Abstract
If a graph can be embedded in a smooth orientable surface of genus g without edge crossings and can not be embedded on one of genus without edge crossings, then we say that the graph has genus g. We consider a mapping on the set of graphs with m vertices into itself. The mapping is called a linear operator if it preserves a union of graphs and it also preserves the empty graph. On the set of graphs with m vertices, we consider and investigate those linear operators which map graphs of genus g to graphs of genus g and graphs of genus to graphs of genus for and m sufficiently large. We show that such linear operators are necessarily vertex permutations.
MSC:
05C05; 15A04; 15A86
1. Introduction
Let denote the set of all simple loopless graphs on n vertices. Determining whether a graph belongs to some specified set is sometimes difficult. For example, finding the genus of a graph is an NP-hard problem. A good method of finding families of graphs of a specific genus is to consider operators on known families of graphs of specific genus.
A mapping T on is called a linear operator if it preserves the unions (that is, for any graphs and ), and preserves the edgeless graph, , in .
Such linear operators were studied by Pullman [1] in 1985 and by Hershkowitz [2] in 1987. Those mappings that preserve the clique covering number were studied in [1] and the mappings that preserve maximum cycle length were studied in [2]. The mappings that preserve chromatic number and planarity were studied in [3].
For a graph G, let denote the vertex set and denote the edge set so that an edge in is represented by an unordered pair of vertices, , or simply . Isolated vertices does not affect the properties that we are investigating. So, we may think of nonempty subgraph of G, which is obtained by deleting its isolated vertices from G. We now adopt the convention that “G has a property” means “ has that property”. Therefore if we say that “E is an edge” means that and if we say that “G is a 3-cycle”, we mean that “ is a 3-cycle”.
Let the vertex set of the graphs in be . If the edge set of a graph E consists only of the edge , we denote E by . A linear operator is called a vertex permutation ([2]) if there is a permutation, , of such that if is an edge of G, , then is an edge of , which is equivalent to
for all .
We say that a linear operator T preserves a set if implies that . The linear operator T strongly preserves the set if
Thus, “T strongly preserves the set ” means that “T preserves the set and T preserves the complement ”.
If is a linear operator that maps the whole set to a single element, then T preserves any set that contains that single element. So, for our investigation, additional conditions must be added to the linear operator as we see in the following example.
Example 1.
Let P be the Petersen graph, Then P is a 3-regular graph. Let be defined by for all and . Then T is a linear operator and preserves 3-regular graphs, but T maps every graph A except to the 3-regular graph Therefore T strongly preserves no set of graphs except P and .
Let h be a function on and be a linear operator. The operator T is said to preserve the function h if T preserves the set for each , the image of h. This is equivalent that
Let denote the number of edges in G, i.e., the cardinality of the set . We say that a graph G is a k-star ([3]) if G is consisted of k edges sharing a common vertex. Then a 2-star is a path of two connected edges.
Let G and H be graphs in and . Then we say that G is dominated by H or H dominates G, and we denote .
We say that the genus of a surface is 0 when the surface is a sphere or a plane. A surface has genus 1 if it is equivalent to a torus or a sphere with 1 “handle”. An orientable smooth surface has genus k if it is equivalent to a surface with k holes, or a sphere with k “handles”.
The genus of a graph is defined as the genus of the simplest surface in which it can be embedded (drawn) without crossings of edges. There are well known facts such that the genus of a graph is 0 (i.e., the surface is planar) if it is not a subdivision of a or , where is the complete graph on 5 vertices, and is the complete bipartite graph the vertex bipartition being two sets each of three members.
For , let us denote the genus of G by . Thus, is a function , the set of nonnegative integers, which is defined by if G has genus h.
For a graph G with , if we add any edge E to G then will have genus at most , since at most one “handle” should be attached to the surface to embed the edge. For more known facts on the genus of a graph and embedding, we refer [4] or the following mathematical web sites:http://mathworld.wolfram.com/GraphTheory.html. https://en.wikipedia.org/wiki/Graph_theory.
