Abstract
Freight derivative prices have been modeled assuming that the spot freight follows a particular stochastic process in order to manage them, like freight futures, forwards and options. However, an explicit formula for pricing freight options is not known, not even for simple spot freight processes. This is partly due to the fact that there is no valuation equation for pricing freight options. In this paper, we deal with this problem from two independent points of view. On the one hand, we provide a novel theoretical framework for pricing these Asian-style options. In this way, we build a partial differential equation whose solution is the freight option price obtained from stochastic delay differential equations. On the other hand, we prove lower and upper bounds for those freight options which enables us to estimate the option price. In this work, we consider that the spot freight rate follows a general stochastic diffusion process without restrictions in the drift and volatility functions. Finally, using recent data from the Baltic Exchange, we compare the described bounds with the freight option prices.
1. Introduction
In this global economy, the transport of every kind of goods around the world has become of great importance. In fact, more than 95% of the world trade is carried by marine vessels, see [1].
The freight (transport by vessels) market is usually considered as a part of the commodity market. However, there are important differences between them. Most commodities are real products while a freight is a service and, as a result, it is not storable. Freight rates also present remarkable properties such as high volatility and risk. The cost of sea transport is affected by fleet supply and commodity demand, but also by external factors such as the price of bunker fuel or seasonal pressures, see [2]. As a consequence, freight derivatives were initially provided to protect ship-owners and charterers against risk. Besides, more recently financial institutions also found great opportunities in it.
There are different types of freight derivatives such as futures, forwards or options, but all of them depend on the freight rate in a settlement period before the maturity, see [3] for more detail. Traded freight options are contracts whose payoffs are the difference between the average of freight rates in a settlement period and the strike price. That is, they are arithmetic Asian-style options. This procedure avoids the possible manipulation, by large participants in the market, of the price just at maturity time. Moreover, the transportation of goods usually takes several days and the freight rates change along this time period.
Taking into account that the freight market is very recent, at the moment, not much scientific research has been done yet. When the spot freight follows a geometric process, a framework for its valuation is developed by Koekebakker et al. [4]. Tvedt [5] models the log spot freight rate in shipping by means of a geometric mean reversion process. Prokopczuk [1] considers that the log spot freight follows an Ornstein–Uhlenbeck process and studies the pricing and hedging of freight futures contract. When the log spot follows a jump-diffusion stochastic process, an accurate valuation of freight options is developed by Nomikos et al. [6] and Kyriakou et al. [7].
In general, in order to obtain a freight option price, it is necessary to use the conditional expectation under the risk-neutral measure because there is no valuation partial differential equation (PDE) for pricing this kind of options, unlike what happens with other derivatives (bonds, futures, European options, etc). Therefore, the Monte Carlo method is used to approximate this conditional expectation, see for example [8]. However, this method is very expensive and inaccurate from a computational point of view.
In this paper, we deal with the freight option valuation problem in two ways. On the one hand, we provide a novel partial differential equation whose solution is the freight option price. This PDE depends on three independent state variables: the spot freight rate, its delay and the continuous version of the average of the spot freight rate over a time period. This framework opens a new way to address this valuation problem. For example, this PDE could be used to obtain a partial explicit solution of the freight option in some models. In other cases, the solution could be approximated by using numerical methods for PDE. We obtained lower and upper bounds of the freight option price. These bounds provide valuable estimations to the option prices.
Our contributions need no restrictive conditions on the model: the spot freight follows a general stochastic diffusion process without restrictions in the drift and volatility functions.
The paper is arranged as follows. In Section 2, a one-factor diffusion model to price freight options is introduced. In Section 3, we provide a novel PDE for pricing these kind of options. In particular, for the geometric model, we obtained a partial solution for this price. In Section 4, we provide lower and upper bounds for the freight option prices. In Section 5, we compare these bounds with the freight option prices in a test problem using data from the Baltic Exchange. Finally, Section 6 concludes.
2. The Option Pricing Model
In this section, we consider a general one-factor diffusion model, which we use to price freight derivatives.
Define (, , ,) as a complete filtered probability space which satisfies the usual conditions and is a filtration, see [9,10].
We assume that the spot freight rate follows the diffusion process, under the risk-neutral measure ,
where and are the drift and volatility of the process, respectively, and W is a Wiener process. We suppose that the functions and satisfy suitable regularity conditions as follows (see [11]):
Assumption 1.
Functions μ and σ are measurable and there exists a constant C such that, for all,
Assumption 2.
