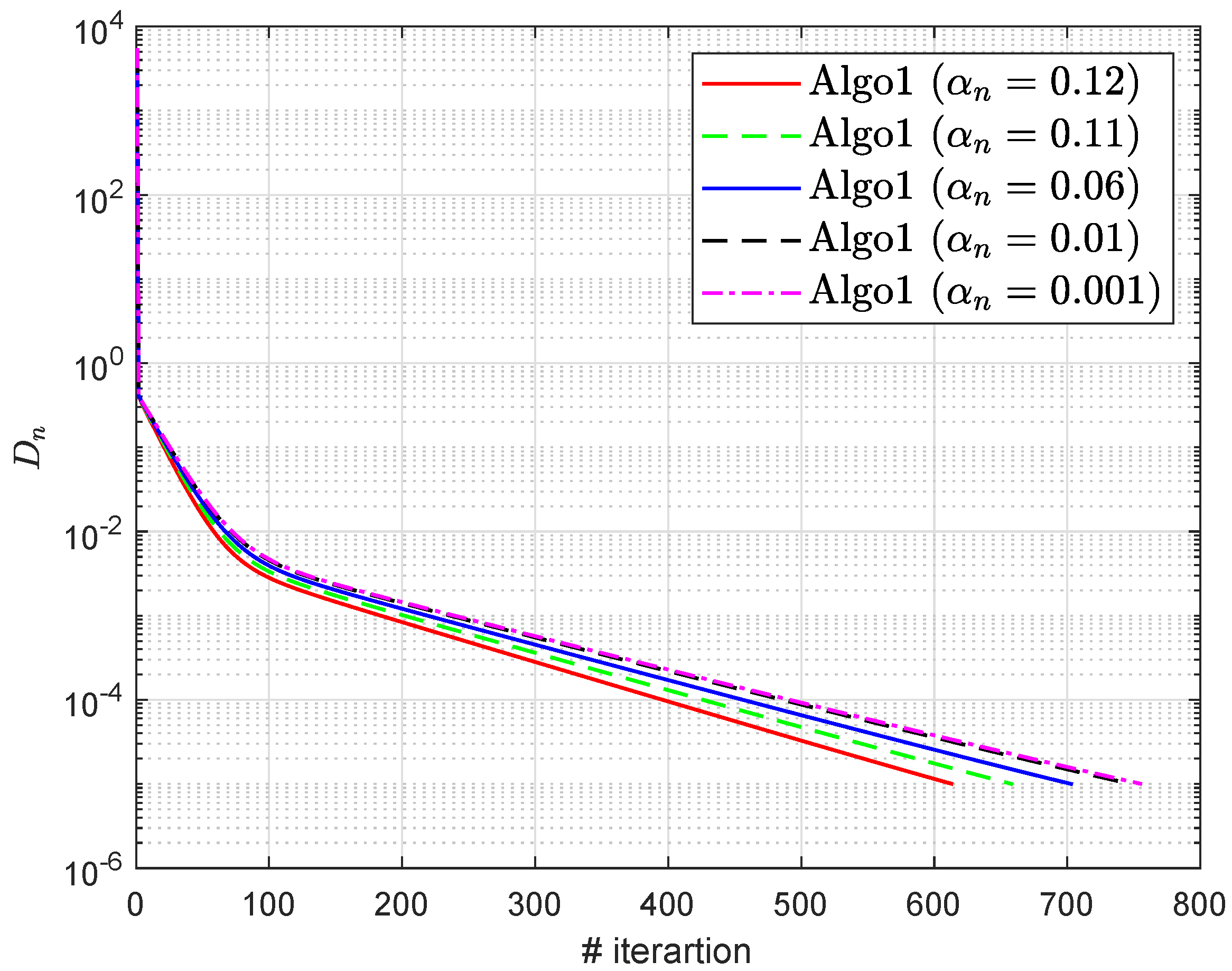
| Algo1 | 0.16 | 0.012 | 50 | 614 | 15.511285 | ||
| Algo1 | 0.11 | 0.012 | 50 | 659 | 17.624634 | ||
| Algo1 | 0.06 | 0.012 | 50 | 704 | 17.143282 | ||
| Algo1 | 0.01 | 0.012 | 50 | 748 | 18.846679 | ||
| Algo1 | 0.001 | 0.012 | 50 | 756 | 19.411861 | 
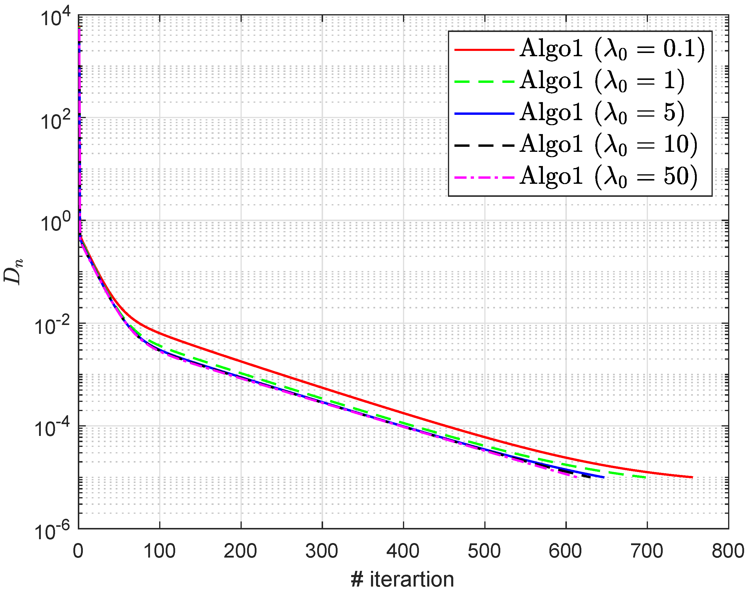
| u | n | ||||||
|---|---|---|---|---|---|---|---|
| Algo1 | 0.16 | 0.012 | 0.1 | 756 | 23.649384 | ||
| Algo1 | 0.16 | 0.012 | 1 | 698 | 19.827807 | ||
| Algo1 | 0.16 | 0.012 | 5 | 647 | 18.198626 | ||
| Algo1 | 0.16 | 0.012 | 10 | 630 | 17.335370 | ||
| Algo1 | 0.16 | 0.012 | 50 | 614 | 16.943758 | 
© 2020 by the authors. Licensee MDPI, Basel, Switzerland. This article is an open access article distributed under the terms and conditions of the Creative Commons Attribution (CC BY) license (http://creativecommons.org/licenses/by/4.0/).
Share and Cite
Rehman, H.u.; Kumam, P.; Argyros, I.K.; Shutaywi, M.; Shah, Z. Optimization Based Methods for Solving the Equilibrium Problems with Applications in Variational Inequality Problems and Solution of Nash Equilibrium Models. Mathematics 2020, 8, 822. https://doi.org/10.3390/math8050822
Rehman Hu, Kumam P, Argyros IK, Shutaywi M, Shah Z. Optimization Based Methods for Solving the Equilibrium Problems with Applications in Variational Inequality Problems and Solution of Nash Equilibrium Models. Mathematics. 2020; 8(5):822. https://doi.org/10.3390/math8050822
Chicago/Turabian StyleRehman, Habib ur, Poom Kumam, Ioannis K. Argyros, Meshal Shutaywi, and Zahir Shah. 2020. "Optimization Based Methods for Solving the Equilibrium Problems with Applications in Variational Inequality Problems and Solution of Nash Equilibrium Models" Mathematics 8, no. 5: 822. https://doi.org/10.3390/math8050822
APA StyleRehman, H. u., Kumam, P., Argyros, I. K., Shutaywi, M., & Shah, Z. (2020). Optimization Based Methods for Solving the Equilibrium Problems with Applications in Variational Inequality Problems and Solution of Nash Equilibrium Models. Mathematics, 8(5), 822. https://doi.org/10.3390/math8050822
        