Now, we define a function on the set of natural integers , such that has a graph G with . That is, define by if and only if contains a graph G with and does not. As an example, since complete graph has genus 1 and each graph on four vertices has genus 0. That is, gives the minimum such that has a graph G with . Also, extending this function to the nonnegative integers, we define .
In [5] the following theorem was established:
Theorem 1.
([5] Theorem 3.7). For a nonnegative integer h, let if , and if . If is a linear operator, then, the following are eqivalent:
- 1.
- T preserves consecutive two genera h and ;
- 2.
- T strongly preserves genus h;
- 3.
- T preserves genus h and is bijective;
- 4.
- T preserves genus h and ;
- 5.
- T maps edges to edges and T preserves genus h for ;
- 6.
- T is a vertex permutation.
In this article, we extend these results. The following join of two graphs will be used.
Definition 1.
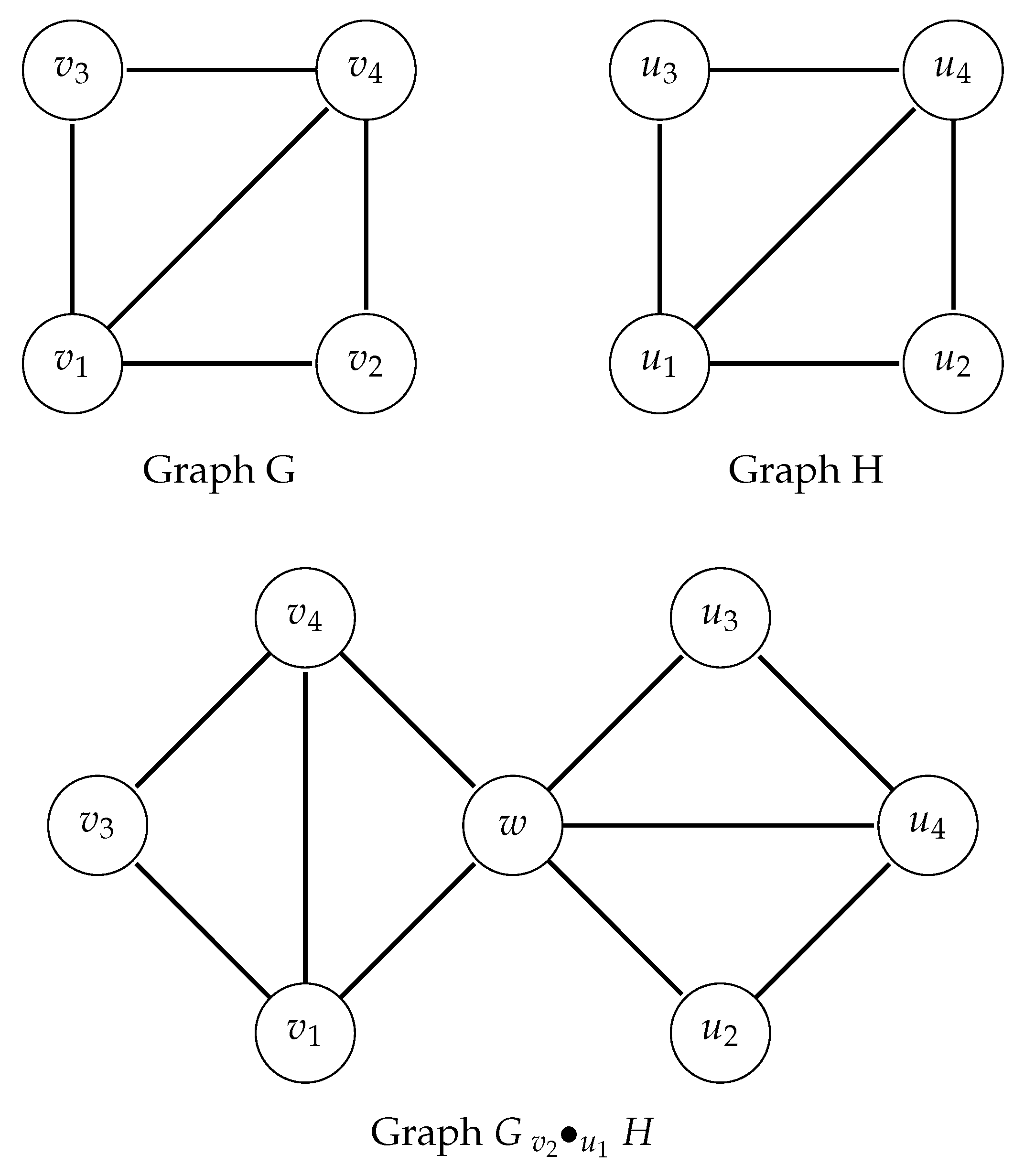
Let be vertices. Let , , , , , and . Define the-append ofGandH, , to be the graph on vertices whose vertex set is and let the edge set of to be the set . See Figure 1. If the vertex u in G is not specified, that is the choice of vertex u is arbitrary, we write or , and if neither is specified we write .
Figure 1.
The append of two graphs.
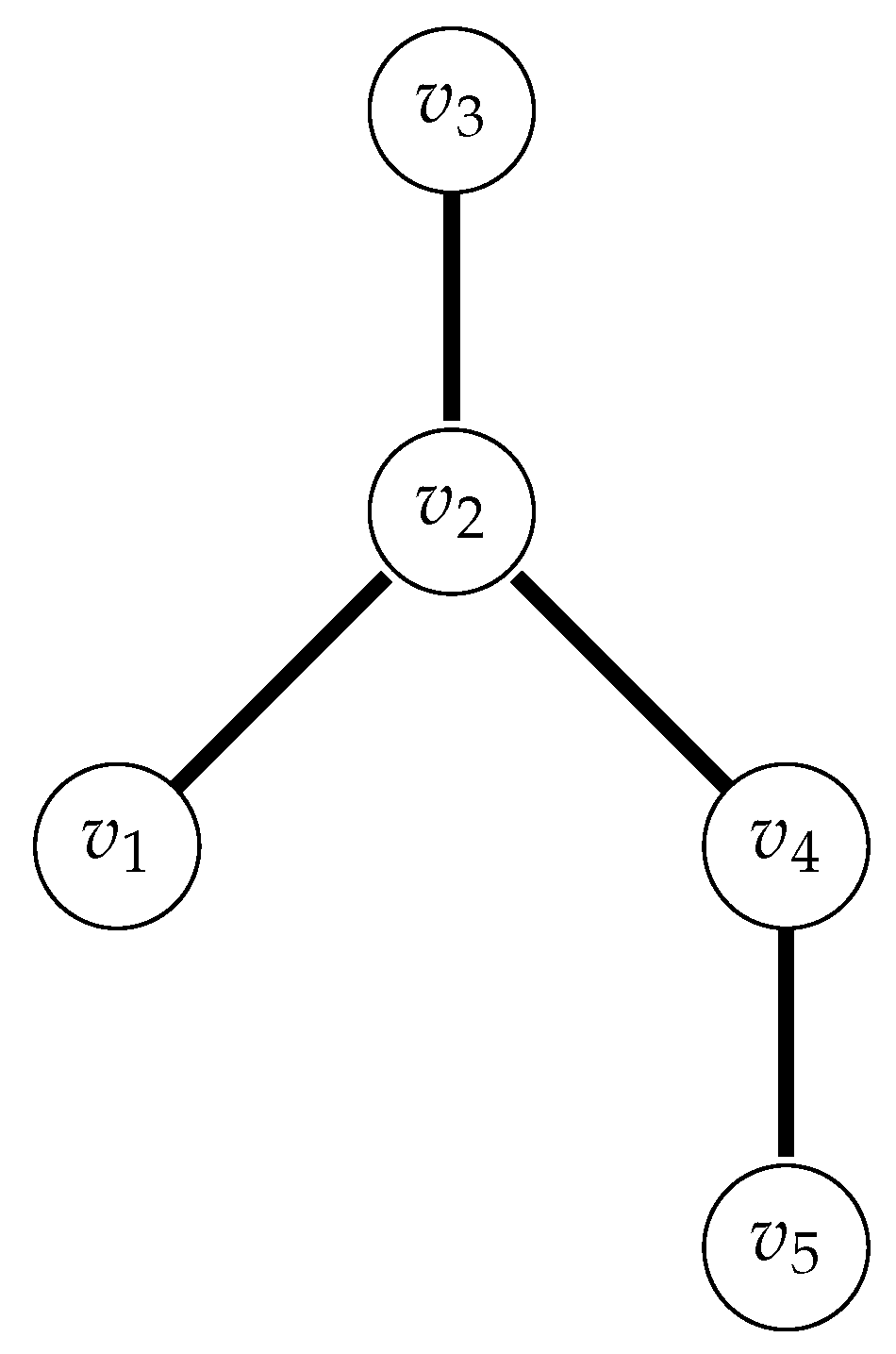