There exists a constant D such that, for all,
The freight call option price at time t, with settlement period , , and strike price K, can be expressed as , and at maturity it is
On the other hand, we consider a discount factor . If we assume that the riskless interest rate r is constant, then . According to the fundamental theorem of asset pricing (see [10]), the price of a freight call option, at time t, and strike price K, is given by the following conditional expectation
This price can be represented, taking into account that it is a European call option on a forward freight agreement (FFA), by means of the following expectation (see [4])
where is the FFA price with settlement period . Finally, note that .
3. Valuation Partial Differential Equation
As we have seen in previous sections, freight options are arithmetic Asian-style options, where the average is calculated over a fixed settlement period. Even though in the standard Asian options the settlement period is the total period until maturity, in freight options it is a fixed period close to maturity.
With respect to the standard Asian options, geometric ones usually have an exact pricing formula, however, for arithmetic Asian options such a price does not exist. In the literature, this fact has led to use different methodologies for acceptable and tractable valuation: Monte Carlo simulation approach (see [12,13]) and numerical methods for the PDE provided in [14], as in [15,16], where the spot freight rate follows a geometric process. Moreover, when the arithmetic average is calculated on a fixed period lower than in the standard Asian options, there is not a valuation equation for pricing these freight options.
Therefore, Equation (3) is, nowadays, the main available method to price this kind of derivatives. Unfortunately, in general, it is not an easily manageable form for the empirical application. In order to provide a new framework that allows us to price the freight options in a different way, here we develop a PDE for pricing freight options when the spot freight follows a general diffusion stochastic process. To this end, we will make a similar reasoning for pricing standard Asian options, as in [14], but we need to incorporate a new variable, the delayed spot freight rate. Moreover, when the spot freight rate follows a geometric process, we obtain a partial solution to this PDE.
First, we consider a settlement period such that is a fixed time span, for example, one month. Then, we introduce a continuous version of the average of the spot price, for , as the process :
We write Equation (5) in differential form and obtain the following stochastic delay differential equation
In order to obtain the equation that verifies the freight option price, we introduce a new variable which is a delay of the spot freight rate along a time period d. We denote this delayed spot freight rate as the new variable
Therefore, we can rewrite Equation (6) as
Then, the process depends on the spot freight rate and on its delay value X as a new variable. In this case, we can approximate the average value of the spot freight rate in the discrete Equation (2), by means of Equation (5), in a continuous way as
and the expectation in Equation (3) as
The following theorem provides a PDE satisfied by the freight call option price.
Theorem 1.
Proof of Theorem 1.
Applying arbitrage arguments in the market, the discounted freight option price is a martingale under the risk-neutral measure , see [10]. That is,
Then, in the development of , the term must be zero.
Note that and
Moreover, , because , and .
Therefore, by means of Ito Lemma, for , we obtain
and for ,
Remark 1.
This result allows us to address the valuation problem of freight options in a new way: We obtain a pure final value problem associated to a PDE whose solution gives the freight option price. However, it is very difficult to solve this problem, except in some particular cases. Next, we will consider one of these situations.
In the freight options literature, some stochastic processes are commonly used to describe the dynamic of the spot freight rate. In particular, it is usual to consider a geometric process where the functions in Equation (1) are and , with constants and . In such a case, in the literature there exist some techniques to approximate the freight option prices although none of them are exact solutions. However, in a similar way to [14], here we value the option on the FFA when the average of the spot freight verifies , by solving the PDEs Equations (9) and (10) in Theorem 1.
Proposition 1.
Proof of Proposition 1.
First of all, we change the time variable by considering . Then, from Equations (7) and (9) we have the initial value problem
For , as in [14], we look for a linear solution to this problem as:
where and are functions depending only of time. Replacing Equation (16) in the PDE Equation (14), we obtain that the functions and must verify the following system of ordinary differential equations
From Equation (15), we get the initial conditions and . Solving this system, we obtain the solution to the problem Equations (14) and (15)
Now, the same change of variable in Equation (10), and the value of Equation (17) in , provide the initial value problem
Again, we look for a linear solution as
where and are functions of time.
If we replace Equation (20) into the PDE Equation (18) we obtain that and verify the system of ordinary differential equations:
and from Equation (19) we derive the initial conditions
Solving the system Equation (21) with the previous initial conditions, we obtain the solution
Finally, if we return to the original time variable t, we obtain the expression in Equation (13) for which provides the call freight option price when . ☐
Remark 2.
Note that the solution that provides Equation (13) is only valid for. Unfortunately, for other values of the continuous average of the spot rate we do not have an explicit expression for the freight call option price. Therefore, even in this simple case, the partial solution to the PDE that we get is not sufficiently to price the freight option. However, it could be useful for the numerical solution of the problem, as we remark in a later section.
Remark 3.
Although knowing the PDE problem previously described is not sufficient, in general, to get the exact price of the option, we could use numerical methods in order to approximate its solution. However, this is a very hard problem. On the one hand, the PDE involves four independents variables: the time, the spot rate, its delay and the average of the spot rate in the settlement period. Then, it is necessary to design suitable specific numerical methods for this expensive multidimensional problem. On the other hand, the application of numerical methods for a pure final problem requires appropriate boundary conditions. In this sense, for the specific stochastic processes considered in Proposition 1, we can use Equation (13) to obtain such boundary conditions (in a similar way to [14] for Asian options). In any case, the numerical approach of this problem is beyond the scope of this work.
4. Lower and Upper Bounds for Freight Options
For arithmetic standard Asian options, several bounds have been presented in the literature (see for example [14,17]) and they are obtained in terms of European options. Therefore, assuming a specific dynamics of the spot rate in order to know its probability distribution, these bounds can be valuated. For example, in [18] and [7], an optimal lower bound for freight options is provided when the log spot freight price follows a jump-diffusion process with mean reversion.
In this section, we obtain lower and upper bounds for freight options but, unlike what happens in the Asian case, we do not assume a particular expression of the functions in the spot freight stochastic process.
In the following theorem, as in Equation (4), we consider that the freight option is a European option on an FFA.
Theorem 2.
Letbe a freight call option price with settlement periodand strike price K. Then,
whereis an FFA with settlement period, andis a European plain vanilla call option with maturity.
Proof of Theorem 2.
First of all, note that for a convex function , . Therefore, starting with Equation (3) for the freight call option price and taking into account that the maximum function is convex, then
arriving at the lower bound in Equation (22) which depends on the FFA price .
In order to deduce the upper bound, we use the following relation
which is satisfied for every collection of real numbers .
If we apply this relation to the option price formula (Equation (3)), we obtain
In this case, we obtain the upper bound in Equation (22) which depends on the European plain vanilla call options on the spot freight rate , with maturities at the different dates of the settlement period, . ☐
Remark 4.
As we mentioned in the previous section, pricing the freight call option (Equation (3)) is a complex task. However, its lower and upper bounds, presented in Equation (22), are easier to obtain: FFA and European vanilla option prices with several maturities are required. Therefore, the values of these bounds can be used as an estimation of the window where the freight call option price lies.
5. Empirical Application
In this section, we analyze the accuracy of the bounds obtained in Section 4. To this end, we consider that the spot freight rate follows a geometric process, which is widely used in the literature (as, for example, in [4]). That is, we assume that the spot freight rate follows a geometric stochastic process
We estimated the parameters in Equation (23) using Baltic Dry Index data from 2013 to 2019. This index, daily issued by the London-based Baltic Exchange, is mostly used in the freight market. As the spot freight rate follows a geometric Brownian process, we use maximum likelihood obtaining the values and .
Assuming that the market price of risk is , then, the drift under the risk-neutral measure is equal to the drift under physical measure
The bounds in Theorem 2 are obtained in the following way. The lower bound is computed using the FFA price obtained by [4] for a geometric Brownian motion. As far as the upper bound is concerned, the prices of the European plain vanilla call options on the spot freight rate are obtained in a similar way that in [19], but considering that .
In order to compare the bounds in Equation (22) with the freight option price, we approximate the latter using the Monte Carlo simulation technique, which has been proved to be a flexible and handy method to price options (see, for example, [13]). We approximate the expectation in Equation (3) using a daily time step () and the previously established parameters. We generated 100,000 paths and consider that the settlement period is 1 month and the interest rate is . We assumed that the spot freight rate is , which is the average of the Baltic Dry Index from January 2013 to January 2019, and different strike prices from to of this spot freight rate. In order to increase the precision of this technique, we used the antithetic variable method as a variance reduction technique, see [13].
Table 1 and Table 2 show several option prices and their corresponding bounds for different maturities (1 and 3 months, respectively) and strike prices (as percentages of the spot price). Both tables confirm the validity of the bounds in Equation (22).
Table 1.
European freight call option prices with a maturity of 1 month, for several strikes and their corresponding lower and upper bounds.
Table 2.
European freight call option prices with a maturity of 3 months, for several strikes and their corresponding lower and upper bounds.