For example, if G is a graph one of whose vertices is v we write since any choice of a vertex from will give the same graph appended to the vertex v of G. Similarly, if is a 6 cycle, we write , since for any choices of vertices of and any choice of vertices of give the same appended graph. Further, when appending more than two graphs, we use a sequence of vertices so that for , , etc., the graph is well defined. In Figure 2, we show the appending of two ’s to the ends of an edge E.
Figure 2.
.
2. A Construction
We define the box-sum of graphs where F is a forest. We assume that the number n of vertices in is at least four times the number of edges in the forest plus the number of components of F.
We begin defining where H is a tree as follows: Let H be a tree with nonisolated vertex set and with q edges, , where . To each edge , of H assign the vertices and such that for ,
Let be the complete graph induced by the set of vertices
Let . Then, is a graph on vertices such that
- H is a subgraph of ;
- contains q blocks;
- each block is isomorphic to ; and
- exactly one edge of H is dominated by each block of .
Let be a forest with disjoint trees . Let be the set of nonisolated vertices of F, and let F have a total of r edges, , where .
Let be a set of vertices in such that
Let be the complete graph induced by the set of vertices
Let
Then is a graph such that
- F is a subgraph of ;
- contains ℓ components and a total of (= s) blocks;
- the ith component of is ;
- exactly one edge of F is dominated by each block of each component of ;
- The genus of is s, the number of edges in F.
Note that is not unique, it depends on the choice of vertices and .
3. Linear Operators That Preserve Two Genera of a Graph
Let be a subset of and let . So that is the largest graph in . Let , the number of edges in the graph G and let be the set of all edge graphs in .
Let be a linear operator.
- Let . Let and let be a spanning forest of .
- Let , and be a spanning forest of .
- Let , and be a spanning forest of .
In the following lemma we shall use the function defined above Theorem 1 such that gives the minimum such that has a graph G with . Further recall that an idempotent operator, L, is one for which .
Lemma 1.
Let k and j be positive integers and let . Let be an idempotent linear operator that preserves the set of graphs of genus k and the set of graphs of genus . Then, .
Proof.
Suppose that . Let where each is an edge, and label the edges so that and . Further, for , since L is idempotent and , .
Let , and consider . Then, has genus j, and meets vertices. Let Q be a graph of genus k on vertices and let . G meets all the vertices of and all the vertices of . Since in G, and Q share one vertex, G meets n vertices. Then and since the deletion of each edge in reduces the genus of by one and hence reduces the genus of G by one. Let be edges dominated by G such that .
Now, , since . Thus . So
since . We now have that and , a contradiction since . Thus, . □
Lemma 2.