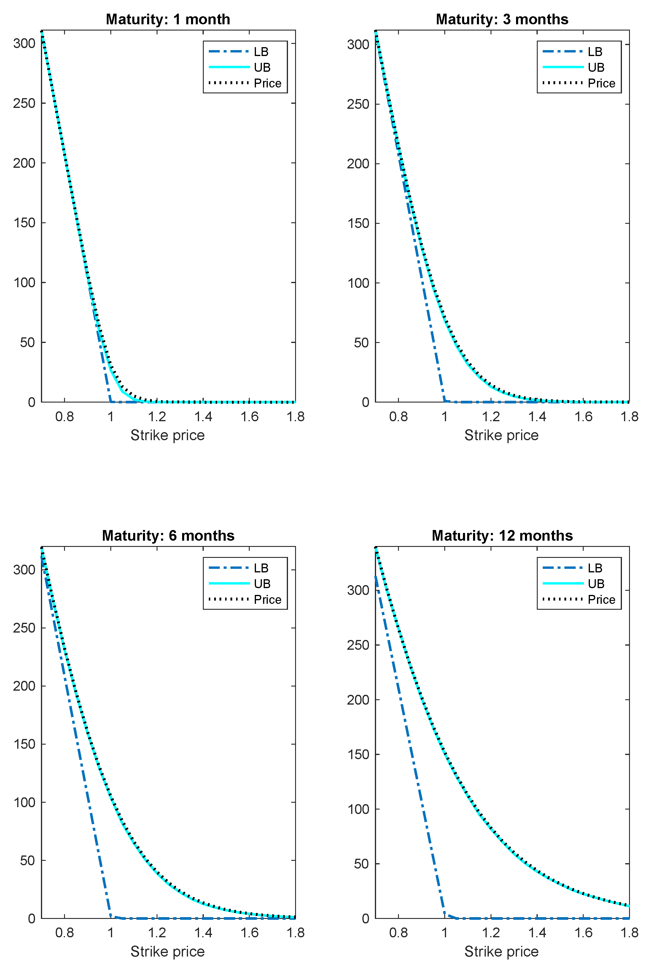
We conclude that the window defined by the bounds, when the maturity is 1 month, is narrower than the one obtained with a maturity of 3 months. In both cases the maximum width of the window is for options at the money (30.56 monetary units for 1 month and 70.05 for 3 months). Moreover, around the spot price the upper bound is closer to the option price than the lower bound. This fact can be observed clearly in Figure 1 that plots the option prices (solid line) and their corresponding lower and upper bounds (dotted and dashed lines, respectively) for several strike prices with maturities of 1, 3, 6 and 12 months. Note that, the higher the maturity the wider the window but, in all cases the behavior of the upper bound fits the option price better than the lower bound.
Figure 1.
The lower and upper bounds and the option prices according to the strike prices. Maturities: 1, 3, 6 and 12 months.
Finally, Table 3 shows the differences, absolute and relative, between each bound and the freight option price for different values of the strike price, and with a maturity of 3 months. The last row provides the mean of the differences presented in the previous rows. As we can see, when the option is out of the money, the differences in both bounds are higher than when the option is in the money. In fact, these differences reach a maximum when the option is at the money. If we compare the mean of the differences, we observe that the upper bound is much more accurate than the lower bound. Therefore, in this case the upper bound is a good estimation of the option price.
Table 3.
Absolute and relative differences between the freight call option prices with a maturity of 3 months and their lower and upper bounds, for several strike prices.
6. Discussion and Conclusions
The freight market is a relatively new market but a very important one nowadays. Therefore, more scientific research is necessary in this area. In the freight market, in order to avoid price manipulations by large participants, setting is against the average value of a freight index. As a consequence, freight derivatives have, in general, average-style payoffs which makes them more difficult to price.
In the freight markets literature, we can find few models and methods to price this kind of derivatives. More precisely, to this end, it is usual to consider very specific parametric models. Here we propose new strategies that open a path to price these freight derivatives with general models, which will facilitate its application in the market by practitioners.
The contribution of this paper is twofold. On the one hand, we prove that the freight option price verifies PDEs with three independent state variables: the spot rate, its delay and the average of the spot rate in the settlement period. This result is notable because it offers a new approach to deal with the freight option valuation problem. Moreover, it opens the door to apply numerical methods for pricing freight options. On the other hand, we find and prove some lower and upper bounds for freight options which allow us to approximate its price. Finally, as an empirical application, we calculate these bounds using the Baltic Dry Index, issued by the Baltic Exchange in London, for freight options with different maturities. In such a case, we observe that the upper bound is close to the option price and then, it could be used as approximation to the price, especially for options in the money.
Author Contributions
All authors contributed equally to this article. All authors have read and agreed to the published version of the manuscript.