Let and let . If is an idempotent linear operator that preserves graphs of genus k and graphs of genus then L is the identity mapping.
Proof.
Consider . By Lemma 1 . Note, if then L is the identity, so we assume that . Thus, the vertices incident with a tree dominated by induces a subgraph of a , by permuting vertices, we may suppose that the is induced by vertices . Further, if F is any edge, . Let be appended so that for H a graph of genus k on vertices, dominates edges whose images dominate .
Let be edges dominated by respectively such that .
Then and , so that and . But,
But adds at most to the genus of . That is .
That is , so , a contradiction.
We have shown that and hence L is the identity. □
The following lemma was obtained in [6], but we include the proof for completeness.
Lemma 3
([6] Lemma 2.5). Let be a finite set and be arbitrary mapping. Then there is some natural number r such that (the r-th power of ϕ) is idempotent.
Proof.
Since is finite, and can be considered a subset of , the set is a finite set. Thus there exist two nonnegative integers with such that . Let . Since , if k is a nonnegative integer, then , etc. So that for any nonnegative integer k, .
Suppose that c is a nonnegative integer with . Then for some nonnegative integer z. Thus, . That is, for any nonnegative integers with , .
Now, let , then since . Thus, . Hence it follows that . For we have . That is is idempotent. □
Theorem 2.
Let and be positive integers and let . If is a linear operator that preserves graphs of genus h and graphs of genus then T is a vertex permutation.
Proof.
Let L be a power of T that is idempotent as guaranteed by Lemma 3. By Lemma 2, L is the identity. It follows that T must be bijective since L is a power of T. Since , by Theorem 1 the theorem follows. □
4. Conclusions
In this article, we continue our investigation on the linear operators that preserve the genera of a graph. Now we showed that those linear operators are the form of vertex permutations. And we added some equivalent conditions of the linear operators on the set of graphs that preserve the genera of a graph, say, the linear operator that preserves two genera h and of a graph. For further investigation, we give a conjecture:
Conjecture. If is a linear operator that preserves any two genera h and k of a graph, then T is a vertex permutation.
Author Contributions
Create and conceptualize ideas, L.B.B.; writing original draft preparation, L.B.B., K.-T.K. and S.-Z.S.; writing review and editing, L.B.B., K.-T.K. and S.-Z.S.; funding acquisition, S.-Z.S. All authors have read and agreed to the published version of the manuscript.
Funding
This research was supported by Basic Science Research Program through the National Research Foundation of Korea (NRF) funded by the Ministry of Education (No. 2016R1D1A1B02006812).
Acknowledgments
We would like to thank the anonymous reviewers for their very careful reading and valuable comments.
Conflicts of Interest
The authors declare no conflict of interest.
References
- Pullman, N.J. Linear operators that preserve clique covering numbers. ARS Comb. 1985, 19A, 27–36. [Google Scholar]
- Hershkowitz, D. Linear mappings which preserve acyclicity properties of graphs and digraphs and applications to matrices. Discrete Math. 1987, 64, 157–190. [Google Scholar] [CrossRef]
- Beasley, L.B.; Pullman, N.J. Linear operators preserving properties of graphs. Congr. Numer. 1990, 70, 105–112. [Google Scholar]
- Bondy, J.A.; Murty, U.S.R. Graph Theory; Graduate Texts in Mathematics 244; Springer: New York, NY, USA, 2008. [Google Scholar]
- Beasley, L.B.; Song, S.-Z. Linear operators that preserve the genus of a graph. Mathematics 2019, 7, 312. [Google Scholar] [CrossRef]
- Beasley, L.B.; Song, S.-Z. Genus of a graph and its strong preservers. Linear Multilinear Algebra 2020. [Google Scholar] [CrossRef]
© 2020 by the authors. Licensee MDPI, Basel, Switzerland. This article is an open access article distributed under the terms and conditions of the Creative Commons Attribution (CC BY) license (http://creativecommons.org/licenses/by/4.0/).