Funding
This research was funded in part by Consejería de Educación, Junta de Castilla y León, grant numbers VA148G18 and VA138G18, and by Ministerio de Economía y Competitividad, grant number MTM2017-85476-C2-P.
Conflicts of Interest
The authors declare no conflict of interest.
Abbreviations
The following abbreviations are used in this manuscript:
| PDE | Partial Differential Equation |
| FFA | Forward Freight Agreement |
| LB | Lower Bound |
| UB | Upper Bound |
References
- Prokopczuk, M. Pricing and hedging in the freight futures market. J. Fut. Mark. 2011, 31, 440–464. [Google Scholar] [CrossRef]
- Goulas, L.; Skiadopoulos, G. Are freight futures markets efficient? Evidence from IMAREX. Marit. Policy Mag. 2012, 28, 644–659. [Google Scholar] [CrossRef]
- Kavussanos, M.G.; Visvikis, I.D. Shipping freight derivatives: A survey of recent evidence. Marit. Policy Manag. 2006, 33, 233–255. [Google Scholar] [CrossRef]
- Koekebakker, S.; Roar, A.; Sodal, S. Pricing freight rate options. Transp. Res. Part E Logist. Transp. Rev. 2007, 43, 535–548. [Google Scholar] [CrossRef]
- Tvedt, J. Valuation of a european futures option in the BIFFEX market. J. Fut. Mark. 1998, 18, 167–175. [Google Scholar] [CrossRef]
- Nomikos, N.K.; Kyriakou, I.; Papapostolou, N.C.; Pouliasis, P.K. Freight options: Price modelling and empirical analysis. Transp. Res. Part E Logist. Transp. Rev. 2013, 51, 82–94. [Google Scholar] [CrossRef]
- Kyriakou, I.; Pouliasis, P.K.; Papapostolou, N.C.; Nomikos, N.K. Income uncertainty and the decision to invest in bulk shipping. Eur. Financ. Manag. 2018, 24, 387–417. [Google Scholar] [CrossRef]
- Ortiz, A.; Martinez, M. Comparison of European and Asian valuation of options with underlying average and stochastic interest rate by Monte Carlo simulation. Ecorfan J. 2014, 5, 2057–2072. [Google Scholar]
- Protter, C. Stochastic Integration and Differential Equations; Springer: Berlin/Heidelberg, Germany, 2007. [Google Scholar]
- Shreve, S.E. Stochastic Calculus for Finance II: Continuous Time Models; Springer: New York, NY, USA, 2004. [Google Scholar]
- Oksendal, B. Stochastic Differential Equations. An Introduction with Applications; Springer: Berlin/Heidelberg, Germany, 2003. [Google Scholar]
- Fusai, G.; Roncoroni, A. Implementing Models in Quantitative Finance: Methods and Cases; Springer: Berlin/Heidelberg, Germany, 2008. [Google Scholar]
- Huynh, H.T.; Lai, V.S.; Soumaré, I. Stochastic Simulation and Applications in Finance with MATLAB Programs; John Wiley & Sons: Chichester, UK, 2008. [Google Scholar]
- Kemna, A.G.Z.; Vorst, A.C.F. A pricing method for options based on average asset values. J. Bank. Financ. 1990, 14, 113–129. [Google Scholar] [CrossRef]
- Rogers, L.C.G.; Shi, Z. The value of an Asian option. J. Appl. Probab. 1995, 32, 1077–1088. [Google Scholar] [CrossRef]
- Zvan, R.; Forsyth, P.A.; Vetzal, K.R. Robust numerical methods for PDE models of Asian options. J. Comp. Financ. 1998, 1, 39–78. [Google Scholar] [CrossRef]
- Vanmaele, M.; Deelstra, G.; Liinev, J.; Dhaene, J.; Goovaerts, M.J. Bounds for the price of discrete arithmetic Asian options. J. Comput. Appl. Math. 2006, 185, 51–90. [Google Scholar] [CrossRef]
- Kyriakou, I.; Pouliasis, P.K.; Papapostolou, N.C.; Andriosopoulos, K. Freight derivatives pricing for decoupled mean-reverting diffusion and jumps. Transp. Res. Part E Logist. Transp. Rev. 2017, 108, 80–96. [Google Scholar] [CrossRef][Green Version]
- Black, F.; Scholes, M. Pricing of options and corporate liabilities. J. Political Econ. 1973, 81, 637–654. [Google Scholar] [CrossRef]
© 2020 by the authors. Licensee MDPI, Basel, Switzerland. This article is an open access article distributed under the terms and conditions of the Creative Commons Attribution (CC BY) license (http://creativecommons.org/licenses/by/4.0/).
